盐城市某办公大楼建筑给排水设计毕业论文
2020-04-15 20:40:50

《毕业设计》
计算书
课题名称 | 盐城市某办公大楼建筑给排水工程设计 |
院 (系) | 城市建设学院 |
专 业 | 给排水科学与工程 |
姓 名 | 尚园青 |
学 号 | 3404150223 |
起讫日期 | 2019.1-2019.6 |
指导教师 | 尤朝阳 |
2019 年 6 月 3 日
目录
第一部分 设计总述····························································P1
第一章 工程概况··························································P1
第二章 设计内容··························································P1
第三章 工作量要求························································P1
第四章 毕业图纸设计内容··················································P2
第五章 参考资料··························································P2
第二部分 设计说明····························································P4
第一章 生活给水系统······················································P4
1.1给水系统方案的选择················································P4
1.2给水系统的组成····················································P5
1.3给水管道的敷设与布置··············································P5
第二章 污水排水系统···················································P
第三章 雨水排水系统·····················································P
第四章 消防给水系统·····················································P
第五章 自动喷淋系统·····················································P
第三部分 设计与计算·······················································P
第一章 生活给水系统······················································P
第二章 污水排水系统···················································P
第三章 雨水排水系统·····················································P
第四章 消防给水系统·····················································P
第五章 自动喷淋系统·····················································P
致谢
第一部分 设计总述
第一章 工程概况
该课题为盐城市某办公大楼建筑给排水设计,该建筑属高层公共建筑,建筑已完成条件图设计,现要求给排水专业对其进行给排水设计。 该建筑共十七层,建筑总高度为73.53m,地上十七层,地下一层。设有屋顶水箱,地下一层设生活消防水池并有水泵房,并有自动报警装置。建筑因为是公共建筑,所以除设有消水栓系统外,还设有自动喷水灭火系统。该建筑的北侧、南侧25M处分别有一市政给水管道经过,管顶标高为-1.5M,管径为DN200,供水最低压力为25M水头;建筑北侧35M、21M处分别有一市政污水管、市政雨水管,管顶标高分别为-2.0M和-3.0M。 |
第二章 设计内容
1.方案的选择和比较 2.计算:给水系统水力计算;消火栓系统水力计算;自动喷水灭火系统水力计算;排水系统设计;主要设备的选型与计算。 3.制图:各主要平面图,标准层平面图,各系统图,主要部位大样图。 |
第三章 工作量要求
1.设计计算说明书1本; 2.各层平面图布置、各系统图、主要部位大样图电子版; 3.打印图纸提交答辩:底层、顶层平面图,四个系统图,主要部位大样图。 |
第四章 毕业设计图纸内容
1.目录及设计说明
2.一层给排水平面图
3.二层给排水平面图
4.三层给排水平面图
5.四层给排水平面图
6.五层给排水平面图
7.六层至屋顶层给排水平面图
8.地下室及屋顶层给排水平面图
9.生活给水系统图
10.污水排水系统图
11.雨水排水系统图
12.消防给水系统图
13.自动喷淋系统图
14.1#男女卫生间给排水图
15.2#男女卫生间给排水图
16.3#男女卫生间给排水图
第五章 参考资料
[1]王增长主编. 建筑给水排水工程.北京:中国建筑出版社,2010
[2]杨敏主编. 建筑给排水设计规范.上海:中国计划出版社,2009
[3]中华人民共和国公安部主编. 自动喷水灭火系统设计规范.北京:中国计划出版社,2005
[4]中国建筑标准设计研究院主编. 建筑设计防火规范.北京:中国计划出版社,2006
[5]上海市津建设和交通委员会主编. 室外排水设计规范.北京:中国计划出版社,2011
[6]林选才、刘慈慰主编. 给水排水设计手册(第二版)01 常用资料.上海:中国建筑工业出版社,2000
[7]中国建筑设计研究院主编. 给水排水设计手册(第二版)02 建筑给水排水.上海:中国建筑工业出版社,2009
[8] 中国市政工程东北设计研究院主编. 给水排水设计手册(第二版)12 器材与装置.上海:中国建筑工业出版社,2012
[9]李念慈、李悦、余威主编. 自动喷水灭火系统——设备 设计 运行.上海:中国建筑工业出版社,2009
第二部分 设计说明
第一章 生活给水系统
1.1给水系统方案选择
该建筑为高层建筑,为防止高层建筑同一给水系统,低区管道中静水压力过大对管道造成损害,同时保证建筑供水的安全可靠性,高层建筑给水系统应采取竖向分区供水,且分区应充分利用室外给水管网的水压,以节省能量。
根据《建筑给水排水设计规范GB50015-2003》中3.3.5规定:高层建筑生活给水系统应竖向分区,竖向分区应符合下列条件:
- 各分区最低卫生器具配水点处的静水压不宜大于0.45MPa,特殊情况下不大于0.55MPa;
2、水压大于0.35MPa的入户管(或配水横管)宜设减压或调压设施;
3、各分区最不利配水点的水压,应满足用水水压的要求。
根据《建筑给水排水设计规范GB50015-2003》中3.3.6规定:建筑高度不超过100m的建筑的生活给水系统,宜采用垂直分区并联供水或分区减压供水的供水方式。
根据市政管网供水压力和建筑特点,初定如下两种方案:方案一低区由市政管网直供,中、高区由变频调速水泵供水;方案二低区由市政管网直供,中、高区由加压泵和高位水箱供水。现将以上两种给水系统分区方案进行比较:
方案一:变频调速水泵供水
供水系统通过改变电机定子的供电频率来改变电机的转速,从而使水泵的转速发生变化,调节水泵的转速,可以改变水泵的流量、扬程和功率,使出水量适应用水量的变化,并使水泵变流量供水时保持高效运行。
1、优点:各区供水系统互不影响,供水安全可靠;各区升压设备集中设置,一般设置在地下层,便于维修和管理;无需水箱,节省占地面积。
2、缺点:高区供水泵扬程较大,总压水线长,设备费用高,维修较复杂。
方案二:加压泵和高位水箱供水
供水系统主要由贮水池、加压水泵、高位水箱和配水管网组成。高位水箱在给水系统中的作用,主要是贮水、调节水量和稳定水压。该方案充分利用外网的压力,低区由给水外网的压力直接供水,高区由升压贮水设备供水,在屋顶设置水箱,自上而下供水。由于市政外网能够直接供给的水压是15m水柱,则低区为地下一层至地上一层。中、高区利用水泵和高位水箱供水。
1、优点:系统简单、水泵水量少、设备费用少、设备占地面积小、管理维修方便;出水稳定,供水安全可靠。
2、缺点:由于本建筑的用水均需要提升至屋顶最高层,水箱容积大,对建筑结构和抗震不利;水箱存在二次污染。
综上所述,根据该建筑的具体要求和实际情况选择第一种供水方案。因为方案一各区互相独立,供水稳定性好,且水泵集中布置于水泵间,便于管理,方案二不是最佳方案,供水也不安全,水箱所需容积太大。方案一更符合当下节能的要求,所以选择第一种方案。
1.2给水系统的组成
建筑生活给水系统由引入管,接户管,水表节点,入户管,管道系统,给水附件,升压和贮水设备这几部分组成。其中管道系统由干管、立管、支管组成。给水附件指给水管路上装设的各种水龙头及相应的闸阀、止回阀等。升压和贮水设备指水泵、水箱、气压装置、水池等升压和贮水设备。
1.3给水管道的敷设与布置
根据《建筑给水排水设计规范GB50015-2003》中3.5.6规定:
1.室内生活给水管道宜布置成枝状管网,单向供水。
根据《建筑给水排水设计规范GB50015-2003》中3.5.7规定:
1.室内给水管道不应穿越变配电房、电梯机房、通信机房、大中型计算机房、计算机网络中心、音像库房等遇水会损坏设备和引发事故的房间,并应避免在生产设备上方通过。
2.各层给水管道采用暗装敷设,管材均采用钢管。
根据《建筑给水排水设计规范GB50015-2003》中3.5.18规定:
1.不得直接敷设在建筑物结构层内;
2.干管和立管应敷设在吊顶、管井、管窿内,支管宜敷设在楼(地)面的找平层内或沿墙敷设在管槽内;
3.敷设在找平层或管槽内的给水管管材宜采用塑料、金属与塑料复合管材或耐腐蚀的金属管材;
根据《建筑给水排水设计规范GB50015-2003》中3.5.21规定:
1.需要泄空的给水管道,其横管宜设有0.002~0.005的坡度。
根据《全国民用建筑工程设计技术措施 ( 2009 )给水排水》中2.6.21规定:
横干管:与墙、地沟壁的净距大于等于l00mm;与梁、柱净距大于等于50mm(此处无头)。
2.立管:管中心距柱表面大于等于50m m;管外壁与墙面的净距:当DN小于32mm时为大于等25mm,DN=32~50mm为大于等于35m m,DN=75~100m m为大于等于50mm,当DN=125~150mm为大于等于60mm。
3.当管道是法兰连接时,应满足拧紧法兰螺栓的要求。
4.管道平行安装:冷、热水管 上、下平行敷设时,冷水管应在热水管下方。卫生器具 的冷水连接管应在热水连接管右侧。钢管的间距可参考附录B-4的表-1(当阀门并列安装时可参考附录B-4的表2)。
根据《全国民用建筑工程设计技术措施 ( 2009 )给水排水》中2.5.4规定:
1.按使用要求选择不同类型的阀门 (水嘴),一般按下列原则选择:管径不大于50mm时,宜采用截止阀,管径大于50mm时宜采用闸阀、蝶阀。
根据《全国民用建筑工程设计技术措施 ( 2009 )给水排水》中2.6.24规定:
1.室内埋地敷设的生活给水管与排水管道平行敷设时,两管间的最小净距不得小于0.5m;交叉敷设时,垂直净距不得小于是0.15m,且给水管应在排水管上面。当给水管必须在排水管下面时,该段排水管应为铸铁管,且给水管宜加套管。两管壁之间的最小垂直距离不得小于0.25m。
根据《全国民用建筑工程设计技术措施 ( 2009 )给水排水》中2.6.26规定:
1.穿越地下构筑物外墙应设防水套管;穿越墙、梁可预埋套管或留洞;穿越楼板、屋面时一般应预留套管,穿越管应设固定支承,并应采取防水措施,以防渗漏;当管道采用嵌墙敷设时,应预 留管槽或宜用开槽机开槽。管槽必须平整,墙体横向连续开槽长度不宜大于 1m,槽的深度不宜超过墙厚l/3,并应征得结构设计同意。给水管道应避免穿越人防地下室,当必须穿越时,应按人防工程要求设置防护阀门等措施。
第二章 污水排水系统
第三部分 设计与计算
第一章 生活给水系统
1.1基本说明
1.水源来自室外自来水环状管网,由南北两侧管段各自引入一根进水管供水,并在分别设置水表井,表后再由一根水管室外连通,以增强供水稳定性,并同时引入室内供水。
2.北部卫生间共计4层,其中1至3层为低区,由市政给水管直接供水,第4层为中区,由中区生活给水泵供水。南部卫生间共计17层,其中1层至3层为低区,由市政给水管直接供水;4层至10层为中区(G1),由中区生活给水泵供水;12层至17层为高区(G2),由高区生活给水泵供水。
3.室内给水管采用镀锌钢管,入户支管采用PP-R管。
4.管道上阀门管径小于DN50的采用铜截止阀,管径大于DN50的采用闸阀。
1.2计算公式与参数取值表
1.表1-1 卫生器具相关参数取值表
表1-1 卫生器具相关参数取值表 | ||||||||
序号 | 卫生器具名称 | 额定流量 | 当量 | 支管管径 | 工作压力 | 安装高度 | ||
1 | 拖布盆水龙头 | 0.20 | 1.0 | 15 | 0.050 | 500 | ||
2 | 洗手盆水龙头 | 0.10 | 0.5 | 15 | 0.050 | 800 | ||
3 | 冲洗水箱浮球阀大便器 | 0.10 | 0.5 | 15 | 0.020 | 400 | ||
4 | 延时自闭式冲洗阀大便器 | 1.20 | 6.0 | 25 | 0.050 | 900 | ||
5 | 自动自闭式冲洗阀小便器 | 0.10 | 0.5 | 15 | 0.050 | 600 | ||
2.表1-2 公共建筑生活用水定额表(部分)
表1-2 公共建筑生活用水定额表(部分) | |||||||
序号 | 建筑物名称 | 单位 | 最高日用水量定额 | 小时变化系数 | 使用时间(h) | ||
11 | 办公楼 | L/(人·班) | 30-60 | 2.5-2.0 | 10 | ||
3.公式1-1 生活给水设计秒流量计算公式
其中:
qg——计算管段的设计秒流量,L/s;
α——根据建筑物用途确定的系数;
Ng——计算管段的卫生器具给水当量总数;
对于公共建筑而言,本办公楼系数α取值1.5。
4.公式1-2 管径的计算公式
其中:
dj——计算管段的管内径,m;
qg——计算管段的设计秒流量,m3/s;
v——管道中的水流速,m/s。
对于管道中的水流速v,采用如下取值:
DN15~DN20,v=0.6~1.0m/s;
DN25~DN40,v=0.8~1.2m/s。
5.公式1-3 沿程水头损失计算
其中:
i——管道单位长度水头损失,kPa/m;
ch——海曾-威廉系数,塑料管ch=140,不锈钢管ch=130;
dj——管道计算内径,m;
qg——给水设计流量,m3/s。
其中:
hi——沿程水头损失,kPa;
i——管道单位长度水头损失,kPa/m;
L——管道计算长度,m。
6.公式1-4 给水系统水压计算公式
其中:
H——建筑内给水系统所需的水压,kPa;
H1——引入管起点至最不利配水点位置高度所要求的静水压,kPa;
H2——引入管起点至最不利配水点的给水管路水头损失之和,kPa;
H3——水流通过水表时的水头损失,kPa;
H4——最不利配水点所需的最低工作压力,kPa。
特别注意的是,有大便器延时自闭冲洗阀的给水管段,大便器延时自闭冲洗阀的给水当量均以0.5计,计算得到的qg附加1.20L/s的流量后,为该管段的设计秒流量。
1.3计算过程
1.查公共建筑生活用水定额表,可知:
办公楼最高日用水量定额为30~60L/(人·班),时变化系数为2.5~2.0,使用时间为10h,故选用最高日用水量定额为qd=50L/(人·班),时变化系数Kh=2.0。
办公用房每人平均建筑面积为20 m3/人,1-5层建筑面积约为2740 m3/层,换算人数即2740÷20=137人/层,6-17层建筑面积约为870 m3/层,换算人数即870÷20=43.5人/层,故:
总人数N=137×5 43.5×12=1207人;
最高日用水量Qd=1207×50÷1000=60.35m3/d;
最高日最大时用水量Qh=60.35×2.0÷10=12.07m3/h。
2.地下室贮水池有效容积
由于缺乏实际资料,贮水池的调节容积可按照大于建筑物日用水量的10%计算。
由于市政给水管可供给1-3层,故4-17层:
总人数N=137×2 43.5×12=796人;
最高日用水量Qd=796×50÷1000=39.8m3/d;
贮水池有效容积V=39.8×(1 10%)=43.78m3;
取有效容积45m3,有效尺寸为:5.0m×3.0m×3.0m(长×宽×高),并取0.5m超高,故总尺寸为:5.0m×3.0m×3.5m(长×宽×高)。
3.北侧卫生间低区给水水力计算
图1-1 北侧卫生间低区给水系统图

表1-3 给水管网水力计算表(北侧低区)
表1-3 给水管网水力计算表(北侧低区) | ||||||||||
计算管段 | 当量总数 | 设计秒流量 | 管径DN(mm) | 流速 | 每米沿程损失 | 管段长度 | 沿程损失 | 损失累计 | ||
1-2 | 1.0 | 0.30 | 15 | 0.59 | 2.61 | 3.20 | 8.34 | 8.34 | ||
2-3 | 1.5 | 0.37 | 20 | 0.86 | 0.93 | 2.21 | 2.06 | 10.40 | ||
3-4 | 2.0 | 0.42 | 20 | 0.74 | 1.22 | 1.06 | 1.29 | 11.70 | ||
4-5 | 2.5 | 1.67 | 50 | 1.17 | 0.18 | 1.00 | 0.18 | 11.87 | ||
5-6 | 3.0 | 1.72 | 50 | 1.14 | 0.19 | 1.00 | 0.19 | 12.06 | ||
6-7 | 3.5 | 1.76 | 50 | 1.11 | 0.20 | 1.00 | 0.20 | 12.26 | ||
7-8 | 4.0 | 1.80 | 50 | 1.09 | 0.20 | 0.92 | 0.19 | 12.44 | ||
8-9 | 4.5 | 1.84 | 50 | 1.07 | 0.21 | 0.94 | 0.20 | 12.64 | ||
9-10 | 5.0 | 1.87 | 50 | 1.05 | 0.22 | 0.79 | 0.17 | 12.82 | ||
1'-2' | 0.5 | 0.21 | 15 | 0.83 | 1.37 | 2.29 | 3.14 | 3.14 | ||
2'-3' | 1.0 | 0.30 | 15 | 0.59 | 2.61 | 1.06 | 2.76 | 5.91 | ||
3'-4' | 1.5 | 1.57 | 40 | 0.80 | 0.47 | 1.00 | 0.47 | 6.37 | ||
4'-5' | 2.0 | 1.62 | 50 | 1.21 | 0.17 | 1.00 | 0.17 | 6.54 | ||
5'-6' | 2.5 | 1.67 | 50 | 1.17 | 0.18 | 1.00 | 0.18 | 6.72 | ||
6'-7' | 3.0 | 1.72 | 50 | 1.14 | 0.19 | 1.14 | 0.21 | 6.93 | ||
7'-8' | 3.5 | 1.76 | 50 | 1.11 | 0.20 | 0.93 | 0.18 | 7.12 | ||
8'-10 | 4.0 | 1.80 | 50 | 1.09 | 0.20 | 0.18 | 0.04 | 7.15 | ||
10-11 | 9.0 | 2.10 | 50 | 0.93 | 0.27 | 8.68 | 2.35 | 15.17 | ||
1''-2'' | 0.5 | 0.21 | 15 | 0.83 | 1.37 | 0.78 | 1.07 | 1.07 | ||
2''-3'' | 1.0 | 0.30 | 15 | 0.59 | 2.61 | 0.78 | 2.03 | 3.10 | ||
3''-4'' | 1.5 | 0.37 | 20 | 0.86 | 0.93 | 0.78 | 0.73 | 3.83 | ||
4''-5'' | 2.0 | 0.42 | 20 | 0.74 | 1.22 | 0.78 | 0.95 | 4.78 | ||
5''-6'' | 2.5 | 0.47 | 20 | 0.66 | 1.50 | 0.78 | 1.17 | 5.95 | ||
6''-7'' | 3.0 | 0.52 | 20 | 0.60 | 1.77 | 0.78 | 1.38 | 7.33 | ||
7''-8'' | 3.5 | 0.56 | 25 | 0.87 | 0.69 | 0.75 | 0.52 | 7.85 | ||
8''-11 | 4.5 | 0.64 | 25 | 0.77 | 0.87 | 1.92 | 1.67 | 9.52 | ||
11-12 | 13.5 | 2.30 | 50 | 0.85 | 0.37 | 1.50 | 0.55 | 15.72 | ||
12-13 | 22.5 | 2.62 | 50 | 0.75 | 0.47 | 3.60 | 1.69 | 17.41 | ||
13-14 | 27.0 | 2.76 | 65 | 1.20 | 0.14 | 1.50 | 0.22 | 17.62 | ||
14-15 | 36.0 | 3.00 | 65 | 1.11 | 0.17 | 3.60 | 0.60 | 18.23 | ||
15-16 | 40.5 | 3.11 | 65 | 1.07 | 0.18 | 10.00 | 1.79 | 20.02 | ||
16-17 | 40.5 | 3.11 | 65 | 1.07 | 0.18 | 22.00 | 3.94 | 23.96 | ||
其中:
H1=13.60-(-1.50)=15.10mH2O=151kPa;
H2=1.3×Σhy=1.3×23.96=31.15kPa;
在16-17管段上存在一个水表井1#,由于q16-17=3.11L/s=11.20 m3/h,故选择LXS-50型螺翼式水表,其最大流量qmax=30 m3/h,性能系数Kb= qmax2/100=9,则水表的水头损失hd=qg2/Kb=11.202÷9=13.94kPa,满足正常用水要求,即:
H3=13.94kPa;
H4=50kPa;
H=H1 H2 H3 H4
=151 31.15 13.94 50
=246.09kPalt;25mH2O=250kPa,满足要求。
由于市政水头只有25m,不满足0.35MPa的条件,故不需要设置减压阀。
4.南侧卫生间低区给水水力计算
图1-2 南侧卫生间低区给水系统图

表1-4 给水管网水力计算表(南侧低区)
表1-4 给水管网水力计算表(南侧低区) | ||||||||||
计算管段 | 当量总数 | 设计秒流量 | 管径DN(mm) | 流速 | 每米沿程损失 | 管段长度 | 沿程损失 | 损失累计 | ||
1-2 | 0.5 | 0.21 | 15 | 0.83 | 1.57 | 1.15 | 1.81 | 1.81 | ||
2-3 | 1.0 | 0.30 | 15 | 0.59 | 2.99 | 2.40 | 7.17 | 8.98 | ||
3-4 | 1.5 | 0.37 | 20 | 0.86 | 1.07 | 0.75 | 0.80 | 9.79 | ||
4-5 | 2.0 | 0.42 | 20 | 0.74 | 1.40 | 0.72 | 1.01 | 10.79 | ||
5-6 | 3.0 | 0.52 | 25 | 0.94 | 0.69 | 5.15 | 3.53 | 14.33 | ||
1'-2' | 0.5 | 1.41 | 40 | 0.89 | 0.44 | 1.00 | 0.44 | 0.44 | ||
2'-3' | 1.0 | 1.50 | 40 | 0.84 | 0.49 | 1.00 | 0.49 | 0.94 | ||
3'-4' | 1.5 | 1.57 | 40 | 0.80 | 0.54 | 1.00 | 0.54 | 1.47 | ||
4'-6 | 2.0 | 1.62 | 50 | 1.21 | 0.19 | 3.55 | 0.69 | 2.16 | ||
6-7 | 5.0 | 1.87 | 50 | 1.05 | 0.25 | 0.40 | 0.10 | 14.43 | ||
7-8 | 7.0 | 1.99 | 50 | 0.98 | 0.28 | 4.05 | 1.14 | 15.57 | ||
1''-2'' | 1.0 | 0.30 | 15 | 0.59 | 2.99 | 1.75 | 5.23 | 5.23 | ||
2''-3'' | 1.5 | 0.37 | 20 | 0.86 | 1.07 | 0.80 | 0.86 | 6.09 | ||
3''-4'' | 2.0 | 0.42 | 20 | 0.74 | 1.40 | 0.80 | 1.12 | 7.21 | ||
4''-5'' | 2.5 | 0.47 | 20 | 0.66 | 1.72 | 0.80 | 1.37 | 8.58 | ||
5''-6'' | 3.0 | 0.52 | 20 | 0.60 | 2.03 | 0.80 | 1.63 | 10.21 | ||
6''-8 | 3.5 | 0.56 | 25 | 0.87 | 0.79 | 2.50 | 1.98 | 12.19 | ||
8-9 | 10.5 | 2.17 | 50 | 0.90 | 0.33 | 7.45 | 2.46 | 18.04 | ||
9-10 | 21.0 | 2.57 | 50 | 0.76 | 0.45 | 5.10 | 2.31 | 20.35 | ||
10-11 | 31.5 | 2.88 | 65 | 1.15 | 0.16 | 35.10 | 5.47 | 25.81 | ||
11-12 | 31.5 | 2.88 | 65 | 1.15 | 0.16 | 14.60 | 2.27 | 28.09 | ||
其中:
H1=13.60-(-1.50)=15.10mH2O=151kPa;
H2=1.3×Σhy=1.3×28.09=36.52kPa;
在11-12管段上存在一个水表井2#,由于q11-12=2.88L/s=10.37 m3/h,故选择LXS-50型螺翼式水表,其最大流量qmax=30 m3/h,性能系数Kb= qmax2/100=9,则水表的水头损失hd=qg2/Kb=10.372÷9=11.95kPa,满足正常用水要求,即:
H3=11.95kPa;
H4=50kPa;
H=H1 H2 H3 H4
=151 36.52 11.95 50
=249.47kPalt;25mH2O=250kPa,满足要求。
由于市政水头只有25m,不满足0.35MPa的条件,故不需要设置减压阀。
5.南侧与北侧卫生间中区给水水力计算

给水管网水力计算表(南侧中区) | ||||||||||
计算管段 | 当量总数 | 设计秒流量 | 管径DN(mm) | 流速 | 每米沿程损失 | 管段长度 | 沿程损失 | 损失累计 | ||
0-1 | 0.5 | 0.21 | 15 | 0.83 | 1.57 | 0.40 | 0.63 | 0.63 | ||
1-2 | 0.5 | 0.21 | 15 | 0.83 | 1.57 | 0.75 | 1.18 | 1.81 | ||
2-3 | 1.0 | 0.30 | 20 | 1.05 | 0.74 | 2.40 | 1.77 | 3.58 | ||
3-4 | 1.5 | 0.37 | 20 | 0.86 | 1.07 | 0.75 | 0.80 | 4.38 | ||
4-5 | 2.0 | 0.42 | 20 | 0.74 | 1.40 | 0.72 | 1.01 | 5.39 | ||
5-6 | 3.0 | 0.52 | 25 | 0.94 | 0.69 | 5.15 | 3.53 | 8.92 | ||
1'-2' | 0.5 | 1.41 | 40 | 0.89 | 0.44 | 1.00 | 0.44 | 9.36 | ||
2'-3' | 1.0 | 1.50 | 40 | 0.84 | 0.49 | 1.00 | 0.49 | 9.86 | ||
3'-4' | 1.5 | 1.57 | 40 | 0.80 | 0.54 | 1.00 | 0.54 | 10.39 | ||
4'-6 | 2.0 | 1.62 | 50 | 1.21 | 0.19 | 3.55 | 0.69 | 11.08 | ||
6-7 | 5.0 | 1.87 | 50 | 1.05 | 0.25 | 0.40 | 0.10 | 9.02 | ||
7-8 | 7.0 | 1.99 | 50 | 0.98 | 0.28 | 4.05 | 1.14 | 10.17 | ||
1''-2'' | 1.0 | 0.30 | 20 | 1.05 | 0.74 | 1.75 | 1.29 | 13.61 | ||
2''-3'' | 1.5 | 0.37 | 20 | 0.86 | 1.07 | 0.80 | 0.86 | 14.47 | ||
3''-4'' | 2.0 | 0.42 | 20 | 0.74 | 1.40 | 0.80 | 1.12 | 15.59 | ||
4''-5'' | 2.5 | 0.47 | 20 | 0.66 | 1.72 | 0.80 | 1.37 | 16.96 | ||
5''-6'' | 3.0 | 0.52 | 25 | 0.94 | 0.69 | 0.80 | 0.55 | 17.51 | ||
6''-8 | 3.5 | 0.56 | 25 | 0.87 | 0.79 | 2.50 | 1.98 | 19.49 | ||
8-9 | 10.5 | 2.17 | 50 | 0.90 | 0.33 | 7.25 | 2.40 | 12.56 | ||
9-10 | 21.0 | 2.57 | 65 | 1.29 | 0.13 | 3.70 | 0.47 | 13.03 | ||
10-11 | 31.5 | 2.88 | 65 | 1.15 | 0.16 | 3.70 | 0.58 | 13.61 | ||
11-12 | 42.0 | 3.14 | 65 | 1.06 | 0.18 | 3.70 | 0.68 | 14.28 | ||
12-13 | 52.5 | 3.37 | 65 | 0.98 | 0.21 | 3.70 | 0.77 | 15.05 | ||
13-14 | 63.0 | 3.58 | 65 | 0.93 | 0.23 | 3.70 | 0.86 | 15.91 | ||
14-15 | 73.5 | 3.77 | 65 | 0.88 | 0.26 | 17.30 | 4.43 | 20.34 | ||
给水管网水力计算表(南侧高区) | ||||||||||
计算管段 | 当量总数 | 设计秒流量 | 管径DN(mm) | 流速 | 每米沿程损失 | 管段长度 | 沿程损失 | 损失累计 | ||
0-1 | 1.0 | 0.30 | 15 | 0.59 | 2.99 | 0.50 | 1.49 | 1.49 | ||
1-2 | 1.0 | 0.30 | 20 | 1.05 | 0.74 | 4.66 | 3.43 | 4.93 | ||
2-3 | 1.5 | 0.37 | 20 | 0.86 | 1.07 | 0.77 | 0.82 | 5.75 | ||
3-4 | 2.0 | 0.42 | 20 | 0.74 | 1.40 | 0.74 | 1.03 | 6.79 | ||
4-9 | 2.5 | 0.47 | 20 | 0.66 | 1.72 | 0.65 | 1.12 | 7.90 | ||
5-6 | 0.5 | 1.41 | 40 | 0.89 | 0.44 | 1.27 | 0.56 | 0.56 | ||
6-7 | 1.0 | 1.50 | 40 | 0.84 | 0.49 | 1.00 | 0.49 | 1.06 | ||
7-8 | 1.5 | 1.57 | 40 | 0.80 | 0.54 | 1.00 | 0.54 | 1.59 | ||
8-9 | 2.0 | 1.62 | 50 | 1.21 | 0.19 | 0.35 | 0.07 | 1.66 | ||
9-14 | 4.5 | 1.84 | 50 | 1.07 | 0.24 | 2.50 | 0.61 | 8.51 | ||
10-11 | 0.5 | 1.41 | 40 | 0.89 | 0.44 | 1.00 | 0.44 | 0.44 | ||
11-12 | 1.0 | 1.50 | 40 | 0.84 | 0.49 | 1.00 | 0.49 | 0.94 | ||
12-13 | 1.5 | 1.57 | 40 | 0.80 | 0.54 | 1.00 | 0.54 | 1.47 | ||
13-14 | 2.0 | 1.62 | 50 | 1.21 | 0.19 | 3.69 | 0.71 | 2.19 | ||
14-25 | 6.5 | 1.96 | 50 | 1.00 | 0.27 | 3.15 | 0.87 | 9.37 | ||
15-16 | 1.0 | 0.30 | 20 | 1.05 | 0.74 | 1.38 | 1.02 | 1.02 | ||
16-17 | 1.5 | 0.37 | 20 | 0.86 | 1.07 | 0.75 | 0.80 | 1.82 | ||
17-24 | 2.0 | 0.42 | 20 | 0.74 | 1.40 | 0.64 | 0.89 | 2.71 | ||
18-19 | 1.0 | 0.30 | 20 | 1.05 | 0.74 | 2.35 | 1.73 | 1.73 | ||
19-20 | 1.5 | 0.37 | 20 | 0.86 | 1.07 | 0.80 | 0.86 | 2.59 | ||
20-21 | 2.0 | 0.42 | 20 | 0.74 | 1.40 | 0.80 | 1.12 | 3.71 | ||
21-22 | 2.5 | 0.47 | 20 | 0.66 | 1.72 | 0.80 | 1.37 | 5.08 | ||
22-23 | 3.0 | 0.52 | 25 | 0.94 | 0.69 | 0.80 | 0.55 | 5.63 | ||
23-24 | 3.5 | 0.56 | 25 | 0.87 | 0.79 | 0.54 | 0.43 | 6.06 | ||
24-25 | 5.5 | 0.70 | 25 | 0.70 | 1.20 | 2.10 | 2.52 | 8.58 | ||
25-26 | 12.0 | 2.24 | 50 | 0.88 | 0.35 | 3.54 | 1.24 | 10.61 | ||
26-27 | 12.0 | 2.24 | 50 | 0.88 | 0.35 | 3.70 | 1.30 | 11.91 | ||
27-28 | 24.0 | 2.67 | 65 | 1.24 | 0.14 | 3.70 | 0.50 | 12.41 | ||
28-29 | 34.5 | 2.96 | 65 | 1.12 | 0.16 | 3.70 | 0.61 | 13.01 | ||
29-30 | 45.0 | 3.21 | 65 | 1.03 | 0.19 | 3.70 | 0.70 | 13.72 | ||
30-31 | 55.5 | 3.43 | 65 | 0.97 | 0.22 | 3.70 | 0.80 | 14.51 | ||
31-32 | 66.0 | 3.64 | 65 | 0.91 | 0.24 |
|
|
| ||
第二章 污水排水系统
2.1基本说明
1.生活污水均为重力排水,采用设有伸顶通气立管的单立管排水系统。
2.雨污分流,污废合流。
3.管材采用PVC-U排水管。
2.2计算
1.卫生器具排水相关参数
卫生器具排水相关参数 | ||||||
序号 | 卫生器具名称 | 排水流量 | 排水 | 排水管径 | ||
1 | 拖布盆水龙头 | 0.33 | 1.0 | 50 | ||
2 | 洗手盆水龙头 | 0.10 | 0.3 | 32 | ||
3 | 冲洗水箱浮球阀大便器 | 1.50 | 4.5 | 100 | ||
4 | 延时自闭式冲洗阀大便器 | 1.20 | 3.6 | 100 | ||
5 | 自动自闭式冲洗阀小便器 | 0.10 | 0.3 | 40 | ||
2.计算公式
(1)办公楼设计秒流量
其中:
qp——计算管段排水设计秒流量;
α——根据建筑物用途而定的系数;
Np——计算管段卫生器具排水当量总数;
qmax——计算管段上排水量最大的一个卫生器具的排水流量;
对于办公楼而言,α取值为1.5。
(2)最大设计充满度
对于生活排水管道而言,一般来说,若管径≤125mm,最大设计充满度为0.5;若管径在150~200,最大设计充满度为0.6。
(3)管道坡度
如下表所示:
生活污水排水横管的通用坡度和最小坡度 | |||||
序号 | 管径(mm) | 通用坡度 | 最小坡度 | ||
1 | 50 | 0.025 | 0.012 | ||
2 | 75 | 0.015 | 0.007 | ||
3 | 110 | 0.012 | 0.004 | ||
4 | 125 | 0.010 | 0.0035 | ||
5 | 160 | 0.007 | 0.003 | ||
6 | 200 | 0.005 | 0.003 | ||
7 | 250 | 0.005 | 0.003 | ||
8 | 315 | 0.005 | 0.003 | ||
(4)排水立管最大排水能力
对于伸顶通气立管45°斜三通连接方式,
排水立管管径 | 50 | 75 | 110 | 125 | 160 | |
最大设计通水 | 1.0 | 1.7 | 4.0 | 5.2 | 7.4 | |
3.计算如下:

排水管水力计算表(WL-1) | |||||||
计算管段 | 管道类型 | 当量总数 | 设计秒流量 | 管径de(mm) | 坡度i | ||
1-2 | 排水横管 | 1.0 | 0.51 | 50 | 0.025 | ||
2-3 | 排水横管 | 1.3 | 0.54 | 50 | 0.025 | ||
3-4 | 排水横管 | 1.6 | 0.56 | 50 | 0.025 | ||
4-5 | 排水横管 | 1.9 | 0.58 | 50 | 0.025 | ||
5-6 | 排水横管 | 2.2 | 0.60 | 50 | 0.025 | ||
6-7 | 排水横管 | 2.5 | 0.61 | 50 | 0.025 | ||
7-8 | 排水横管 | 2.8 | 0.63 | 50 | 0.025 | ||
8-9 | 排水横管 | 3.1 | 0.65 | 50 | 0.025 | ||
9-10 | 排水立管 | 6.2 | 0.78 | 50 |
| ||
10-11 | 排水立管 | 9.3 | 0.88 | 50 |
| ||
11-12 | 排水立管 | 12.4 | 0.96 | 50 |
| ||

排水管水力计算表(WL-2) | |||||||
计算管段 | 管道类型 | 当量总数 | 设计秒流量 | 管径de(mm) | 坡度i | ||
1-2 | 排水横管 | 0.3 | 0.20 | 50 | 0.025 | ||
2-3 | 排水横管 | 0.6 | 0.24 | 50 | 0.025 | ||
3-4 | 排水横管 | 4.2 | 1.57 | 75 | 0.015 | ||
4-5 | 排水横管 | 7.8 | 1.70 | 75 | 0.015 | ||
5-6 | 排水横管 | 11.4 | 1.81 | 110 | 0.012 | ||
6-7 | 排水横管 | 15.0 | 1.90 | 110 | 0.012 | ||
7-8 | 排水横管 | 19.5 | 2.29 | 110 | 0.012 | ||
8-9 | 排水横管 | 19.8 | 2.30 | 110 | 0.012 | ||
9-10 | 排水立管 | 39.6 | 2.63 | 110 |
| ||
10-11 | 排水立管 | 59.4 | 2.89 | 110 |
| ||
11-12 | 排水立管 | 79.2 | 3.10 | 110 |
| ||

排水管水力计算表(WL-3) | |||||||
计算管段 | 管道类型 | 当量总数 | 设计秒流量 | 管径de(mm) | 坡度i | ||
1-2 | 排水横管 | 0.3 | 0.20 | 50 | 0.025 | ||
2-3 | 排水横管 | 0.6 | 0.24 | 50 | 0.025 | ||
3-4 | 排水横管 | 4.2 | 1.57 | 75 | 0.015 | ||
4-5 | 排水横管 | 7.8 | 1.70 | 75 | 0.015 | ||
5-6 | 排水横管 | 11.4 | 1.81 | 110 | 0.012 | ||
6-7 | 排水横管 | 15.0 | 1.90 | 110 | 0.012 | ||
7-10 | 排水横管 | 19.5 | 2.29 | 110 | 0.012 | ||
8-9 | 排水横管 | 1.0 | 0.51 | 50 | 0.025 | ||
9-10 | 排水横管 | 1.3 | 0.54 | 50 | 0.025 | ||
10-11 | 排水立管 | 20.8 | 2.32 | 110 |
| ||
11-12 | 排水立管 | 41.6 | 2.66 | 110 |
| ||
12-13 | 排水立管 | 62.4 | 2.92 | 110 |
| ||
13-14 | 排水立管 | 83.2 | 3.14 | 110 |
| ||

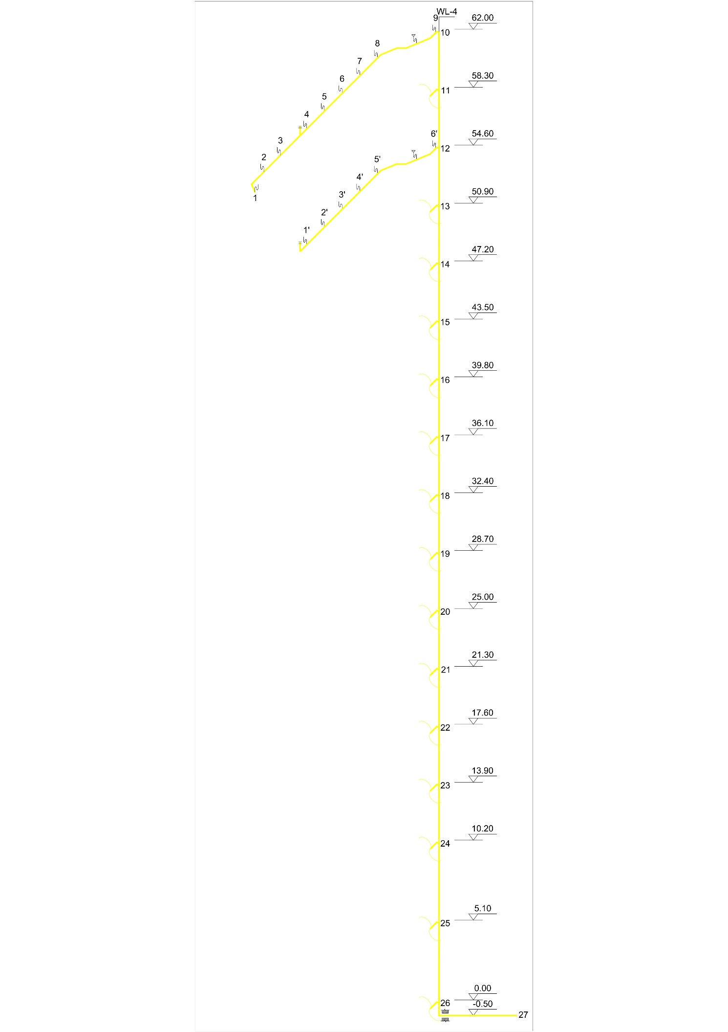
排水管水力计算表(WL-4) | |||||||
计算管段 | 管道类型 | 当量总数 | 设计秒流量 | 管径de(mm) | 坡度i | ||
1-2 | 排水横管 | 1.0 | 0.51 | 50 | 0.025 | ||
2-3 | 排水横管 | 1.3 | 0.54 | 50 | 0.025 | ||
3-4 | 排水横管 | 1.6 | 0.56 | 50 | 0.025 | ||
4-5 | 排水横管 | 1.9 | 0.58 | 50 | 0.025 | ||
5-6 | 排水横管 | 2.2 | 0.60 | 50 | 0.025 | ||
6-7 | 排水横管 | 2.5 | 0.61 | 50 | 0.025 | ||
7-8 | 排水横管 | 2.8 | 0.63 | 50 | 0.025 | ||
8-9 | 排水横管 | 3.1 | 0.65 | 50 | 0.025 | ||
9-10 | 排水横管 | 4.1 | 0.69 | 50 | 0.025 | ||
1'-2' | 排水横管 | 0.3 | 0.20 | 50 | 0.025 | ||
2'-3' | 排水横管 | 0.6 | 0.24 | 50 | 0.025 | ||
3'-4' | 排水横管 | 0.9 | 0.27 | 50 | 0.025 | ||
4'-5' | 排水横管 | 1.2 | 0.30 | 50 | 0.025 | ||
5'-6' | 排水横管 | 1.5 | 0.32 | 50 | 0.025 | ||
6'-12 | 排水横管 | 2.5 | 0.61 | 50 | 0.025 | ||
10-11 | 排水立管 | 4.1 | 0.69 | 50 |
| ||
11-12 | 排水立管 | 8.2 | 0.85 | 50 |
| ||
12-13 | 排水立管 | 10.7 | 0.92 | 50 |
| ||
13-14 | 排水立管 | 13.2 | 0.98 | 50 |
| ||
14-15 | 排水立管 | 15.7 | 1.04 | 75 |
| ||
15-16 | 排水立管 | 18.2 | 1.10 | 75 |
| ||
16-17 | 排水立管 | 20.7 | 1.15 | 75 |
| ||
17-18 | 排水立管 | 23.2 | 1.20 | 75 |
| ||
18-19 | 排水立管 | 25.7 | 1.24 | 75 |
| ||
19-20 | 排水立管 | 28.2 | 1.29 | 75 |
| ||
20-21 | 排水立管 | 30.7 | 1.33 | 75 |
| ||
21-22 | 排水立管 | 33.2 | 1.37 | 75 |
| ||
22-23 | 排水立管 | 35.7 | 1.41 | 75 |
| ||
23-24 | 排水立管 | 38.2 | 1.44 | 75 |
| ||
24-25 | 排水立管 | 40.7 | 1.48 | 75 |
| ||
25-26 | 排水立管 | 43.2 | 1.51 | 75 |
| ||
26-27 | 排水立管 | 45.7 | 1.55 | 75 |
| ||

排水管水力计算表(WL-5) | |||||||
计算管段 | 管道类型 | 当量总数 | 设计秒流量 | 管径de(mm) | 坡度i | ||
1-2 | 排水横管 | 3.6 | 1.54 | 75 | 0.015 | ||
2-3 | 排水横管 | 7.2 | 1.68 | 75 | 0.015 | ||
3-4 | 排水横管 | 10.8 | 1.79 | 110 | 0.012 | ||
4-5 | 排水横管 | 14.4 | 1.88 | 110 | 0.012 | ||
5-6 | 排水立管 | 14.4 | 1.88 | 110 |
| ||
6-7 | 排水立管 | 28.8 | 2.17 | 110 |
| ||
7-8 | 排水立管 | 43.2 | 2.38 | 110 |
| ||
8-9 | 排水立管 | 57.6 | 2.57 | 110 |
| ||
9-10 | 排水立管 | 72.0 | 2.73 | 110 |
| ||
10-11 | 排水立管 | 86.4 | 2.87 | 110 |
| ||
11-12 | 排水立管 | 100.8 | 3.01 | 110 |
| ||
12-13 | 排水立管 | 115.2 | 3.13 | 110 |
| ||
13-14 | 排水立管 | 129.6 | 3.25 | 110 |
| ||
14-15 | 排水立管 | 144.0 | 3.36 | 110 |
| ||
15-16 | 排水立管 | 158.4 | 3.47 | 110 |
| ||
16-17 | 排水立管 | 172.8 | 3.57 | 110 |
| ||
17-18 | 排水立管 | 187.2 | 3.66 | 110 |
| ||
18-19 | 排水立管 | 201.6 | 3.76 | 110 |
| ||
19-20 | 排水立管 | 216.0 | 3.85 | 110 |
| ||
20-21 | 排水立管 | 230.4 | 3.93 | 110 |
| ||
21-22 | 排水立管 | 244.8 | 4.02 | 125 |
| ||

排水管水力计算表(WL-6) | |||||||
计算管段 | 管道类型 | 当量总数 | 设计秒流量 | 管径de(mm) | 坡度i | ||
1-2 | 排水横管 | 1.0 | 0.51 | 50 | 0.025 | ||
2-3 | 排水横管 | 1.3 | 0.54 | 50 | 0.025 | ||
3-4 | 排水横管 | 1.6 | 0.56 | 50 | 0.025 | ||
4-5 | 排水横管 | 1.9 | 0.58 | 50 | 0.025 | ||
5-6 | 排水横管 | 5.5 | 1.62 | 75 | 0.015 | ||
6-7 | 排水横管 | 9.1 | 1.74 | 75 | 0.015 | ||
7-8 | 排水横管 | 12.7 | 1.84 | 110 | 0.012 | ||
8-9 | 排水横管 | 16.3 | 1.93 | 110 | 0.012 | ||
9-10 | 排水立管 | 16.3 | 1.93 | 110 |
| ||
10-11 | 排水立管 | 32.6 | 2.23 | 110 |
| ||
11-12 | 排水立管 | 47.0 | 2.43 | 110 |
| ||
12-13 | 排水立管 | 61.4 | 2.61 | 110 |
| ||
13-14 | 排水立管 | 75.8 | 2.77 | 110 |
| ||
14-15 | 排水立管 | 90.2 | 2.91 | 110 |
| ||
15-16 | 排水立管 | 104.6 | 3.04 | 110 |
| ||
16-17 | 排水立管 | 119.0 | 3.16 | 110 |
| ||
17-18 | 排水立管 | 133.4 | 3.28 | 110 |
| ||
18-19 | 排水立管 | 147.8 | 3.39 | 110 |
| ||
19-20 | 排水立管 | 162.2 | 3.49 | 110 |
| ||
20-21 | 排水立管 | 176.6 | 3.59 | 110 |
| ||
21-22 | 排水立管 | 191.0 | 3.69 | 110 |
| ||
22-23 | 排水立管 | 205.4 | 3.78 | 110 |
| ||
23-24 | 排水立管 | 219.8 | 3.87 | 110 |
| ||
24-25 | 排水立管 | 234.2 | 3.95 | 110 |
| ||
25-26 | 排水立管 | 248.6 | 4.04 | 125 |
| ||

排水管水力计算表(WL-7) | |||||||
计算管段 | 管道类型 | 当量总数 | 设计秒流量 | 管径de(mm) | 坡度i | ||
1-2 | 排水横管 | 0.3 | 0.20 | 50 | 0.025 | ||
2-3 | 排水横管 | 0.6 | 0.24 | 50 | 0.025 | ||
3-4 | 排水横管 | 0.9 | 0.27 | 50 | 0.025 | ||
4-5 | 排水横管 | 1.2 | 0.30 | 50 | 0.025 | ||
5-6 | 排水横管 | 2.2 | 0.60 | 50 | 0.025 | ||
6-7 | 排水立管 | 2.2 | 0.60 | 50 |
| ||
7-8 | 排水立管 | 4.4 | 0.71 | 50 |
| ||
8-9 | 排水立管 | 6.6 | 0.79 | 50 |
| ||
9-10 | 排水立管 | 8.8 | 0.86 | 50 |
| ||
10-11 | 排水立管 | 11.0 | 0.93 | 50 |
| ||
11-12 | 排水立管 | 13.2 | 0.98 | 50 |
| ||
12-13 | 排水立管 | 15.4 | 1.04 | 75 |
| ||
13-14 | 排水立管 | 17.6 | 1.09 | 75 |
| ||
14-15 | 排水立管 | 19.8 | 1.13 | 75 |
| ||
15-16 | 排水立管 | 22.0 | 1.17 | 75 |
| ||
16-17 | 排水立管 | 24.2 | 1.22 | 75 |
| ||
17-18 | 排水立管 | 26.4 | 1.25 | 75 |
| ||
18-19 | 排水立管 | 28.6 | 1.29 | 75 |
| ||
19-20 | 排水立管 | 30.8 | 1.33 | 75 |
| ||
20-21 | 排水立管 | 33.0 | 1.36 | 75 |
| ||
第三章 雨水排水系统
本系统选一个天沟雨水排水系统,具体计算公式如下:
3.1雨水量计算公式
其中:
Q——屋面雨水设计流量,L/s;
F——屋面设计汇水面积,m2;
q5——当地降雨历时为5min时的暴雨强度,L/(s·104m2);
ψ——径流系数,取0.9。
当采用天沟集水且沟檐溢水会流入室内时,设计暴雨强度应乘以1.5的系数。
本地为盐城市,取设计重现期P=3,查规范得,q5=380 L/(s·104m2)。
3.2雨水斗泄流量
按下表选取:
雨水斗规格(mm) | 75 | 100 | 150 | |
重力流排水系统 | 5.6 | 10.0 | 23.0 | |
3.3天沟流量
其中:
v——流速,m/s;
n——天沟粗糙系数,本例取0.020;
R——水力半径;
I——天沟坡度;
Q——天沟排水流量,m3/s;
w——天沟过水断面积,m2。
4.3横管流量
其中:
v——管内流速,m/s;
n——粗糙系数,本例为塑料管,取0.010;
R——水力半径,m,按满流计算;
I——天沟坡度;
Q——天沟排水流量,m3/s;
w——天沟过水断面积,m2。
5.3立管流量
Q——立管排水流量,L/s;
Kp——粗糙高度,m,塑料管取15×10-6;
α——充水率,塑料管取0.3;
d——管道计算内径,m。
计算如下:
(1)天沟过水断面积
w=B·H=0.30×0.15=0.045m2
(2)天沟水力半径
R=w/(B 2H)=0.045÷(0.30 2×0.15)=0.075m
(3)天沟水流速度
v=(1/n)R2/3I1/2=(1/0.020)×0.0752/3×0.011/2=0.89m/s
(4)天沟允许泄流量
Q允=w·v=0.045×0.89=0.04005m3/s=40.05L/s
(5)每条天沟的汇水面积
对于屋顶层,F约为150m2;对于五层,F约为190m2
(6)天沟的雨水设计流量
Q设=ψFq5/10000=0.9×150×380×1.5÷10000=7.70L/s
Q设=ψFq5/10000=0.9×190×380×1.5÷10000=9.75L/s
天沟允许集水流量大于雨水设计流量,满足要求。
(7)雨水斗的选用
根据上述表格,选用管径为100mm的雨水斗,允许最大泄流量10L/s,满足要求。
(8)立管选用
按重力半有压流设计,选用100mm管径的立管。
第四章 消防给水系统
规范说明:
根据《建筑设计防火规范》GB 50016-2014中7.4.1规定:
1、室内消防给水系统应与生活、生产给水系统分开独立设置。室内消防给水管道应布置成环状。室内消防给水环状管网的进水管和区域高压或临时高压给水系统的引入管不应少于两根,当其中一根发生故障时,其余的进水管或引入管应能保证消防用水量和水压的要求。
根据《建筑设计防火规范》GB 50016-2014中7.4.6规定:
7.4.6.2消火栓的水枪充实水柱应通过水力计算确定,且建筑高度不超过100m的高层建筑不应小于10m;建筑高度超过100m的高层建筑不应小于13m。
7.4.6.3消火栓的间距应由计算确定,且高层建筑不应大于30m,裙房不应大于50m。
7.4.6.4 消火栓栓口离地面高度宜为1.10m,栓口出水方向宜向下或与设置消火栓的墙面相垂直。
7.4.6.5 消火栓栓口的静水压力不应大于1.00MPa,当大于1.00MPa时,应采取分区给水系统。消火栓栓口的出水压力大于0.50MPa时,应采取减压措施。
7.4.6.6 消火栓应采用同一型号规格。消火栓的栓口直径应为65mm,水带长度不应超过25m,水枪喷嘴口径不应小于19mm。
7.4.6.8 消防电梯间前室应设消火栓。
根据《建筑设计防火规范》GB 50016-2014中7.4.7规定:
7.4.7 采用高压给水系统时,可不设高位消防水箱。当采用临时高压给水系统时,应设高位消防水箱,并应符合下列规定:
7.4.7.1 高位消防水箱的消防储水量,一类公共建筑不应小于18m3;二类公共建筑和一类居住建筑不应小于12m3;二类居住建筑不应小于6.00m3。
7.4.7.2 高位消防水箱的设置高度应保证最不利点消火栓静水压力。当建筑高度不超过100m时,高层建筑最不利点消火栓静水压力不应低于0.07MPa;当建筑高度超过100m时,高层建筑最不利点消火栓静水压力不应低于0.15MPa。当高位消防水箱不能满足上述静压要求时,应设增压设施。
根据《建筑设计防火规范GB50016-2014》中表3.5.2规定:
消防立管最小管径为DN100。消火栓的布置在一层、四层的楼顶成大平面支状,以及在屋顶层楼顶形成小平面枝状,其它层成立面环状,形成立体环状。
消火栓应布置在明显易取且操作方便的位置,对照各层平面进行调整,尽量保证上下层对齐。屋顶设试压消火栓一个,应满足其有13m的充实水柱.室内消火栓箱内均设远距离启动消防泵的按扭。以便在使用消火栓灭火的同时,启动消防泵、屋顶贮存有10min 的消防水量。
1.消火栓的布置
按《消防给水及消火栓系统技术规范》GB50974-2014的要求,消火栓的间距应保证同层任何部位有2个消火栓的充实水柱同时到达。
水带长度取20m,展开时的弯曲折减系数C取0.8,消火栓的保护半径应为:
R=C·Ld Ls=0.8×20 3=19m
消火栓采用采用单排布置,其间距应为:
S=sqrt(192-(6 2.5)2)=16.99m,取17m。
2.水枪喷嘴处所需的水压
查表,水枪喷口直径选19mm,水枪系数φ值为0.0097;充实水柱Hm要求不小于10m,选Hm=12m,水枪实验系数αf值为1.21。水枪喷水处所需水压:
Hq=1.21×12/(1-0.0097×1.21×12)=16.9mH2O=169kPa。
3.水枪喷嘴处的出流量
喷口直径19mm的水枪水流特性系数B为1.577:
qxh=sqrt(1.577×16.9)=5.2L/s>5.0L/s。
4.水带阻力
19mm水枪配65mm水带,查表知65mm水带阻力系数Az值为0.00172,水带阻力损失:
hd=0.00172×20×5.22=0.93mH2O
5.消火栓口所需的水压:
Hxh=Hq hd Hk=16.9 0.93 2=19.83mH2O
6.

管路总水头损失为Hw=43.15×1.1=47.47kPa
消火栓给水系统所需的总水压Hx=63.0×10-(-4.6)×10 250 47.47=973.47kPa
按消火栓灭火总用水量Qx=34.41L/s,选消防泵6SAP-6泵2台,一用一备。
7.消防水箱
本建筑为二类高层公共建筑,其有效容积不应小于18 m3,故选择20 m3方形给水箱,尺寸为4000mm×2800mm×2000mm(长×宽×高)
8.消防贮水池
消防贮水按满足火灾延续时间内的室内消防用水量来计算,即Vf=20×2×3.6=144m3
9.水泵接合器
数量:2
第五章 自动喷淋系统
根据《自动喷水灭火系统设计规范》附表A:
地上一层商铺部分为中危险I级,地下一层和夹层的自行车车库部分为中危险II级
根据《自动喷水灭火系统设计规范》表5.0.1:
地上一层设计喷水强度为6 L/min·m2,作用面积为160 m2;地下设计喷水强度为8 L/min·m2,作用面积为160 m2。
根据规范要求,湿式系统中一个报警阀组控制喷头数不宜超过800只,本建筑总的布置喷头数不超过800个,因此本建筑只需要设一个水力报警阀组。整个自喷系统设4根立管,其具体的设计详见喷淋系统图。
自动喷淋系统根据喷头形式不同,可分为闭式自动喷淋系统和开式自动喷淋系统。闭式自动喷淋系统又分为湿式,干式,干湿式和预作用式四种系统。开式自动喷淋系统又可分为雨淋,水幕和水喷雾三种系统。本建筑危险等级为中危险级,环境温度不低于4℃,且不高于70℃,宜采用闭式系统,使用要求不是特别高,综合上面各因素,宜采用湿式自动喷水灭火系统。
该建筑采用湿式自动喷水灭火系统,报警阀设于地下室水泵房内,各层均设水流指示器和信号阀,其信号均送到一楼消防控制中心进行处理。
喷淋系统由消防水池、喷淋泵、湿式报警阀组、管网、水流指示器、减压孔板、喷头、末端试水和水泵接合器等组成。喷淋泵直接从消防水池吸水,屋顶消防水箱保证初期灭火的消防水量、水压要求,喷淋系统的消防水池、屋顶消防水箱分别与室内消火栓给水系统的消防水池、屋顶消防水箱共用。
根据《自动喷水灭火系统设计规范》GB50084-2001中6.1.3条规定,湿式喷头选型应符合下列规定:
1、 不做吊顶的场所,当配水支管布置在梁下时,应采用直立型喷头;
2 、吊顶下布置的喷头,应采用下垂型喷头或吊顶型喷头;
3 、顶板为水平面的轻危险级、中危险级I级居室和办公室,可采用边墙型喷头;
4、 自动喷水一泡沫联用系统应采用洒水喷头;
5、 易受碰撞的部位,应采用带保护罩的喷头或吊顶型喷头。
根据上述要求,地下室采用垂直普通直立上喷玻璃球闭式喷头;一至三十二层采用普通吊顶型喷头;特性系数K=80自动喷水灭火系统每层均设信号阀和水流指示器。
直立型、吊顶型喷头的布置,包括同一根配水支管上喷头的间距及相邻配水支管的间距,应根据系统的喷水强度、喷头的流量系数和工作压力确定,并不应大于表2.1及表2.2的规定,且不宜小于2.4m。
1.选正方形布置,中危险级I级的设计喷水强度为6(L/(min·m2)),则根据规范,正方形布置所需的边长为3.6m,以此画图
2.配水支管、配水管控制的标准喷头数

3.喷头数量
1~4层每层数量220个,5-17层每层数量78个
故分为三层,1-3层为低区,共计喷头220×3=660个,4-10为中区,共计喷头220 78×6=688个,11-17层为高区,共计喷头78×7=546个。
4.画图,布线,计算。
致谢
至此,毕业设计做到这里终于算是完成了,回想这大学四年的学习生涯,算不上平坦,磕磕绊绊的事情遇到了不少,但好在最终都能够化险为夷,坚强地走了过来直到今天,回想起来真的是很不容易的一件事。
这次毕业设计对于我来说,是一次将所学知识融会贯通的机会,也是磨练自我的一种方式,他将我更好地与今后的工作结合起来,使我对整个专业的知识有了整体的理解和认知。从本次毕业设计中,我的设计思维得到了提高,画图能力得到了加强,考虑了很多设计在实际施工中的情况,使我的设计更加合理和周全。
在做毕设期间,得到过许许多多老师的帮助,尤其感谢市政工程系的尤朝阳老师对我的指导与帮助,尤老师的谆谆教诲时常印在我脑海里,让我在今后的设计之路上铭记。同样也要感谢我的舍友以及班级的其他同学对我设计中及时的帮助。
最后,由衷感谢百忙之中还能抽出时间参加答辩的三位老师。
以上是毕业论文大纲或资料介绍,该课题完整毕业论文、开题报告、任务书、程序设计、图纸设计等资料请添加微信获取,微信号:bysjorg。
相关图片展示:


