含氧桥连小分子电子受体材料的制备和性质毕业论文
2021-11-26 23:31:53
论文总字数:24708字
摘 要
有机太阳能电池加工工艺成本较低,在获得清洁和可再生能源方面,成为一种非常有前景的新型技术。近年来,ITIC-Th作为非富勒烯小分子受体材料受到广泛的关注。ITIC-Th有较低的电子能级,容易与高效的给体材料相匹配,是一种高效稳定的小分子电子受体材料。
本论文以小分子受体ITIC-Th为基础,通过ITIC-Th侧链上碳原子的氧取代,同时引入端基氟原子进一步优化有机小分子受体材料结构,从而探究侧链工程以及端基修饰对调控有机小分子受体材料性能的积极意义。具体内容包括:
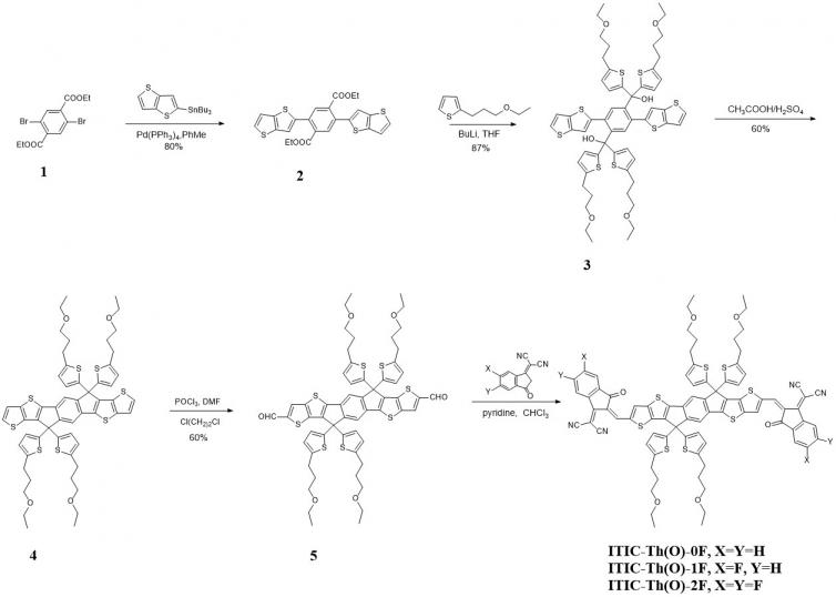
1.通过小分子受体ITIC-Th侧链上碳原子的氧取代,合成了小分子受体材料ITIC-Th(O)-0F。实验表明,侧链上碳原子的氧取代会使受体材料的吸光性能显著减弱,能级发生下移,并且受体材料的光学带隙出现微弱的下降。
2.在ITIC-Th(O)-0F的基础上引入端基氟原子,合成了两种小分子受体材料ITIC-Th(O)-1F, ITIC-Th(O)-2F。通过比较ITIC-Th、ITIC-Th(O)-0F、ITIC-Th(O)-1F以及ITIC-Th(O)-2F的光学性质以及电化学性质发现,在引入端基氟原子后,小分子受体材料的吸光性能得到明显的改善,且只引入一个氟原子的ITIC-Th(O)-1F效果更为明显。同时,相比ITIC-Th,ITIC-Th(O)-0F、ITIC-Th(O)-1F以及ITIC-Th(O)-2F三种小分子受体材料的电化学带隙出现微弱的下降,与光学带隙的变化基本一致。
关键词:有机太阳能电池;小分子受体;侧链工程;端基修饰
Abstract
Given its advantages of low processing cost, the processing technic of organic solar cells has become a promising new technology for clean and renewable energy. In recent decades, ITIC-Th has attracted extensive attention as a non-fullerene acceptor material. ITIC-Th has low energy levels and is easy to match with efficient donor materials. It is an efficient and stable small molecule electron acceptor material.
Based on the acceptor ITIC-Th, this thesis further optimizes the structure of organic small molecule acceptor materials by substituting carbon atoms in the side chain with oxygen and introducing end-group fluorine atoms, thus further exploring the positive significance of side chain engineering modification of organic small-molecule acceptor materials. Specific work includes:
1. The small molecule acceptor material ITIC-Th(O)-0F was synthesized by the oxygen substitution of carbon atoms in the side chain of the small molecule acceptor ITIC-Th. The experiments showed that the oxygen substitution of carbon atoms in the side chain will significantly weaken the light absorption performance of the acceptor material, lower the energy level, and slightly decrease the optical band gap of the acceptor material.
2. On the basis of ITIC-Th(O)-0F, two small molecule acceptor materials ITIC-Th(O)-1F and ITIC-Th(O)-2F are synthesized by introducing fluorine atoms into the end group.By comparing the optical properties and electrochemical properties of ITIC-Th, ITIC-Th(O)-0F、ITIC-Th(O)-1F and ITIC-Th(O)-2F, it is found that the light absorption properties of small molecule acceptor materials are significantly improved after the introduction of end-group fluorine atoms, and the effect of ITIC-Th(O)-1F is more obvious. Meanwhile, compared with ITIC-Th, the electrochemical band gap of ITIC-Th(O)-0F、ITIC-Th(O)-1F and ITIC-Th(O)-2F shows a slight decrease, which is basically consistent with the change of the optical band gap.
Key words: Organic Solar Cells; Small Molecule Acceptor; Side Chain Engineering; End-group Modification
目录
中文摘要 I
Abstract II
第1章 绪论 1
1.1引言 1
1.2有机太阳能电池的发展历程 1
1.3有机太阳能电池器件结构 2
1.4有机太阳能电池工作原理 3
1.5有机太阳能电池主要性能参数 4
1.6小分子受体材料研究现状 5
1.7论文研究思想与内容 5
第2章 实验说明 8
2.1原料与试剂 8
2.2测试方法与实验仪器 8
第3章 合成与基本性质 10
3.1合成路线与过程 10
3.2结构表征与简述 13
3.3稳态光物理性质表征 13
3.4电子结构表征 15
第4章 总结与展望 17
4.1总结 17
4.2展望 18
参考文献 20
附录 22
致谢 32
第1章 绪论
1.1 引言
在当今的时代,能源对社会进步具有十分重要的作用,无论生活、工作还是出行都伴随着大量的能源消耗。目前,化石燃料仍然是当今时代使用量最多的能源, 然而化石燃料资源有限,且燃烧后会产生大量污染物,如硫、氮的氧化物等,这些污染物具有一定的毒性,会危害人体的生命健康。同时,排入大气中的氮和硫的氧化物会严重破坏生态环境,长期使用化石燃料并不符合人类可持续发展的理念[1]。近几年来,新能源行业快速发展,加快开发利用新型清洁能源来代替化石能源是未来时代的必然趋势。目前市面上常见的能源包括锂电池以及燃料电池等。然而这些电池能源存在原材料成本高、技术门槛高等缺点,且电池器件中的电解液等会对环境产生严重的污染。
太阳每年辐射在地球上的太阳能总量巨大,同时太阳能在转换过程中不会产生任何污染物,是一种绿色无污染并且可长期使用的新型能源,因此开发太阳能利用技术对社会可持续发展具有重要意义。太阳能电池是利用“光生伏特效应”将光能转化为人类可直接利用的能源(电能)的一种器件,也是国际公认的最具有发展前景的新型技术之一。
晶体硅太阳能电池应用广泛且制备技术先进,是目前世界上产量和安装量最高的光伏器件。目前,晶体硅太阳能电池的光电转换效率已经超过25%[2],但其加工工艺复杂、原材料成本较高并且会对环境造成污染等问题制约了自身的应用与发展[3]。为了更好地代替晶体硅太阳能电池,硫化镉、碲化镉多晶薄膜电池应运而生,尽管这类电池高效稳定,但其材料具有毒性,对环境污染严重等问题并没有得到解决[4]。
除此之外,多种新型太阳能电池正在被逐步开发与应用,太阳能器件制备技术已经越来越成熟。近几年来,有机太阳能电池迅速发展,其具有质量轻便、可制成柔性器件、材料来源广泛、加工成本低、可大面积加工等优点,已经成为太阳能电池领域的热门研究方向。
1.2 有机太阳能电池的发展历程
1958年,科学家们成功制备出了世界上第一个有机光伏器件。他们将镁酞菁(MgPc)分子夹在两个电极之间,并且成功检测到有机光伏器件的开路电压[5]。但他们所制备的器件能量转换效率较低,因此有机太阳能电池并没有得到很好的发展。科研人员在1986年成功地制备出了基于铜酞菁(CuPc)给体材料以及四羧基苝衍生物(PV)受体材料的有机太阳能电池,并且检测出有机太阳能电池光电转换效率超过1%,这是有机太阳能电池逐步走进人们视野的开端[6]。在1993年,富勒烯类受体材料被应用于有机太阳能电池之中,研究人员不断开发富勒烯类受体材料并且制备出了性能较好的有机太阳能电池器件[7]。1994年,科研人员通过给体/受体材料混合制备出了第一个体异质结有机太阳能电池。所制备的太阳能电池器件效率达到了2.9%[8],体异质结有机太阳能电池的出现无疑是有机太阳能电池行业发展的重要里程碑。
近几年来,有机太阳能电池行业发展日新月异,太阳能电池器件的性能不断提升。中科院化学研究所的科研人员通过对非富勒烯受体进行烷基链优化,所制备的有机太阳能电池器件效率达到了17.8%[9]。有机太阳能电池的各项指标日益接近商业化需求,因此加快有机太阳能电池技术的研究对其商业化以及新能源行业的发展具有十分重要的意义。
1.3 有机太阳能电池器件结构
有机太阳能电池的器件结构包括许多种。其中,单层肖特基结构、双层平面异质结结构、体异质结结构以及级联结构是最为常见的几种器件结构[10]。目前,有机太阳能电池中研究最多的是体异质结(BHJ)器件结构,在BHJ器件结构中光活性层是由给/受体材料共混形成的。BHJ器件结构中活性层的厚度不受激子扩散长度的影响,从而使电荷分离效率得到提升,因此体异质结电池器件结构被广泛应用于有机光伏领域。

图1.1 (a)单层肖特基结构(b)双层平面异质结结构(c)BHJ器件结构(d)级联结构
下图1.2为常见的两种BHJ器件结构[11]。正向结构主要包括玻璃基底(ITO导电玻璃)、空穴传输层(一般采用PEDOT:PSS)、光活性层、电子传输层以及阴极(低功函数金属)等。实验表明,空气中的氧气以及水分会对暴露在空气中的阴极金属造成破坏,导致器件性能变差[12]。因此,反向器件结构是目前最常用的体异质结结器件结构。不同于正向器件结构,反向器件结构最外层通常是一层金属阳极,阳极可以选择具有高功函数的金属,从而避免了正向器件结构性能不稳定等问题。由此可见,器件结构的选择对太阳能电池的性能具有重要的影响,目前通过优化太阳能电池器件结构来提高电池器件的性能也是一项非常重要的工作。
请支付后下载全文,论文总字数:24708字
相关图片展示:





您可能感兴趣的文章
- 单分散胶体CdSe和CdSe/CdS核/壳纳米晶体的两步合成策略外文翻译资料
- 沥青及沥青混合料产生的沥青烟的实验室评价外文翻译资料
- 溶胶凝胶法制备二氧化硅-氧化锆抗碱涂层外文翻译资料
- InAs/GaAs量子点尺寸对能带结构影响研究毕业论文
- InAs/GaAs量子点垒层对能带结构影响研究毕业论文
- 应用于3500K热辐射源的热光伏电池研究毕业论文
- 高(010)活性晶面暴露的BiVO4晶体的合成、改性及其光催化性能研究毕业论文
- 多孔氮化碳(g-C3N4)的合成、改性及其光催化性能研究毕业论文
- C/Cu2ZnSnS4(CZTS)复合材料制备及其光催化性能研究毕业论文
- Bi2MoO6/Cu2ZnSnS4(CZTS)复合材料制备及其光催化性能研究毕业论文


