三元合金型锂离子电池镍含量对性能衰退影响的研究毕业论文
2020-02-18 10:42:57
摘 要
随着全球气候变暖、能源匮乏以及传统能源汽车增速放缓、国六排放法规即将开始实施,电动汽车的发展已经是大势所趋。三元合金型锂离子电池作为新能源乘用车主要的动力源,其发展状况与电动车的发展息息相关。本文选取四种不同镍含量的NCM三元合金型锂离子电池为研究对象,开展了以下几方面的工作:
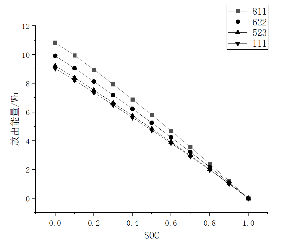
首先,本文首先研究了锂离子电池的工作原理并了解了一些基本的外特性参数,接下来根据实验室现有条件做了一些锂离子电池基本性能实验。不同镍含量的电池,端电压随放电容量的变化曲线大致相同,都分为三个阶段。电池的放电能量随SOC呈线性关系。
其次,本文分析了目前比较常用的电池模型,并选取选取二阶Thevenin模型,以HPPC循环测试数据进行模型参数辨识,得到开路电压等参数随SOC的变化,并利用Matlab里的拟合曲线分析极化内阻。
最后,分析了容量和能量随循环次数的变化,结果表明,镍含量较高的两种三元锂离子电池的容量和衰退率较低。接下来分析了模型参数随循环次数的改变,结果表明,欧姆内阻和极化内阻均是导致锂离子电池衰退的关键因素,随着循环次数增加,镍含量较高的两种锂离子电池内阻也明显小于其它两种,这也与容量和能量衰退结果相吻合。
关键词:三元型锂离子电池;容量衰退;等效电路模型;参数识别
Abstract
With the global warming, energy shortage, slow growth of traditional energy vehicles and the coming implementation of the Sixth National Emission Regulation, the development of electric vehicles has become the trend of the times. As the main power source of new energy passenger car, ternary alloy lithium-ion battery is closely related to the development of electric vehicle. Four kinds of NCM ternary alloy lithium-ion batteries with different nickel content were selected as the research objects, and the following aspects were carried out:
Firstly, the working principle of lithium-ion batteries is studied and some basic external characteristic parameters are understood. Then some basic performance experiments of lithium-ion batteries are done according to the existing conditions in the laboratory. For batteries with different nickel content, the variation curve of terminal voltage with discharge capacity is roughly the same, which can be divided into three stages. The discharge energy of the battery also shows a linear relationship with SOC.
Secondly, the commonly used battery models are analyzed, and the second-order Thevenin model is selected to identify the parameters of the model based on HPPC cycle test data. The open-circuit voltage and other parameters change with SOC are obtained, and the polarization internal resistance is analyzed by parameter fitting using MATLAB.
Finally, the change of capacity and energy with cycle times is analyzed. It is concluded that the capacity and degradation rate of two ternary lithium ion batteries with higher nickel content are lower. The results show that both ohmic resistance and polarization resistance are the key factors leading to the decline of lithium-ion batteries. With the increase of cycle times, the internal resistance of two lithium-ion batteries with higher nickel content is also significantly smaller than that of the other two, which is also consistent with the results of capacity and energy degradation.
Keywords: Ternary lithium-ion battery; Capacity degradation; Equivalent circuit model; Parameter identification
目录
摘要 I
Abstract II
第1章绪论 1
1.1课题研究的背景与意义 1
1.2锂离子电池衰退国内外研究现状 2
1.2.1电极材料衰退机理的研究现状 2
1.2.2电池容量衰退的研究现状 2
1.3 本文研究的主要内容 3
第2章三元锂离子电池工作特性 5
2.1锂离子电池概述 5
2.2锂离子电池的性能参数 5
2.2.1电池容量 6
2.2.2电池电压 6
2.2.3电池充放电倍率 6
2.2.4电池内阻 6
2.3锂离子电池基本性能实验及分析 6
2.3.1电池参数以及实验平台 7
2.3.2电池参基本性能实验及分析 8
第3章三元型锂离子电池模型的建立 11
3.1电池模型的分类 11
3.1.1等效电路模型 11
3.1.2电化学模型 13
3.2电池模型的选取 13
3.3电池模型的参数辨识 14
3.3.1参数辨识的实验 14
3.3.2开路电压Uocv的辨识 16
3.3.3欧姆内阻R0的辨识 16
3.3.4极化内阻Rp和极化电容Cp的辨识 17
第4章三元型锂离子电池衰退特性研究 19
4.1容量测试 19
4.2容量衰退分析 19
4.3内阻变化分析 22
4.3.1欧姆内阻R0 22
4.3.2极化内阻Rp1,Rp2 23
第5章结论 26
参考文献 27
致谢 29
第1章 绪论
1.1论文研究背景及其意义
随着我国经济的高速发展,汽车的普及程度也大大增加。2018年全国新注册登记机动车3172万辆,机动车保有量已达3.27亿辆,其中汽车2.4亿辆。与此同时,汽车保有量的急剧增加与全球化石能源短缺的矛盾愈加突出。为了减轻空气污染,解决当下化石燃料紧缺的问题,我国开始大力发展新能源汽车。在2018年,我国汽车销量首次出现负增长,也结束了连续28年的增长。但相比之下,在2018年我国新能源汽车产量为127万辆,销量为125.6万辆,比去年同期分别增长59.9%和61.7%。新能源汽车逆势上扬,说明国内消费者对新能源汽车的认可度在不断提升,由此可见,发展新能源汽车是大势所趋。
动力电池作为新能源汽车必不可少的组成部分,其能量密度、工作寿命、性能衰退、重量对电动汽车的续航里程至关重要。目前新能源汽车的动力电池以锂电池为主,乘用车主要采用三元合金型锂离子电池,乘用车主要采用磷酸铁锂。锂离子电池非常可靠、高效和运行非常安全,但他也需要监控、控制和管理[1-3]。以前国产电动汽车的电池主要采用磷酸铁锂,因为其技术比较稳定,安全性高,成本较低。然而,随着人们对动力电池的要求不断提高,磷酸铁锂的弊端也突显出来,越来越多的厂家将目光转向了三元型锂离子电池。三元型锂离子电池具有安全性好、寿命长、能量密度高,续航里程长的优点。
三元合金型锂离子电池分为镍钴锰和镍钴铝两种,目前主要采用111型(即三种金属比例相同)锂离子电池,在这些金属之中,不同比例NCM材料的优点各不相同,可以根据不同的应用条件来确定。镍钴锰中镍的特点是容量高,安全性低;钴的特点是成本高,稳定性高;锰的特点是安全性高、成本低。在这三种材料中,镍价格低储量大,因此能否在提高镍含量的同时保证电池的安全性,提高电池抗衰退的的能力成为当前重点。目前市面上主流的三元型锂离子电池有111型、523型、622型、811型(数字的意义代表正极三种金属材料的比例,如811型即为镍钴锰三种元素分别占80%、10%、10%)这四种。在2017年国内动力电池主要是以三元111型、523型为主。但随着钴价的上升,为了降低钴金属带来的成本压力,同时兼顾高能量密度(gt;200Wh/kg)要求,高镍三元电池已成为了一种顺应时势的选择。电池在长期使用过程中,不可避免地会出现衰退现象,对汽车的使用寿命和安全性造成较大的影响。其衰退主要通过容量、电阻、电压的外部参数来表现。当锂离子电池随着循环使用而老化时,电池容量减小,电阻增大。不同类型锂离子电池的老化机理不同。锂库存损失,损失的活性物质的增加,以及电阻的增加可能导致电池老化[4-6]。了解锂离子电池衰退的内外因素,研究镍含量不同的三元型锂离子电池的衰退特性,对降低电池成本提高性能,促进我国新能源汽车发展具有重大意义。
1.2锂离子电池衰退国内外研究现状
1.2.1电极材料衰退机理的研究现状
锂离子电池充放电循环过程,就是锂离子在正负极之间不断运动的过程,随着循环次数的增加,不可避免地会出现内阻增加导致的容量衰退现象。而这种现象也与电极材料的衰退有着千丝万缕的联系,目前国内外学者也对电极材料的衰退有了比较充分的了解:
王嗣慧等[7]对高镍三元锂离子电池进行了高温充电存储评估,对存储前后的极片进行分析,结果表明电极表面副产物的累计和溶盐增加导致的阻抗增加,负极金属元素的积累对SEI膜的破坏是导致存储失效的主要原因。
J. Zhou等[8]在0.5C条件下对锂离子电池循环500次,发现负极保持其容纳来自正极的锂离子的能力。正极材料的损失归因于表面层的形成和增厚,并且通过XRD测量证明了其结构的紊乱。
Y. Zhang等[9]对以镍钴铝为正极石墨为负极的锂离子电池在高功率和高温下进行了多达5250次循环,揭示循环期间的容量衰减主要由正电极引起,其中放电容量可能受到氧化物颗粒中活性锂嵌入位点的减少的限制。在循环期间正电极的SEI层的性质改变和增厚似乎是电池阻抗上升和功率衰减的主要因素。
齐腾飞等[10]认为活化锂离子数量的减少是导致锂离子电池衰退主要的内部因素。温度,放电深度及放电倍率则是从电池实际运行工况分析找出电池寿命的主要外部影响因素,他从极化机理和反应速率机理角度推导出外部影响因素与电池寿命衰退的联系。
Y.Chang等[11]发现锂离子电池中碳电极的不可逆容量损失主要是由表面膜生长引起的,在第一次循环中天然石墨电极的容量损失不仅由表面膜生长引起,而且还由锂嵌入的潜在范围内新形成表面上的不可逆锂离子嵌入引起, 而碳阳极电极的容量损失主要来自表面膜的生长。
1.2.2 电池容量衰退的研究现状
Hongjie Wu [12] 提出了一种基于增量分析的自回归外生(I-ARX)建模方法,消除了OCV效应造成的建模误差。在不同的采样率(0.02,0.1,0.5和1 s)下分析其数值稳定性,建模误差和参数灵敏度,提高了参数估计的精度,提高了锂离子电池模型在不同情况下的适用性。
Weijun Gu等[13] 建立了可用于预测导致特定寿命终止指数的循环数的灰色模型。该模型不需要老化机制,并且引入了特定的平滑方法,并且还使用相同的方法对预测值和实际值之间的误差进行建模。通过验证,该灰色模型证明了其能够减少各种电动车辆的运行模式所需的循环次数。
陈亮亮[14] 提出了一种基于粒子滤波算法和高斯拟合模型的半经验融合预测方法,通过实验采集多种数据并利用Matlab预处理建立寿命衰退公式来跟踪预测,解决了锂离子电池剩余寿命预测困难的问题。
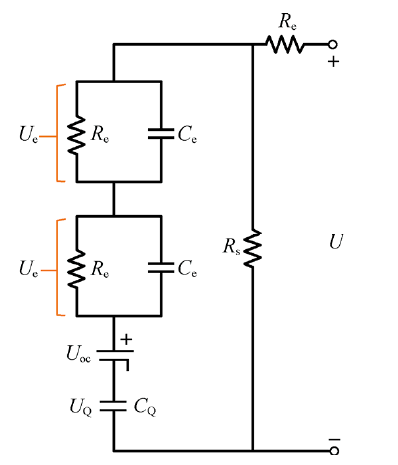
武汉理工大学李小康[15] 在锂离子电池组成和工作原理的基础上制定了相应的电池试验方案,并且选择了适合的测试方法与平台,在不同条件(放电倍率、温度)下对电池进行充放电实验。其衰退模型选择的是二阶Thevenin模型,进行HPPC实验获得数据,并在Matlab/Simulink中建立电池充放电仿真模型,验证仿真精度,通过实验数据分析出引起电池衰退的主要原因。
郭琦沛等[16] 通过研究三元锂离子电池IC曲线随电池衰退的变化规律,建立了一种三元型锂离子电池容量的估计模型,来表示电池的运行状况,提出一种估计电池容量的新型容量估计模型。
1.3 本文研究的主要内容
本文以不同镍钴锰含量的三元锂离子电池分别为天鹏811型、路华622型、天鹏523型、力神111型为研究对象,按照国家标准进行简单工况循环实验,包含:容量测试,HPPC测试。简单工况就是对电池以恒定的倍率进行充放电,每隔50次循环就做上述测试,了解其衰退状况。容量测试用来测得电池实验前后的容量变化,HPPC测试用来获得电池的一些参数如内阻等,主要研究内容如下:
(1)掌握锂离子电池组成、结构和工作原理,了解锂离子电池的一些外特性参数如:容量、电压、充放电倍率内阻和能量等等。根据实验室已有实验器材制定相应的试验方案,做一些锂离子电池基本性能试验(容量测试、hppc测试)通过实验获得参数,作出锂离子电池基本放电特性曲线,并且通过曲线的变化来观测电池变化的趋势,以便下文分析不同镍含量对锂离子衰退的影响。
(2)了解目前使用较为广泛的电池模型,根据本文所做实验合适的模型,因此本文选取二阶Thevenin模型,对必要的参数(开路电压OCV、欧姆内阻和极化内阻)进行识别,得到四种电池开路电压和欧姆内阻随SOC的变化曲线,以便下文分析其它外特性参数随循环次数的变化。
(3)了解如何运用Matlab处理数据,得到自己需要的关键参数,了解锂离子电池衰退研究的主要方法,根据实验得到数据,用绘图软件Origin绘制曲线图,对电池容量、能量的衰退进行分析,研究四种三元锂离子电池内阻随循环次数的变化,掌握循环工况下锂离子电池特性参数的变化规律,猜想导致参数变化的内部因素。
第2章 三元锂离子电池工作特性
2.1 锂离子电池概述
锂离子电池是一种主要依靠锂离子在正负极间的往返嵌入和脱嵌来实现充放电的二次电池。电池充电时,正极中的锂 脱出来,穿过隔膜进入到负极;放电时,锂离子从 负极中脱出来,穿过隔膜回到正极中。下图为锂离子电池工作原理图:

图2-1 工作原理图
本文研究的锂离子电池以三元合金(NCM)为正极,石墨为负极,充放电的化学方程式如下:
正极:
  负极:
2.2锂离子电池的性能参数
锂电池的内部反应可以通过一些性能参数来表示,比如:锂离子电池的外特性主要由容量、电压、倍率、内阻、功率以及功率这些参数来表示,我们可以通过掌握循环工况下锂离子电池特性参数的变化规律来评估锂离子电池的健康状况。
2.2.1 电池容量
电池容量是指在一定温度、倍率下电池能够放出的电量,通常以A·H来表示,根据不同的定义,其可分为实际容量、额定容量和理论容量。一定条件下,电池实际能放出的能量 称为实际能量。理论容量是指电极上的反应物反应完全,按照化学公式所求得的最大电量。额定电量是指电池出厂时其铭牌上所标示的容量。
2.2.2 电池电压
截止电压、开路电压和工作电压这三种电池电压是在锂离子电池使用过程中的主要研究对象。截止电压是保证电池在安全范围内工作而设定的值,其有上限和下限,超出这个界限就会影响电池的正常使用,严重时甚至会发生爆炸。工作(端)电压端是指 电池在正常工作状态下两极间的电势差。开路电压则是两电极间 无电流流过时的工作电压。
2.2.3 电池充放电倍率
充放电倍率是衡量电池充放电快慢的一种量度,它等于充放电电流除以额定容量。锂离子电池的充放电倍率,决定了我们可以以多快的速度,将一定的能量存储到电池里面,或者以多快的速度,将电池里面的能量释放出来。目前高校和企业中一般选取1/3C或1/2C恒流放电
2.2.4 电池内阻
电池内阻是阻碍电流流动的因素,同时也是它的增长也是电池衰退的主要原因。内阻包括 欧姆内阻 和 极化内阻。欧姆内阻是电池正负极材料和连接件引起的。极化内阻是离子扩散 浓度差带来的电势差异引起的,它包括电化学极化 和浓差极化内阻。
2.3 锂离子电池基本性能实验及分析
为了下文更好的研究研究外特性参数的变化与循环次数的关系,本文先做了一些基本性能试验,为下文进一步分析奠定基础
2.3.1 电池参数以及实验平台
电池测试平台如下图所示,其包括四大部件:深圳新威电池测试系统(BTS-5V300A)、高低温交 变湿热试验箱(GDJS-150)、PC上位机控制系统以及所用电池。PC上位机系统通过连接到电池检测系统的电缆网络控制计算机,来控制电池的充放电过程,电池检测系统通道通过接口与电池的正负极相连接。
电池测试软件如图2-3所示,运用该软件我们可以设置工步,看到关键的电池外特性参数如电压、电流、容量和能量等,值得注意的是在设置工步时,我们要设置电压上、下限,防止损伤电池。
以上是毕业论文大纲或资料介绍,该课题完整毕业论文、开题报告、任务书、程序设计、图纸设计等资料请添加微信获取,微信号:bysjorg。
相关图片展示:








        
            
