江苏省连云港市某商场设计(方案一)毕业论文
2020-04-21 16:57:57
摘 要
第一章 结构选型与布置 5
第二章、确定计算简图 7
2.1.1计算简图: 7
2.1.2梁柱截面尺寸: 7
2.1.3材料强度等级 9
2.1.4荷载计算 9
1..屋面横梁竖向线荷载标准值 11
2.楼面横梁竖向线荷载标准值 12
3.屋面框架节点集中荷载标准值 13
4.楼面框架节点集中荷载标准值 15
5.风荷载 18
6.地震作用 19
第三章 框架内力计算 23
3.1.1恒载作用下的框架内力 23
1.弯矩分配系数 23
2.杆件固端弯矩 25
3.节点不平衡弯矩 26
4.内力计算 27
3.1.2活荷载下框架内力 34
1.活荷载杆件固端弯矩 34
2.活荷载不利组合下各节点不平衡弯矩 35
3.最不利组合 36
4.内力计算 36
3.1.3风荷载作用下内力计算 57
3.1.4 地震作用下横向框架的内力计算 61
1.0.5 (雪 活)重力荷载作用下横向框架的内力计算 61
2.地震作用下横向框架的内力计算 70
第四章 内力组合 74
第五章 框架梁柱截面设计 81
第六章 楼梯设计 102
第七章 组合楼板设计 106
7.1楼面组合楼板计算 106
7.2屋面组合楼板计算 110
第八章 基础设计 114
8.1荷载计算 114
8.2确定基础底面积 115
8.3抗震验算 117
8.4基础结构设计 118
江苏省连云港市某商场设计计算书
摘 要
本文主要阐述对商场建筑结构设计时的计算过程及要点。混凝土框架结构在我国具有广泛的应用基础。本文针对研究多层框架结构的建筑设计,结合实际工程进行设计。根据提供的建筑结构方案、推荐轴网及相关施工要求,熟悉office应用与天正CAD、Revit、PKPM等专业设计软件,完成建筑结构施工图、结构构件设计、内力校核、软件应用等工作。本文分别从计算简图、框架内力、结构构件、下部基础等几个方面具体阐述设计过程。计算结果采用先手算后软件应用双重多方面校核的方式开展以确保结果准确性。本次设计目的在于提升综合应用所学的专业知识以及相关技术基础课的基本知识、基本理论、基本方法,学会独立思考,拓宽深化知识视野,分析解决工程的实际问题,完成设计任务所需要的基本训练,不断提高分析与解决实际问题的独立能力
关键词:框架结构 混凝土 荷载 内力
Design Calculation of a Shopping Mall in Lianyungang City, Jiangsu Province on the solid modelling
Abstract
This paper mainly expounds the calculation process and key points in the structural design of shopping malls. Concrete frame structure has a wide application foundation in our country. In this paper, the architectural design of multi-storey frame structure is studied, and the design is combined with practical engineering. According to the provided architectural structure scheme, recommended axle net and relevant construction requirements, familiar with office application and professional design software such as Tianzheng CAD, Revit, PKPM, etc. to complete the work of Building structure construction drawing, structural member design, internal force check, software application, etc. In this paper, the design process is described in detail from several aspects such as calculation diagram, internal force of frame, structural members, lower foundation, etc. The calculation results are carried out by means of double multi-aspect check after manual calculation and software application to ensure the accuracy of the results. The purpose of this design is to improve the professional kNowledge learned in comprehensive application and the basic kNowledge, basic theory and basic methods of related technical basic courses, learn to think independently, broaden and deepen the kNowledge vision, analyze and solve practical problems of engineering, complete the basic training required for design tasks, and continuously improve the independent ability to analyze and solve practical problems
Key Words:
第一章 结构选型与布置
设计资料
工程名称:江苏省连云港市某商场结构设计计算书
根据建筑方案图,本次结构为五层钢筋混凝土框架,建筑面积为8000,建筑一层平面图、标准层平面图、南立面图、东立面图及剖面图分别如图1-1-1-4所示,其他条件如下:
1.气象资料
(1)基本风压=0.55kN/m
(2)基本雪压=0.40kN/m
2.水文地质资料
场地条件
本项目场地位于江苏省连云港市,根据《建筑抗震设计规范》GB50011-2010,连云港市抗震设防烈度为7度,设计基本加速度为0.10g,设计地震分组为第一组。本工程采用全现浇框架结构。建筑结构安全等级为二级,设计使用年限为50年;建筑场地类别为Ⅰ类,地基基础设计等级为丙级;本工程为商场建筑,抗震设防类别为标准设防类(即丙类)。
地质条件如下:
(1)经勘察查明,根据地层的沉积特点和物理力学特性自上而下共可划分为3层,各土层描述如下:
①层:素填土,灰褐色,主要成分为粉质粘土。该层土场地普遍分布,约0.5m厚。
②层:粉质粘土,褐色、褐黄色。该层土场地普遍分布,约5.2m厚。
③层:粉质粘土,棕黄色,坚硬。该层土本次钻探未钻穿。
(2) 基础型式及持力层:本工程采用柱下独立基础;基础持力层位于第2层粉质粘土,地基承载力特征值 fak=270KPa。
(3)本工程地下水埋深为10米左右,地下水对钢筋混凝土结构不具侵蚀性。
3. 抗震设防烈度为7度(假定场地覆盖层厚度大于9m,小于80m)。
4.荷载资料
荷载按《建筑结构荷载规范》GB50009-2012采用。
(1)楼面活荷载标准值为3.5kN/m,卫生间活荷载标准值为2.5 kN/m,楼梯活荷载标准值为3.5kN/m
(2)上人屋面:活荷载标准值为2.0 kN/
(3)屋面构造:
保护层:20mm厚1:2.5或M15水泥砂浆,表面磨平压光,设置分隔缝,分隔面积1
隔离层:200g/聚酯无纺布
防水层:1.2mm厚合成高分子防水卷材两道
找平层:20mm厚1:2.5水泥砂浆
保温层:75mm厚挤塑板
找坡层:3%坡度,最薄处不小于30mm,膨胀珍珠岩
楼面构造;水泥楼面:10mm厚1:2水泥砂浆面层压实抹光、15mm厚1:3水泥砂浆找平层、现浇钢筋混凝土楼面板、12mm厚纸筋石灰粉平顶
女儿墙:女儿墙采用200mm厚混凝土空心小砌块,重度2.36 kN/。M5混合砂浆砌筑,双面粉刷,重度3.6 kN/。
第二章、确定计算简图
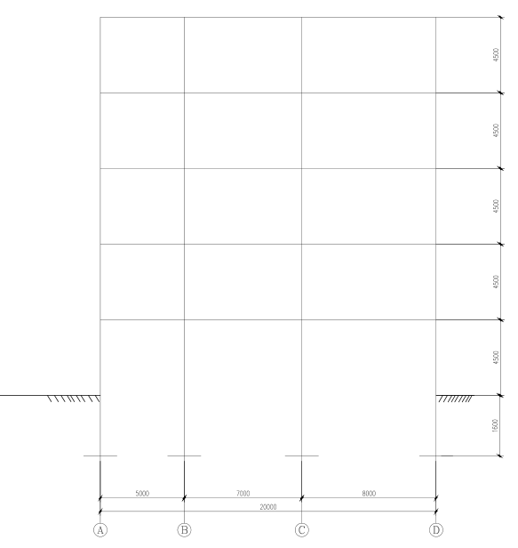
框架的计算简图假定底层柱下端固定于基础,按工程地质资料提供的数据,由任务书提供资料可知该场地为一类场地,本工程基础采用柱下独立基础,基础置于第二层粉质黏土层上,基底标高为设计相对标高-2.10m。
柱子高度底层为:
=4.5 2.1-0.5=6.1m(初步假设基础高度为0.5m),二至四层柱子高为4.5m。柱节点刚接,横梁计算跨度取两柱中心线至中心的间距,三跨计算长度为5000,7000,8000mm。计算简图如图2-8
2.1.1计算简图:

2.1.2梁柱截面尺寸:
三跨计算长度为5000mm、7000mm、8000mm
采用矩形截面框架柱、矩形截面框架梁,楼板采用连续双向板。
(1)框架柱:柱截面取500×500mm
(2)梁:
主梁 | |||||
横梁 | 要求 | 取值范围 | 取值 | 单位 | |
AB跨 | h=(1/12~1/8)×l | 417 | 625 | 600 | mm |
b=(1/3.5~1/2)×h | 171 | 300 | 250 | mm | |
BC跨 | h=(1/12~1/8)×l | 583 | 875 | 700 | mm |
b=(1/3.5~1/2)×h | 200 | 350 | 250 | mm | |
CD跨 | h=(1/12~1/8)×l | 667 | 1000 | 700 | mm |
b=(1/3.5~1/2)×h | 200 | 350 | 250 | mm | |
纵梁 | 要求 | 取值范围 | 取值 | 单位 | |
1-2轴、6-7轴 | h=(1/12~1/8)×l | 333 | 500 | 450 | mm |
b=(1/3.5~1/2)×h | 129 | 225 | 200 | mm | |
2~6轴 | h=(1/12~1/8)×l | 667 | 1000 | 700 | mm |
b=(1/3.5~1/2)×h | 200 | 350 | 250 | mm | |
次梁 | |||||
横梁 | 要求 | 取值范围 | 取值 | 单位 | |
AB跨 | h=(1/18~1/15)l | 278 | 333 | 300 | mm |
b=(1/3.5~1/2)×h | 79 | 167 | 200 | mm | |
BC跨 | h=(1/18~1/15)l | 389 | 467 | 400 | mm |
b=(1/3.5~1/2)×h | 111 | 233 | 200 | mm | |
CD跨 | h=(1/18~1/15)l | 444 | 533 | 500 | mm |
b=(1/3.5~1/2)×h | 127 | 267 | 200 | mm | |
纵梁 | 要求 | 取值范围 | 取值 | 单位 | |
1-2轴、6-7轴 | h=(1/18~1/15)l | 222 | 267 | 300 | mm |
b=(1/3.5~1/2)×h | 63 | 133 | 200 | mm | |
2~6轴 | h=(1/18~1/15)l | 444 | 533 | 500 | mm |
b=(1/3.5~1/2)×h | 127 | 267 | 200 | mm | |
主次梁布置图如下

(3)板厚:连续双向板厚h≥l/40,h≥80,由于次梁减少计算长度,暂定板厚均为120mm
2.1.3材料强度等级
混凝土C30,受力钢筋采用HRB400,箍筋采用HPB300钢筋
2.1.4荷载计算
以5轴线横向框架为计算分析对象

(1)永久荷载作用下计算简图
相关图片展示:









