基于数据驱动的船舶油耗模型研究毕业论文
2020-03-20 23:54:02
摘 要
在全球航运业高度发达的今天,船舶航行中的排放物所带来的环境问题已不容小视。船舶排放物主要来自于船舶柴油机燃烧使用的重油和轻质柴油。所以,节能减排已成为现如今船舶运营的重要任务。节能减排的首要切入点就是降低船舶的燃油消耗,通过建立船舶油耗模型来分析在船舶运行过程中影响船舶油耗的因素以及预测船舶未来一段时间内的油耗。
本文将通过案例船舶客滚轮MS Smyril号的实测数据,在对数据进行预处理之后,通过数据的相关性分析在船舶实际航行中各类因素对船舶油耗的影响,并选定相关性最高的7类数据作为模型输入,油耗数据作为模型输出,通过深度学习的方法建立一个船舶油耗的黑箱模型,在经过数据的训练之后给出船舶油耗未来一段时间内的预测值,并通过验证集验证预测值与真实油耗数据的偏差。
本文通过对比深度学习框架,选用由谷歌公司支持的开源框架Tensorflow来建立神经网络模型,选用神经网络中的循环神经网络(RNN)的变种LSTM深度神经网络来建立整个油耗黑箱模型。在模型优化方面,通过一系列的对比优化,最终选用14万个输入数据,Adam优化方法,21个隐层神经元节点数最终得到的模型相对误差最高不超过5%,。
关键字:船舶油耗模型;深度学习;LSTM神经网络;影响因素
Abstract
Nowadays,with the development of global shipping industry, the environmental problems brought about by the emissions from ship navigation can not be underestimated. Ship emissions mainly come from heavy oil and diesel oil used for diesel engine combustion. Therefore, energy conservation and emission reduction have become an important task for ship operations. The primary method of energy conservation and emission reduction is to reduce the fuel consumption of ships. By establishing a ship fuel consumption model, we could analyze the factors that affect the ship's fuel consumption during the ship's operation and predict the ship's future fuel consumption over a period of time. This article will use the measured data of the case ship passenger roller MS Smyril, after preprocessing the data, analyze the impact of various factors on the ship's fuel consumption in the actual navigation of the ship, and select the most relevant 7 of them as the input data of The Model , and select fuel consumption data to be output data. A black box model of the fuel consumption of the ship is established through deep learning, and after the training of the data, the predicted value of the fuel consumption of the ship in a future period is given.Finally,we compared the predicted values with the true values to find the differences between them.
This paper compares the deep learning framework, selects Tensorflow, an open source framework supported by Google, to build a neural network model, and uses the variant LSTM deep neural network of a neural network to establish the entire fuel consumption black box model. In the aspect of model optimization, through a series of comparison and optimization, we finally choose the number of 140,000 to be the number of input data, we also choose The Adam Optimization method and the best number of nodes in the hidden layer neurons. Finally , we got the model that the relative error is no more than 5 %.
Key Word: fuel consumption model;deep learning;Long Short-Term Memory;Influencing factors
目录
摘要 I
Abstract I
第一章绪论 1
1.1研究目的及意义 1
1.2国内外研究现状 1
1.2.1白箱模型 2
1.2.2黑箱模型 2
1.2.3灰箱模型 2
1.2.4选定建模方法 3
1.3论文结构内容与本文创新之处 3
1.3.1论文结构内容 3
1.3.2本文创新之处 4
第二章影响因素的介绍 5
2.1数据背景及船例 5
2.2影响因素 7
2.2.1船舶纵倾的影响 8
2.2.2吃水深度的影响 8
2.2.3舵角的影响 8
2.2.4空气阻力的影响 8
2.2.5螺旋桨螺距的影响 9
2.3数据预处理方法 9
2.3.1油耗数据分布 9
2.3.2船舶速度分布 10
2.3.3风速分布 11
2.3.4异常值的处理 13
2.3.5数据的标准化 14
2.3.6映射关系 15
2.4本章小结 16
第三章建模过程 17
3.1框架的讨论和选取 17
3.1.1 Caffe学习框架 17
3.1.2 Keras学习框架 17
3.1.3 Tensorflow学习框架 18
3.2传统的循环神经网络RNN 19
3.3LSTM深度神经网络 21
3.4LSTM的模型训练 22
3.5LSTM深度神经网络的优化方法 25
3.5.1梯度下降法(Gradient Descent) 25
3.5.2 Adam法 26
3.6本章小结 27
第四章 建模结果 28
4.1样本数量的对比 28
4.2模型优化算法的对比 30
4.3深度神经网络结构 32
4.4本章小结 34
第五章 结论与展望 36
致谢 39
第一章绪论
1.1研究目的及意义
根据资料显示,在全球贸易前所未有的高度发达体系下,船舶航运业承担着全球90%以上的国际贸易运输。在整个船舶航运业里,大约有多达70多万条运营船舶在进行着全球贸易运输。而如此众多的运营船舶排放大约占据当前全球二氧化碳排放量的3%[1]。船舶燃料消耗所带来的排放物的积累已经达到一个无法忽视的程度,在全球气候变暖的今天,国际上已经出台多部条约限制船舶的排放。根据数据统计,2013年间,在全国范围内的船舶排放物中的硫氧化物含量占全国总量的8.4%;氮氧化物排放量占11.3%[2]。船舶排放与船舶油耗息息相关,其根本原因在于工作中使用的燃料——船用重油和轻柴油。 在远洋船舶中,主机使用重油,重油的硫含量平均在3.5%以上,相比与使用柴油或汽油的机动车辆,这个数字要高得多。所以,降低船舶的油耗就是降低船舶排放。
船舶的燃料消耗同样也与船舶运营成本息息相关,一般而言,船舶的燃油成本是船舶运营总成本中占比最高的,且伴随着国际油价的持续上涨,燃油消耗的成本也越来越高,带给企业的压力也越来越大。
上述原因决定了船舶运营必须以更低的油耗实际运营,本文正是基于上述背景,建立由数据驱动的油耗预测模型,该模型能够分析船舶航行过程中所遇见的环境以及各种操作对油耗的影响。量化各种因素对油耗的权重关系,预测未来的油耗。这种量化关系和油耗预测结果可以使船舶运营人员避免高油耗的影响因素从而有效地降低船舶燃料消耗量,进而可以降低船舶排放和运营成本,使航运业能够健康可持续地发展。
1.2国内外研究现状
迄今为止,关于船舶油耗模型建立的研究在国外已经持续了很久,随着时间的推移大致发展出了基于白箱模型、黑箱模型和灰箱模型的船舶油耗模型[6]。
1.2.1白箱模型
白箱模型是一个需要所有必要信息(如各种必要的物理量关系)的系统。 实际上,所有系统性质都位于黑箱和白箱模型之间,因此对于黑箱模型和白箱模型的这个概念只是作为决定采取哪种方法的直观指南。在通常情况下最好使用尽可能多的已知信息来建立模型会使得模型的精度更高,拟合性更好。因此,白箱模型通常被认为更易建立也更能体现出船舶实际情况,因为一旦我们已经正确使用了所掌握的信息,那么模型同样也将会正确地运行。通常这类信息在船舶上是在船舶设计初期已知的船舶各部件的设计物理量关系,用这类物理量关系所建立的模型在船舶初期的使用效果较好。但在实际运营中,由于有各种不可预料的工况和环境因素,所以白箱模型在船舶的实际运营中用初期设计的一系列物理关系是不能达到我们所要求的精确度的。在白箱模型方面,Ishewood[3]和Hanse[4]通过大量的试验和计算建立了油耗模型,他们的模型都存在着为了研究的方便而简化了大量的物理细节问题,所得的模型在实际的运用上精度不足。
1.2.2黑箱模型
在现有的科学,计算机和工程领域,黑箱模型可以被认为是一种设备,系统或对象,可以根据其输入和输出(或传输特性)来建立,即描述给定系统的输入—输出关系的模型,黑箱模型无需了解其内部工作情况。它的实现是“不透明的”(黑色)。几乎所有的东西都可以被称为黑箱模型:一个晶体管,一个算法或者人类的大脑。根据船舶运营数据,黑箱模型的优势在于可以在船舶实际运营中所得到的实测数据来给出精确度较高的预测。这在当研究人员无从得知或系统的物理过程过于复杂增加了研究的难度时会具有非常明显的优势。但此模型的建立需要经过一系列长期的数据采集。并且对于外插条件的性能预估存在一定的误差。在黑箱模型方面,Peterson采用了机器学习的方法来建立了船舶的油耗模型,并且所得到的油耗模型精确度不低[5]。
1.2.3灰箱模型
灰箱模型是黑箱模型和白箱模型的组合,在具体灰箱模型的建模中,我们可以使用白箱模型去建立我们已知的物理量关系,而对于那些未知的物理量关系,我们则使用黑箱模型去拟合。Leifson等人提出了多种不同的模型结构[7],使用白箱模型来模拟静水阻力,风阻,结垢,主机等已知物理量关系,又使用人工神经网络来修改模型输出。Leifson的灰箱模型无论在精度上还是对于外插工况的预估上都表现得很好。
1.2.4选定建模方法
综上所述,船舶油耗模型通过多年的研究已经愈发成熟,但随着时代的发展,分析技术的不断改进,船舶油耗模型的建模方法也有许多全新的方式等待着研究人员去运用。深度学习就是其中一种。
深度学习是机器学习的一个子领域,涉及受大脑结构和功能(称为人工神经网络)启发的算法。深度学习兴起于21世纪90年代和21世纪初。深度学习允许由多个处理层组成的计算模型来学习具有多个抽象级别的数据表示。 这些方法极大地改进了语音识别,视觉对象识别,对象检测和诸如药物发现和基因组学等许多其他领域的最新技术。深度学习通过使用反向传播算法来发现大型数据集中的复杂结构,以指示机器应如何更改其内部参数,以用于根据前一图层的数据计算后面图层中的数据。
深度学习与传统机器学习技术的不同之处在于,他们可以自动从数据(如图像,视频或文本)中学习表示,而无需引入手动编码规则或人类领域知识。他们高度灵活的架构可以直接从原始数据中学习,并在提供更多数据时提高预测精度。基于对深度学习的了解和使用以及对深度学习效果的期待在本次案例研究中我们将选择深度学习的方法进行此次船舶油耗的建模分析预测。
1.3论文结构内容与本文创新之处
1.3.1论文结构内容
本次研究基于深度神经网络建立船舶油耗与部分影响因素的关系,所采用的数据来源为客滚轮MS Smyril号,这艘船舶运营于法罗群岛首府托尔斯港(Torshavn)至苏德岛(Island Suduroy)的航线,单程航行耗时约115分钟,每日往返两地约2到3次。以下是本文所有章节的主要内容介绍。
第一章主要介绍了本次建立船舶油耗模型的目的和意义,以及国内外研究现状,和本次研究所选择的深度学习方法的背景。
第二章主要介绍了本次研究数据来源背景,数据预处理方法以及影响船舶油耗的航行因素。
第三章主要介绍了建模过程中深度学习框架的选取和网络结构的介绍和选定,以及最终选定网络的具体模型训练过程和优化方法介绍。
第四章主要介绍了建模结果,通过改变模型结构及数据大小来探讨模型内因素对整个深度学习神经网络的影响,并将结果进行比对。
第五章主要介绍了本次研究的结论,并提出对未来发展的展望。
1.3.2本文创新之处
本文以当前热门的深度学习理论为基础,研究了基于LSTM深度神经网络的船舶油耗预测,详细地介绍了循环神经网络(RNN)和LSTM神经网络原理,通过对影响油耗的航行因素做了系统的研究与分析,最终构建出一个较高精度的船舶油耗预测模型。
训练样本选取了船舶航行过程中与船舶油耗记录同时记录的船舶姿态、倾斜度和风浪等因素,通过对比其各个因素与船舶油耗的相关度提取出包括船舶纵倾,船侧风速,船舶吃水等7个因素,将这7类变量作为神经网络的输入量,通过一系列的模型优化以此来研究这7类输入特征对船舶油耗预测的精度影响。针对建模因素,分别改变神经网络节点数和学习率等参数,选择最佳的模型参数。
优化方面通过选取Adam和梯度下降的方法来探究不同的优化方法对模型精度的影响,并最终选取精度最高且最适合LSTM神经网络的方法。本文选用LSTM深度神经网络进行时间序列预测,并分析影响LSTM深度神经网络预测精度的因素,这与其他关于船舶油耗预测模型的方法不同。再通过对模型进行持续优化,预测精度得到提高。
第二章影响因素的介绍
2.1数据背景及船例
MS Smyril号是运营与法罗群岛首府托尔斯港(Torshavn)至苏德岛(Island Suduroy)航线的客滚轮,单程航行时间约1小时55分,每日往返两地2至3次。在下图中,显示了船只的外观和来往两地的路线,图中标注的路线1是该船的主要路线,而路线2则是某些恶劣天气下的替代线路[8]。


图2.1 MS Smyril号外观及航线
表2-1列出了MS Smyril的主要尺寸。本案例中这艘船动力是由四台柴油发动机提供,通过四台柴油发动机来带动两个螺旋桨,且此螺旋桨桨距可调。在正常的工况下这四台柴油发动机的转速是不变的,若要调速即通过改变螺旋桨的桨距来实现。 柴油发动机的动力通过齿轮箱连接到轴带发动机。船舶电站的电力是由四台船舶辅机和主机附属的轴带发动机提供。 表2.1展示了船舶的具体基本信息[6]。
表2.1 MS Smyril号主尺度参数
总长 | 135m |
型宽 | 22.7m |
型深 | 8.1m |
设计吃水 | 5.6m |
设计航速 | 21kn |
主机功率 | 3360kw*4台 |
辅机功率 | 515kw*4台 |
IMO编号 | 9275218 |
下图是整船的电力系统框图[6]:

图2.2 MS Smyril号电力系统框图
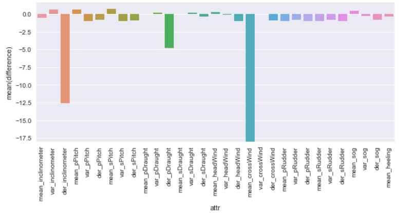
2.2影响因素
通常在船舶运营过程中有许多因素会影响船舶的油耗,各个因素对船舶油耗影响的权重是不同的,如图所示为截取一段时间内各个因素对船舶油耗的影响大小:

图2.3 船舶各项数据对油耗的影响
以上是毕业论文大纲或资料介绍,该课题完整毕业论文、开题报告、任务书、程序设计、图纸设计等资料请添加微信获取,微信号:bysjorg。
相关图片展示:









