燃煤电站煤粉流量在线检测系统设计毕业论文
2020-04-05 10:53:09
摘 要
随着时代的发展与科学技术的进步,人们对煤粉流量在线检测的研究一直都在深入。但是目前对煤粉流量进行精确的在线检测依旧不尽如人意传统的流量检测系统在精度上有所欠缺,而新的技术则难以适用于工业生产现场。本设计采用了超声波法来对煤粉流量进行在线监测,以ECAH模型为基础,选用了合适的硬件来搭建相应的系统并确定了系统的运行流程。
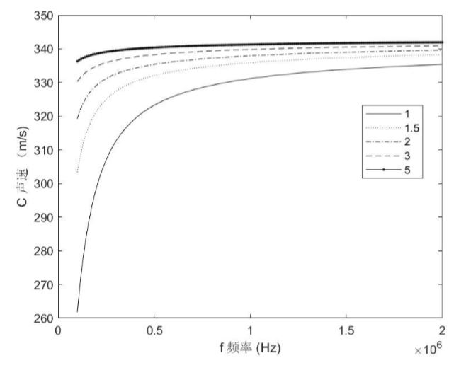
本设计采用了MATLAB这一软件来对该模型进行仿真模拟。选择这一款数学软件来进行仿真主要是考虑到了MATLAB强大的功能与相对较为容易的操作。在编写仿真程序完毕后选取了不同煤粉颗粒半径、温度以及煤粉浓度并得出了在这些情况下的声速-频率的函数图像。最后对仿真结果进行了对比与分析并得出结论。
关键词:煤粉流量;一次风管;超声波传感器;MATLAB仿真
Abstract
With the development of the times and the progress of science and technology, people have been studying the on-line detection of pulverized coal flow continuously. However, accurate on-line detection of pulverized coal flow is still unsatisfactory at present. The traditional flow detection system lacks accuracy, and new technologies are difficult to apply to industrial production sites. In this design, the ultrasonic method was used to monitor the coal flow rate online. Based on the ECAH model, the appropriate hardware was selected to set up the corresponding system and determine the operation flow of the system.
This design uses MATLAB software to simulate the model. The selection of this mathematical software for simulation is mainly a consideration of the powerful functions and relatively easy operation of MATLAB. After the simulation program was written, different pulverized coal particle radii, temperature, and pulverized coal concentration were selected and the speed-of-sound function images under these conditions were obtained. Finally, the simulation results were compared and analyzed and conclusions were drawn.
Key words: pulverized coal flow; primary air duct; ultrasonic sensor; MATLAB simulation
第一章 绪论
1.1论文研究背景以及意义
早在19世纪,人类就建立了火力发电厂来提供电力,迄今为止,火力发电仍然是中国电力生产的主要方式。由于在我国的能源结构中,煤炭所占的比例是最大的,在我国火电的成本很低,所以我国有大量的燃煤电站。在燃煤电厂的锅炉中,主要运用风力将煤粉输送到燃烧室中,如果煤粉的浓度过大,可能会导致煤粉燃烧不充分,产生有害气体;浓度过小则会影响锅炉的效率。此外,如果煤粉的分布不均匀,会导致输送管道或燃烧器发生堵塞,会造成安全隐患,严重时还会迫使工厂停机,这对煤粉的在线监测提出了要求。
对于我国大多数燃煤电站的锅炉,一次风管中的空气-煤粉系统的运行情况对这类锅炉运行的安全与生产效率会造成很大的影响,因此建立良好的送气系统,使一次风管内部的煤粉颗粒半径、煤粉浓度保持在一个合理的范围中,对于煤粉燃烧的优化与调整有很强的相关性,应该放在首位考虑。在一次风管内部,煤粉的浓度和空气流动的速度十分重要,因为它们对锅炉的燃烧条件稳定性和锅炉燃烧效率有很重要的意义。同层一次风管内流速与煤粉浓度的不一致性对锅炉运行有一系列不利影响。这些不利影响主要表现在炉内燃烧圆偏斜、炉膛倾斜、火焰粘着、炉膛热负荷不均、高温偏差、排放增加、产生局部水冷壁超温和结焦现象,造成过热器和再热器的热偏差,导致锅炉熄火并诱发安全事故以及其他方面的危险。
在许多燃煤电厂中,输送煤粉的一次风管内部煤粉的分布情况会产生很大的偏差。这个偏差产生的原因是目前工业生产现场所使用的磨煤机的性能所导致,此外管道的布置情况也是这个偏差产生的原因。工程经验表明:在很多情况之下,生产现场所使用的磨煤机最大流量分配不均匀性有15%,而这些磨煤机的浓度分配不均匀性达到了40%,磨煤机浓度不均匀甚至存在超过50%的较为严重的情况,而燃煤电厂中的管道之间存在着差异,这些差异使得这个偏离变得更加严重。同时,随着电力产业的快速发展,电网所需要承担的峰谷差越来越大,这样的情况的出现对燃煤电厂锅炉负荷调节能力提出了较高的要求,而必须完成对一次风管中煤粉流量监测才能够使燃煤火力发电厂锅炉变负荷高效运行。此外,国家日益严格的排放限制和上网电价的压力,使得许多电力公司开始重新审视如何实现燃煤机组的闭环控制运行。近年来锅炉燃烧优化控制系统、电厂实时负荷优化分配系统等被引入到电厂,这是控制和优化燃烧的有益尝试。因此,电厂对一次风内煤粉浓度的精确测量要求变得更高,但是限于目前的工业现场环境以及检测设备的发展情况,在煤粉的在线监测这一领域的技术水平仍然有待提高。
燃煤电站中传统的煤粉检测方式有两种,其中第一种是对每一节火车车厢的原煤进行统计,另一种方式则是在煤粉送入磨煤机之前进行称量,前者的统计时间很长,而且会产生很大的误差,而后者虽然比前者精确度更高,但仍然不能反映锅炉中的煤粉燃烧情况。
煤粉在管道内的输送是一种典型的气-固两相流问题。对于气固两相流中颗粒浓度的测量,许多学者提出了超声法、热平衡法、摩擦法、压差法、微波法、电磁法、激光法、电容法等多种方法。超声波法测量煤粉流量有很多优点。这种方法因穿透性好、精度高等优点成为气固两相流参数检测的一个新趋势,此外,它不受温度变化的影响。校准过程需要较少的基本参数,特别是对于高浓度煤粉气固两相流测量。超声法具有许多优点,在煤粉计量方面具有良好的应用前景。
截止2017年底,全国火电装机110604万千瓦、水电34119万千瓦、核电3582万千瓦、风电16367万千瓦、太阳能发电13025万千瓦,这表明我国火力发电厂占据了发电总量的绝大部分,而且大约80%的二氧化碳与大约90%的二氧化硫排放是由燃煤电站所产生的。为了更好的利用煤炭资源,减少污染物的排放,提高燃煤电站的效率,对煤粉流量进行在线监测是十分重要的,这对于可持续发展,以及建设资源节约型,环境友好型社会也有很重要的意义。
1.2国内外研究现状
煤粉在电厂一次风管中的运动是一个典型的气-固两相流问题,对这个系统中的各个参数进行测量一直是一个重要的研究方向。对此国内外的许多学者进行了大量的研究也取得了许多研究成果。
管内气固两相流是所谓的气动输送。在气力输送过程中,大量颗粒物质在一定压力和速度作用下发生流态化,然后通过管内气流运动完成输送。气力输送过程是一个非常复杂的两相流。它们具有可变形的界面和可压缩的气相。气固两相流具有界面效应和相对速度,相界面在时间和空间上都是随机变化的。这使得气固两相流的流动比单相介质的流动要复杂得多。
多年以来,气固两相流中各种参数的精确测量一直是研究人员的难题。在燃煤电厂锅炉的一次风管中煤粉的浓度有密切的关系,对煤粉浓度的检测是十分重要的。目前,煤粉浓度的测定方法有直接法和间接法。在直接法中,以微波法为例。其原理是在管道上安装一个测量管。微波发生器和微波接收器沿管的方向在风管的流动方向上设置在管的同一侧。当发射的微波与一次风管内的煤粉颗粒发生碰撞的时候,会产生微波的衰减,接收微波信号后分析其衰减值就可以计算出一次风管内煤粉的浓度。但由于微波法对设备的精度有很高的要求,而且管道内部总是存在死区使这一段无法探测,因此在实际的工业生产之中微波法并没有得到广泛的应用。在目前的工业生产现场中则主要使用间接法来进行测量。间接法的测量原理主要是根据能量守恒等理论对风粉混合前后进行建模,从而得出计算结果。以能量法为例子,能量法忽略了一次风管内在风粉混合中能量的散失,这样一来混合物的总能量就是混合物的动能和静压的总和。在发生了混和形成气-固两相流之后,总能量会产生损失,如果流速温度等条件保持不变,混合物中成分比例的不同必然会引法混合前后静压差的不同。在测量混合前后的流速,温度与静压后,就可以通过方程获得相应的煤粉浓度。间接法测量煤粉浓度更为简便使其更加适用于工业生产现场,但间接法在测量之中由于忽略了许多因素,导致在精确度等方面有所欠缺。
目前在工业现场已经有多种测量仪器来对煤粉流量进行检测,它可分为传统接触式测量和非接触式测量。非接触测量具有较高的精度。但在实际使用上传统的接触式依旧十分重要,由于新的测量仪器有难以操作,无法适应生产现场环境等缺陷,而传统的测量仪器又在精度上难以满足要求,因此目前对已有的测量仪器进行改进是一个重要的研究方向。
多年来,大量的研究者和工程师对超声波在两相流检测中的应用做了大量有益的工作。因为非接触性和自清洗性的超声波检测这些优点,在许多重要的工业领域,如食品、化工、石油、电力和造纸等,超声波测量的原理已经产生了大量的有用的用途。
在国外,在1992,根据前人的理论研究成果,Alba成功地研制出一种检测液固相悬浮液固相浓度和粒径分布的仪器,并申请专利。超声波在不同频率下的衰减存在差异。该仪器利用该原理测量悬浮池的衰减谱,并利用反演算法求出颗粒尺寸分布和浓度参数。
澳大利亚联邦科学和工业研究组织的矿物部门开发了一种能够测量燃料流量的在线测试系统。该系统已成功地在澳大利亚新南威尔士电厂输煤管道上进行了试验。该系统利用超高频射频脉冲在60kHz频率下的衰减和速率来确定各管中的煤粉流量。该系统用于发现锅炉给水管内煤粉分布不均匀。该信息可用于调节平衡锅炉,从而提高燃烧效率,控制NOx的产生,减少锅炉管的磨损。在煤粉计量系统的标定中,煤粉流量测量误差与β射线标准尺相比,误差在3.4%~5.9%之间。当风量为原来的40%~90%时,煤粉计量系统测得的累计煤粉流量与重力给料器的电子数相比小于1.8%。
目前燃煤电厂锅炉的煤粉流量检测仍然缺乏准确可靠的检测方式,多年以来许多学者都在对煤粉检测装置进行研究,但精确的对煤粉在一次风管中的状态进行在线监测依然是一个难题,在生产现场的操作中有时还需要个人经验与技术水平,因此,如何利用现有技术对已有的测量方式进行改进,或者研究出一整套的对煤粉在线监测的系统,以避免电厂工人在操作过程之中因操作经验上的差异而导致的煤粉浓度等参数产生波动,导致生产事故的发生。此外,近期也有研究人员计划将软测量技术运用于煤粉流量的在线检测中,这或许会成为解决难以精确测量煤粉流量这一问题的方法。
1.3本文的研究内容
本文研究了一种基于ECAH理论模型,采用超声波探头测试煤粉的流速与煤粉颗粒的体积分数,实现了煤粉气固两相流中煤粉流量的在线检测技术。该技术的目的是实现煤粉在线监测,优化锅炉燃烧,提高燃烧效率,减少污染物排放。为了实现这个目的需要建立一个模型并对其系统进行仿真,选取合适的超声波探头并为煤粉流量检测设计出一套系统。针对这个目标,本文分为五个章节来对该系统进行论述,各个章节内容如下:
第一章,绪论。本章节阐述了本设计的背景与意义,即煤粉的在线检测对实际上的节能减排、提高能源的使用效率都有着十分重要的意义;目前国内外的研究现状,目前国内外的对煤粉的在线监测都还处于一个研究发展的阶段,相关的技术中适用于工业生产现场的在精确度上有所欠缺,而更为精确的方法因要求较高而不适用于工业生产的现场,煤粉的在线检测仍有发展空间;同时简单讲述了本设计的内容,并列出了本文各个章节的安排与相关的思路。
第二章,测量煤粉流量的原理。本章节讲述了利用超声波对煤粉进行在线检测的原理,ECAH模型的发展历程,基于ECAH原理的超声波测量煤粉流量的原理以及该模型的相关公式,并对煤粉在一次风管中流动的这个模型进行分析。也探讨该原理在煤粉检测中的应用。本章节也描述了其他的几种理论模型与测量方法,并进行了对比。
第三章,测量煤粉流量的硬件设计。本章节介绍了依照要求所选用的超声波发射与接收装置、信号放大与处理装置,并且确定了该煤粉在线检测的系统结构,给出使用超声波法进行煤粉流量在线监测的流程图,并给出了部分模块的原理图。
第四章,测量煤粉流量的软件设计及仿真结果分析。软件部分需要结合相关的原理进行设计,并满足对流速,浓度等信息进行分析,并输出这些信息,为使用者提供这些重要的数据。在这个章节里依照了ECAH模型,确定了仿真的程序后利用了MATLAB这一数学软件进行了仿真。在得到了仿真结果图像之后对结果与模型进行分析,并得到相关的结果。
第五章,结论与展望。本章总结了论文的主要内容,并结合仿真结果,给出了相应的结论。同时对超声波测量煤粉流量这一课题在之后的发展进行了展望,并拟在今后的时间里对其进行优化与改进。
1.4本章小结
本章节阐述了本设计的背景与意义,与目前国内外的研究现状,并且简单讲述了本设计的内容。同时也列出了本文各个章节的安排与相关的思路。就目前而言,测量煤粉的技术仍然不能让人们满意,但煤粉流量的在线监测有着十分重要的现实意义
第二章 测量煤粉流量的原理
在人类的发展历程中,人们对声音的认识越来越深。在近代人们就发现声音的衰减是包含有散射,扩散和吸收。而Rayleigh的微小障碍物对平面声波干扰问题的研究也开启了人们对两相介质中的声波传播机理的探究。在1953年,爱泼斯坦(Epstein)与卡哈特(Carhart)假设在两相介质中声发生衰减的主要原因是由于粘滞耗散以及热传导耗散所导致的,在这个假设的基础上,经过了数学推导后提出了爱泼斯坦-卡哈特(Epstein-Carhart)模型,到了上世纪70年代,阿莱格拉(Allegra)与霍利(Hawley)对爱泼斯坦-卡哈特(Epstein-Carhart)进行了研究,在此基础上对模型进行了修正和扩展。改进了模型的适用范围。经过修正后的ECAH模型在这个领域内有着重大的意义。然而,该模型的整个计算过程较为复杂。为了找到一种更简单实用的方法,McClement给出了长波极限下简化模型的形式。当长波长条件满足时,简化模型可以代替ECAH模型。从本质上来说,ECAH模型不考虑声波在颗粒之间的复散射,适用的对象是低浓度的两相介质,而且无相间滑移。而声波在高固相浓度的两相流介质中传播时,复散射影响必须考虑在内。之后也有科研团队对声波在随机介质中的复散射现象进行了研究,得出了在体积浓度超过时,使用ECAH模型需要考虑复散射的影响这一结论,并对模型进行了相应的修正。
2.1ECAH模型原理
ECAH模型是选择研究的对象为悬浊液中球形各向同性的单分散颗粒,通过考虑质量、动量和能量守恒方程,推导出相速度和衰减的复波动的方程。当平面压缩波入射到液固界球面上,在颗粒体的内外两侧会产生一组压缩波、热波和剪切波,这些波会分别从边界进入球体和返回到液体介质中去。
当超声波在传播的时候,由于介质吸收超声波,介质中的悬浮颗粒会散射超声波,因此超声波在介质中因不同程度而衰减。如果确定了传播距离,介质中其他的无聊性质相似,在这种情况下,选用相同频率的超声波,穿过不同的浓度和粒度的风粉混合物,受到的衰减也是不同的这样就可以获得超声波衰减系数与风粉混合物的浓度与粒度的对应关系,也就是说超声波的衰减系数是煤粉浓度以及煤粉粒度的函数。因此,利用好这个原理,就可以准确的检测出一次风管内煤粉的分布情况。
2.2基于ECAH的超声波测量煤粉流量原理的应用
ECAH模型在推导中假设了分散粒子为单一粒径且均为严格的球体。以这个假设为前提,利用质量守恒定律、能量守恒定律、动量守恒定律,就可以描述出粘滞作用和热传导所产生的耗散。其物理过程如下图。

图2-1 ECAH模型中波的互相变化示意图
图中的6个波之间有相互的关联,确定六个波的方程,同时联立求解后可以获得复数波的表达式。这六个波的方程如下:
(2.1)
(2.2)
(2.3)
(2.4)
(2.5)
(2.6)
其中,,,为半径R与压缩波波数,黏性波波数和热波波数的积,则分别是物质热和粘性性质的函数。为球贝塞尔函数, 为球汉克尔函数。为剪切粘度,为热传导系数,为剪切粘性系数。利用线性方程组解出An后带入下式即可解出复波数:
(2.7)
在McClements改进方案里,该模型在长波极限下被简化,他认为在这样的情况里ECAH模型系数An的序列中只有二者起到主导的作用,它们的表达式如下:
(2.8)
(2.9)
(2.10)
(2.11)
其中,是热膨胀系数,T是绝对温度,和分别是热集肤深度与粘性集肤深度。
2.3其他原理模型
除了ECAH模型,测量煤粉还有很多其他的测量方法与模型。这些模型的建立伴随着人们对于声音认识的发展。在这里选取其中的数种进行介绍
(1)Urick模型
Urick理论模型是一个早期的两相介质声速与声衰减预测模型。这个模型的建立是基于声波的衰减仅与频率有关这一假说之上的。该模型的特点是较为简单,但是在建立模型的时候,固体颗粒被视为了具有相同大小的球体,而且也没有考虑在两相介质中会发生如热传导,散射等情况。尽管在精确方面Urick模型有所欠缺,但这不妨碍这个模型具有很好的实用性。
利用Urick模型,可以得到声速的表达式如下:
以上是毕业论文大纲或资料介绍,该课题完整毕业论文、开题报告、任务书、程序设计、图纸设计等资料请添加微信获取,微信号:bysjorg。
相关图片展示:









