贵州省织金县新区排水工程设计毕业论文
2020-04-06 11:11:59
摘 要
本设计是在贵州织金县拟设计污水、雨水管网系统并建一座规模约为19000m3/d的污水处理厂。其中该工程的排水管网是雨污用分流制,污水管网根据地形采用两根主干管将排水区域平均分成两部分,以降低管径。雨水管网则设6组干管收集雨水,自南向北分别流入河流中。污水厂采用A2/O工艺,高效、节能且耐冲击负荷较高,出水水质好,符合本设计的要求。
设计中对污水管网、雨水管网和污水处理厂中的处理流程的各个主要的体构筑物比如细格栅、平流沉砂池、A-A-O生物反应池、辐流式二沉池、和接触消毒池等进行了系统、详细的设计计算和说明。
关键词:污水管网;雨水管网;A2/O 工艺;造价;污泥处理;
Abstract
The study is to be designed sewage, rainwater pipe network system and build a project scale of 19,000 m3 / d of sewage treatment plan in Anyang County, Henan Province t. The drainage pipe network adopts the diversion system, The drainage area is divided into two parts by two main pipes according to the topography to reduce the pipe diameter.. The rainwater pipe network is provided with 6 sets of dry pipes to collect rainwater and flow into the river from South to north respectively. The wastewater treatment plant adopts A2/O process, which has high efficiency, energy saving, high shock resistance load and good effluent quality. It meets the requirements of this design.
In this design, the major content is about the calculation and introduction of sewage pipe network, rainwater pipe network and the main structures in sewage treatment process such as medium screen, pumping station, fine screen, Anaerobic-Anoxic-Oxic biological reaction tank, secondary settling tank, disinfection tank etc, in detail and systematically.
Keywords: Sewage pipe network; rainwater pipe network;Anaerobic-Anoxic-Oxic simultaneous denitrification and phosphorus removal process; cost; sludge treatment;
第1章 绪论 1
第2章 设计说明书 3
2.1 工程概况 3
2.1.1 原始资料 3
2.1.2 设计水质 4
2.2 污水管网设计 5
2.2.1 排水系统体制的选择 5
2.2.2 污水管网定线 6
2.2.3 污水管段排水面积的划分 9
2.2.4 污水管道流量计算 9
2.2.5 污水管道水力计算 11
2.2.6 排水管渠材料、接口及基础 12
2.2.7 管道平面图与纵剖面图的绘制 13
2.2.8 污水管网布置方案二 13
2.3雨水管网设计 14
2.3.1划分排水区域 14
2.3.2雨水管网定线 14
2.3.3雨水管网面积划分 14
2.3.4雨水管道流量计算 15
2.3.5雨水管道水力计算 15
2.3.6雨水管道管材及管道用量 17
2.3.7雨水管道平面图 17
2.3.8 雨水管网布置方案二 17
2.4污水处理厂设计说明 17
2.4.1厂址选择 17
2.4.2工艺选择 18
2.4.3构筑物选择 21
2.4.4水量与水质 23
2.4.5污水处理厂各构筑物设计说明 24
2.4.6污水处理厂平面布置 31
2.6.7污水处理厂高程布置 31
2.5排水工程投资估算 32
2.5.1污水厂工程投资W 32
2.5.2远期规划附加投资 32
2.5.3污水厂直接费用 32
2.5.4污水厂处理成本估算 33
第三章 设计计算书 34
3.1设计流量 34
3.1.1居住区生活污水总设计流量 34
3.1.2工业废水设计流量 35
3.1.3地下水渗入量 35
3.1.4城市污水总设计流量 36
3.1.5设计水质 36
3.2粗格栅 37
3.2.1设计参数 37
3.2.2设计计算 38
3.3提升泵房 39
3.3.1设计参数 40
3.3.2设计计算 40
3.4细格栅 43
3.4.1设计参数 43
3.4.2设计计算 43
3.5旋流沉砂池设计 45
3.5.1设计参数 45
3.5.2设计计算 45
3.6生物池 45
3.6.1设计参数 45
3.6.2生物池设计计算 46
3.6.3曝气系统计算 50
3.6.4厌氧池设备选择 55
3.6.5缺氧池设备选择 55
3.6.6排泥系统计算 55
3.6.7生物进出水系统设计计算 56
3.7幅流式二沉池 57
3.7.1主体设计 57
3.7.2 进出水设计 60
3.8消毒 62
3.8.1.消毒剂 62
3.8.2氯库及加氯间的设计 62
3.8.3 接触池设计 63
3.8.3 接触池其他设计 65
3.9 化学除磷 65
3.10污泥处理设计计算 66
3.10.1污泥量计算 66
3.10.2回流污泥泵的设计 68
3.10.3剩余污泥泵的设计 68
3.10.4浓缩脱水车间 69
3.10.5污泥浓缩 69
3.10.6污泥脱水 69
3.11巴歇尔计量槽设计 70
第四章 污水处理厂平面与高程布置 72
4.1污水处理厂平面布置 72
4.2污水处理厂高程布置 72
4.2.1各处理构筑物及连接管渠的水头损失计算 72
4.2.2污水系统高程计算 75
第五章 排水工程投资估算 76
5.1污水厂处理工程投资估算 76
5.1.1污水厂工程投资W 76
5.1.2远期规划附加投资 76
5.1.3污水厂直接费用 76
5.1.4污水厂处理成本估算 77
5.2 单位水成本费估算 79
5.3 管道工程投资估算 79
第六章 结论 81
参考文献 82
附录 83
致谢 103
第1章 绪论



第2章 设计说明书
2.1 工程概况
2.1.1 原始资料
2.1.1.1自然条件
1、地理位置
织金县地处东经105°21′~106°11′,北纬26°21′~26°58′,位于贵州中部偏西,乌江上游支流六冲河、三岔河交汇处的三角地带。东临清镇市、平坝区,南连西秀区、普定县,西接凉都水城市,北抵大方县、黔西县。本次设计范围为织金县新区,城区北面的六冲河由西向东流过,区域内地质条件良好,地势较平坦。
2、气象资料
(1)、气温
年平均气温11.6~15.4℃,最高温度30.1~35.2℃,最低温度9.2~12.7℃。
(2)、降雨量
年平均降雨量在1574-1261毫米之间
(3)、主要风向
常年主导风向为南偏西
(4)、风速
历年平均:2.6米/秒,年最大风速为15.2米/秒。
3、工程地质与地震资料
城区表层土壤主要为黄色、褐色粘壤土,厚2.0~5.1米,其下为沙砾层,深4.0~7.0米。土基承载力一般为19~47MPa,该市地震烈度为4度。
4、水文资料
(1)、六冲河水位(黄海高程)
历年平均:657.45米,历年最高(1/30):665.70米。
(2)、流量
最大流量46.5米3/秒,多年平均流量28.33米3/秒,最枯流量14.03米3/秒。
(3)、流速
最大断面平均流速:0.2米/秒,最小断面平均流速:0.45米/秒。
5、水质资料(六冲河)
COD 11.9mg/L BOD5 3.6mg/L
氨氮 0.7mg/L 总磷 0.11mg/L
6、水文地质资料
该县地下水位平均在地面以下2.20m左右。
2.1.1.2城市概况
1、城市规划简述(附城市规划图)
织金县是以发展林特、农副产品加工为主,具有山地特点和民族特色的贵州中部城市。烟草、食品加工业为织金县的支柱产业。规划织金县新区为以发展食品加工、商贸为主,兼具旅游服务职能的城镇。
- 人口与建筑物层次规划
近期为9000人口,远期为140000人口。
3、城市的绿化总面积
全区建成后绿化面积为86.62公顷。
(三)城市排水现状简述
织金县新区缺乏统一的排水规划和排水管涵的建设,管理比较混乱。六冲河规划为III类水体。织金县新区现目前不经过任何人处理过程的污废水是直接排入河流的,对水体的污染日渐严重。
(四)工业废水情况
该城区除六冲烟厂、六冲综合食品加工厂外,还有一些零星工厂企业。其中六冲烟厂日平均污水量近期为300m3/d,远期为500m3/d,Kh=1.33。新州综合食品加工厂日平均污水量近期为200m3/d,远期为300m3/d,Kh=1.41。其它零星工业废水的平均流量,约为整个城区生活污水平均流量的8%左右。
2.1.2 设计水质
根据其相关的排放标准,其污水要求的去除率如下表:
2.2 污水管网设计
2.2.1 排水系统体制的选择
理智选用污水雨水排水系统的体制,不但可以影响整个系统的施工、管理、运营维护和设计,而且还对生态环境的影响深远。同时排水体制的不同也决定者整个工程的总投资和它的早期投资费用。


2.2.2 污水管网定线
(1) 确定排水区界,划分排水流域
在排水地区的总的平面布置图上规划确定污水排水管网管道的方向和位置,称之为污水排水系统管道定线,合理的定线是合适的、经济的设计污水管道系统的必要条件,也是污废水管道系统设计的关键环节。管道定线通常情况下是按下列步骤进行布:主要干管、干管、支管。定线遵循的主要原则时:应尽可能地在管线较短和埋深较小的情况下,让最大区域的污水能靠重力自流排出。为了实现这一原则,在管道定线时候必须很好地研究各种条件,使拟定的路线能随机应变的利用其优势而避免不利的缺点。定线时通常考虑的几个因素是:地形和用地布局;排水体制和干管数量;污水厂和排水出口的位置和它的水文地质条件;街道的宽度;地下埋设的设备路线及周边房屋或大楼的位置;工厂和大企和产生大量污水的集中排水点分布情况。
在一定条件下,地面坡度一般是影响管道定线的决定原因。一般顺着地面坡排水,定线时应充分利用地形,使管道的走向符合地形趋势。在整个排水区域较地势较低的地方,埋设主干管及干管,这样便于支管的污水靠重力流接入,而小支管的坡度尽可能与地面坡度一致。此外,管道定线时需做方案比较,选择最适当的定线位置,使之既能尽量减小埋深,又可少建泵站。
污水主干管的走向取决于污水处理厂和污废水口的位置,在面积很大的排水地区或地形情况不简单的地区,可能要建几个污水厂分别处理与利用污水,这就需要铺埋好几根住干管。在小一点的城镇或地形倾向一方的地方,一般就只设一个污水厂,相应的也只需要铺埋一条主干管。若相邻城市联合建造区域污水厂,则需要相应的建造区域污水管道系统。
管道定线时还应该要考虑街道的宽度和街道的车流量状况这些因素。污水干管一般不宜铺埋在交通拥挤而狭窄的街道下。若街道宽度超过40m时,为了减少连接支管的数量和减少与其它地下走线的相交,可考虑不只一条顺着街道的污水管道。
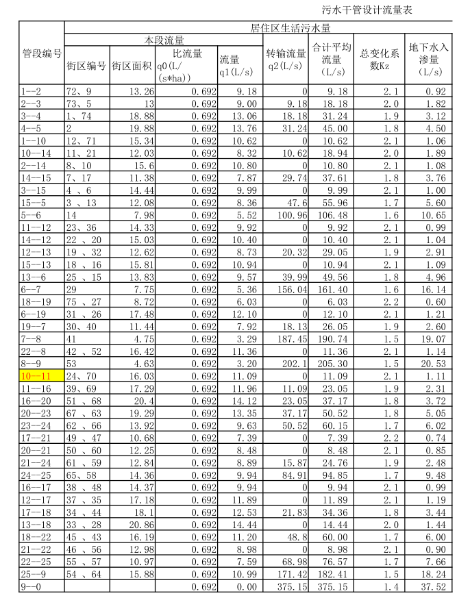
根据织金县新区地形西南高东北低,保证流域内绝大部分污水能以重力流的方式流入的划分原则进行流域划分,根据地形特点可将排水区域按面积平均划分为两大区域,各区面积和划分结果详见污水管网计算书和附图A。
(2) 污水管网定线原则
在城镇(地区)总平面图上确定污水管道的位置和走向,称污水管道系统的定线。正确的定线是合理的、经济的设计污水管道系统的先决条件,是污水管道系统设计的重要环节。管道定线一般按主干管、干管、支管顺序依次进行。
定线应遵循的主要原则是:应尽可能地在管线较短和埋深较小的情况下,让最大区域的污水能自流排出。
管网在定线之前,还要首先确定污水处理厂的厂址,以便确定管线走向及控制点。
(3) 污水管网水力计算
1)设计充满度
在设计流量下,污水在管道中的水深h和管道直径D的比值称为设计充满度。当
时称为满流;
时称为不满流。我国按不满流进行设计,这样规定的原因是:
①污水量一直在随机变化,很难精细估算,而且降雨水有可能利用井盖子雨水口这些洞流入,地下水也可能通过管道接口位置渗入污水管道。因此,需要剩余出一部分管道空间,为不能计算预测水量留出来空间,放置污水溢出妨碍环境卫生,同时使渗入的地下水能够顺利流泄;
②污水管道里面沉下来的污水杂质泥含有好多要害的物质要散发出很多不好的气体物质。污水中如含有机动车油、有机苯、石油等容易点燃的液体时,可能产生爆炸性气体。故需留出适当空间,以利管道的透风,有效排除这么些很危险的气体。
便于管道的清通和养护管理。下表所列的设计管道的最高充满度是设计污水管道是所采用的充满度的最大上限,在进行污水管道的水力计算时,所选用的充满度不应大于表2-1中规定的数值。但为了节约投资,合理地利用管道断面,选用设计充满度也不应过小。为此,在设计过程中还应考虑最小设计充满度作为设计充满度的下限值。根据经验各种管径的最小充满度不应小于零点二五,一般情况下设计充满度最好不小于零点五,对于管径不小的管段设计充满度以接近最大限值为好。
各种管径上限的设计充满度的规定如下表所示:
表2.1 最大设计充满度
管径(D)或暗渠高(H) | 最大设计充满度 |
200~300 | 0.55 |
350~450 | 0.65 |
500~900 | 0.70 |
≥1000 | 0.75 |
2)设计流速
设计流量、设计充满度相对应的水流平均速度叫做设计流速。设计水流速度太小,污水流动缓慢,其中的悬浮物则易于沉淀淤积;另一方面,污水水流速度太高,虽然悬浮物一般不会产生沉积、堵塞,但又很可能要冲刷到管壁,甚至磨坏管道导致使用寿命降低。为了防止管被沉积物质堵塞或者被磨刷管壁,设计流速不能太小了也不能太大了,应最高限值和最低限值的流动速度之间。
中国制定限制污水管道污水流动的速度最小值为0.6 m/s,非金属管道的水流速度上限值为5 m/s,金属管道的水流速度上限值为10 m/s。 含有金属、矿物固体或重油杂质的生产市污水管道,其设计流动速度下限值宜适当加大,明渠的设计流动速度下限值为0.4 m/s。
在平坦地区,如果最小设计流速的取值过大,就会增加管道坡度,从而增加管道的埋深和造价,有事需要设置中途泵站,因此,在平坦地区,要结合当地实际情况,对最小流速做出合理的调整,并科学制定合理的运行管理规程,保证管道系统的正常运行。
3)最小管径
GB 50014-2006(2014年版)规定:在街区和厂区内支管最小管径定为200 mm,干管最小管径为300mm,在街道下为300 mm。
4)最小设计坡度
相应于管内流速为最小设计流速时的管道坡度为最小设计坡度。管径200 m的最小设计坡度0.004;管径300 mm的最小设计坡度0.003。
5)管道的埋设深度
以上是毕业论文大纲或资料介绍,该课题完整毕业论文、开题报告、任务书、程序设计、图纸设计等资料请添加微信获取,微信号:bysjorg。
相关图片展示:









