微泡气浮技术处理含油废水的试验及机理研究毕业论文
2020-02-17 23:34:20
摘 要
如何改善水体污染,一直是一个非常复杂的环境问题,长期以来,石油的开采和加工行业与其他行业在日常生产中产生的含油废水,是造成水体污染的一个重要原因,并且由于含油废水处理困难,因此如何解决含油污水问题,就成为了目前水污染治理的一个重点方向。气浮可以使含油废水中有机物含量明显降低;聚丙烯酰胺在絮凝方面有着良好的絮凝效果,通过絮凝试验,絮凝后的含油废水出现明显絮团,滤液在气浮之后测得的有机物含量明显降低,气浮能耗低、污染少,并且能够处理大部分无法用重力分离的悬浮颗粒,气浮净水技术对污水处理、水质净化和可持续化的水资源利用发挥了重要的作用。
针对含油废水容易乳化、降解困难的特点,采用混凝微泡处理,观察不同操作条件下含油废水有机含量减少量,最后根据实验结果研究实验环境对混凝的影响,得出在混凝时间为30min,混凝剂用量为1g/L,温度为25℃的条件下混凝,油污去除量可达800mg/L.,并探究混凝的机理。在微泡气浮实验中,探究影响气浮效果的实验因素,得出在气浮时间为20min,进气量为0.4Mpa,pH值为8的实验条件下进行微泡气浮,出水化学需氧量(COD)浓度可降低至40mg/L。
关键字:微泡浮选;含油废水;脱油率;混凝
Abstract
How to improve the water pollution has always been a very complicated environmental problem. For a long time, the oily wastewater produced in the daily production of oil extraction and processing industries and other industries is an important cause of water pollution. Moreover, due to the difficulty in treating oily wastewater, how to solve the oily wastewater problem has become a key direction of water pollution control at present. Air floatation can obviously reduce the content of organic matters in oily wastewater. Polyacrylamide has a good flocculation effect in flocculation. Flocculation tests show that the flocculated oily wastewater has obvious flocs. The organic matter content measured by filtrate after air flotation is significantly reduced. Air flotation has low energy consumption and less pollution, and can treat most suspended particles that cannot be separated by gravity. Air flotation water purification technology plays an important role in sewage treatment, water quality purification and sustainable water resource utilization .
According to the characteristics that oily wastewater is easy to emulsify and difficult to degrade, coagulation microbubbles are used to observe the reduction of organic content in oily wastewater under different operating conditions. Finally, according to the experimental results, the influence of experimental environment on coagulation is studied. It is concluded that under the conditions of coagulation time of 30 min, coagulant dosage of 1 g/L and temperature of 25 ℃, the removal of oil stain can reach 800 mg/L. The mechanism of coagulation is explored. In the microbubble flotation experiment, the experimental factors affecting the flotation effect were explored. It was concluded that the COD concentration of effluent could be reduced to 40 mg/L when microbubble flotation was carried out under the experimental conditions of air flotation time of 20 min, air intake of 0.4 Mpa and pH of 8.
Keyword:Microbubble flotation; Oily wastewater; De-oiling rate; Coagulation
.
目录
摘要 Ⅰ
Abstract Ⅱ
目录 Ш
第一章 绪论 1
1.1含油废水的来源、性质、危害 1
1.1.1含油废水的来源 1
1.1.2含油废水的性质 1
1.1.3含油废水的危害 2
1.2含油废水处理的一般技术 2
1.2.1絮凝法 2
1.2.2生化法 2
1.2.3膜分离法 3
1.2.4重力分离法 3
1.2.5电化学法 3
1.2.6高级氧化法 3
1.2.7气浮法 4
1.3本课题提出的研究意义 4
第二章 实验方法 5
2.1仪器与药剂 5
2.1.1实验药剂 5
2.1.2实验仪器 6
2.1.3含油废水与部分试剂的制备 6
2.2实验方法 6
2.2.1混凝法 6
2.2.2微泡气浮法 7
2.3 COD的测定方法 7
2.3.1 COD测定原理 7
2.3.2 COD测定方法 8
第三章 COD去除量的多因素分析 10
3.1混凝法去除COD的多因素影响 10
3.1.1混凝剂同比实验 10
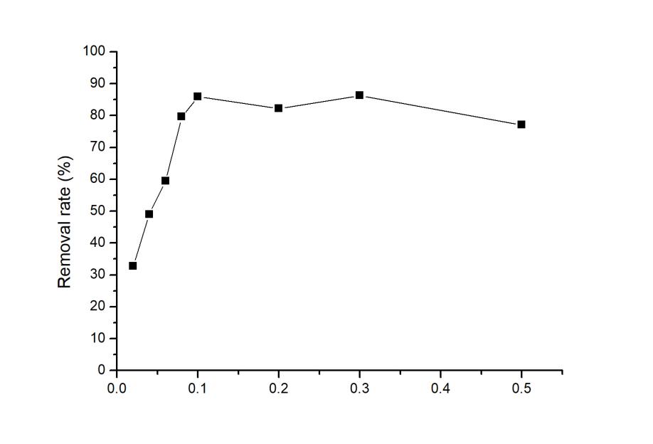
3.1.2混凝剂的用量对COD去除率的影响 11
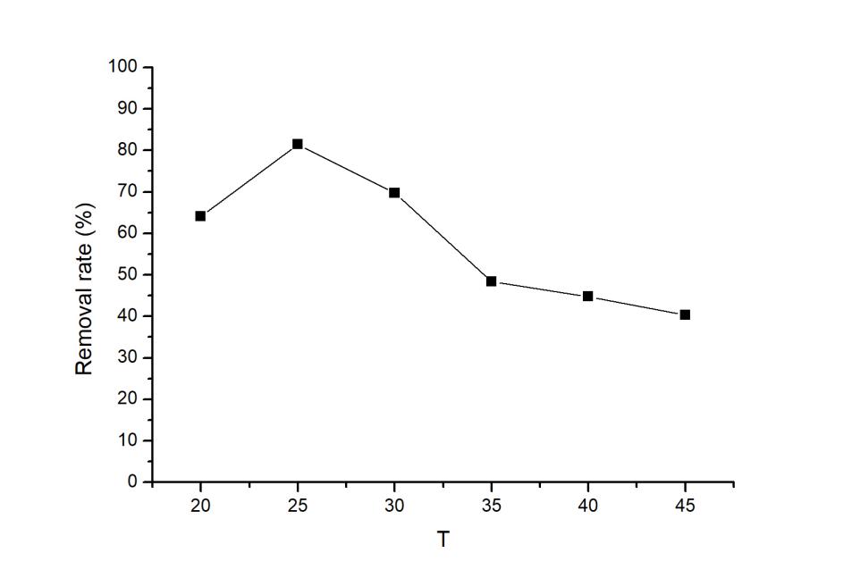
3.1.3温度对COD去除率的影响 12
3.1.4 pH值对COD去除率的影响 13
3.1.5混凝时间对COD去除率的影响 14
3.2微泡气浮法去除COD 15
3.2.1气浮时间对COD去除率的影响 16
3.2.2进气量对COD去除率的影响 17
3.2.3 pH值对COD去除率的影响 18
第四章 混凝-气浮去除COD的机理研究 20
4.1混凝的机理研究 20
4.1.1双电层压缩机理 20
4.1.2吸附电中和作用机理 20
4.1.3吸附架桥作用机理 21
4.1.4沉淀物网捕机理 21
4.2气浮的机理研究 22
4.2.1气泡产生 22
4.2.2气泡与颗粒的附着 22
4.2.3上浮分离 24
第五章 结论 25
参考文献 26
致谢 28
第一章 绪论
1.1含油废水的来源、性质、危害
1.1.1含油废水的来源
当今,随着科学技术的持续发展,石油在越来越多的地方发挥着重要作用,含油废水的来源也越来越广,在此同时,由于净水处理技术的落后、环境保护意识的缺乏和缺少有关部门的有效监督,使得大量未经处理的含油废水被直接排入水体,破坏了我们的生活环境,影响了身体健康,含油废水的来源是多种多样的,其中矿物原油的开发和加工行业是含油废水的主要来源,其次车辆清洗行业产生的废水、金属加工行业产生的乳化含油废水、食品加工业排放的废水和日常生活产生的含油废水也是水污染的重要原因。据有关调查显示,每年人类会向水体排放5×106-10×106 t含油污染物[1]。
1.1.2含油废水的性质
在含油废水中,污染物以为油质、固体颗粒悬浮物、细菌以及有机化合物为主,还有部分含油废水含有对人体有害的元素,如砷,铬等。它有以下特点:油水密度差值较小,一般油类物质的密度小于1.0 g/mL;含油废水中固体悬浮物较多,颗粒粒径较小;含有大量的细菌;有很高的机物含量和矿化度。
由于含油废水的来源是各不相同的,所以含油废水的种类和性质有很大的差异性,对于存在状态的和的产生途径的差异,含油废水可以分为四个类别:浮油,溶解油,乳化油和分散油[2]。
浮油:油滴具有大的分散颗粒,通常大于100 um,静置能够较快的上浮,比较容易从含油废水中分离出来。
乳化油:在乳化油中,油珠通常是不稳定的,容易被影响。油滴大小通常在0.1到2 um之间,一般小于10 um,粒径越小,越有利于稳定乳化油,当加入乳化剂时,可以使油珠形成稳定乳化状的液体。水体的性质以及油珠的分散度对乳化油的稳定性有很大的影响[3]。
溶解油:油以分子状态或化学方式分散于水体,由于溶于水的缘故,能够形成稳定的均相体系,油滴粒径一般小于微米,比乳化油还要小。
分散油:油滴粒径一般在10-100 um,针对分散油的不稳定性,可以在静置之后形成的浮油利用过滤除去。
1.1.3含油废水的危害
由于含油废水的产生途径各不相同,所以不同的含油废水具有不同的性质。通常而言,含油废水中可以存在数十到数千毫克/升的有机物,有的甚至可以达数万毫克/升。而含油废水中的油的类别可分为碳氢化合物、重油、人造油脂、润滑油和清洗用化合物等。由于水中油的形态易受到水体的特性、水中存在的其他化合物的影响,所以油在水中的形态是各种各样的。
通常而言,含油废水中有机物的含量是很高的,有明显区别于其他液体的颜色和气味,除了这些物理性质外,含油废水还具有可燃性,氧化性,难溶于水的化学性质。当未达标含油废水排入水中时,会产生严重的后果,如果被污染的水体表面形成的油膜厚度大于1微米时,大气与水体之间就会形成一层隔膜,影响大气圈与水圈之间的气体交换,阻碍大气循环,造成水中溶解氧减少,气味难闻和水质恶化的结果,从而使水中生物由于缺氧而死亡,并导致海产品变质而不可使用的严重后果[4]。海上鸟类体表被油脂覆盖,从会失去飞行功能,甚至造成鸟类死亡。当被油污污染的废水流入了农田,油脂和其产生的其他有机化合物会在土壤与空气之间形成油膜,如同隔离一般使空气难以透入土壤,让农作物有油味,可能会影响生物的正常代谢,导致土壤和微生物之间难以进行正常的生命物质交换,使植物缺乏所需元素,严重地影响了植物的生长,甚至会影响农作物的产量。此外,含油废水可能因为洋流作用,而转移到其他的小岛或临海地区,从而造成大规模的自然环境和社会环境危害。更主要的是,含油废水中含有一些重金属元素,如果处理不当,会被食物链底端的生物富集,然后通过食物链传递危害,间接地影响人体健康[5]。在含油废水中,在水体表面会形成一层油膜,由于粒径小,表面积大,在自然环境中,会有部分组成物质和分解物进入到大气中,严重污染了大气环境。
含油废水的处理与自然环境的安全稳定密切相关,同时也影响着人体健康和生存环境,含油废水治理是目前急需要解决的问题,对人类生存和可持续发展有重要意义。
1.2含油废水处理的一般技术
1.2.1絮凝法
利用絮凝法处理含油废水是常见的净水方法,对于处理乳化的含油废水,絮凝法更有针对性。其工作原理是,通过添加絮凝剂,使含油废水中的难溶悬浮物聚集起来,形成矾花,从而加快粒子的聚集沉降,实现去油的效果[6]。
1.2.2生化法
生化法主要借助微生物的新陈代谢作用和生物化学作用。油类是烃类有机物,可以被微生物通过生命活动降解为无机物[7]。生化法主要作用者是微生物,在微生物新陈代谢的同时,微生物可以将含油废水中的有机物一部分转化为微生物所需的的生命物质,一部分转化为无害的比较稳定的物质。生物化学方法主要包括生物滤池法、活性污泥法和生物转盘法。
1.2.3膜分离法
膜分离法,主要原理是通过半透膜阻碍油珠和表面活性剂穿过,利用悬浮物惯性碰撞、筛分、表面粘附,去除水中的油分,因此膜分离法又被称为膜过滤法。膜过滤法在处理乳化油和某些溶解油时效果突出。
1.2.4重力分离法
重力分离法是水体处理技术中最常见的,由于油滴和水体的密度有较大的差异,在水体中,油滴与水是难以相溶的,所以分散在水体中的油滴在静置或流动状态下可以实现油水分离,并缓慢上浮、分层,继而实现初级处理[8]。重力分离法处理含油废水时,能够处理很广的浓度范围,能够稳定的除去油和悬浮物,但处理后的水质效果不易达到废水排放标准,因此常被作为初级手段去处理浮油和部分易处理的分散油水。
1.2.5电化学法
电化学法的作用原理是,可溶性的阳极失去电子,阴极得到电子,在溶液中形成可吸附的絮团,能够有效除去含油废水中的油脂和固体悬浮物[9]。电化学法包括电解法和电泳法。其中电泳法对实现油-固分离具有很好的效果,在油珠表面上带有电荷,致使油珠可以在电场中定向移动,从而实现油水分离。电解法包括电解气浮法和电解凝聚法,电凝聚法可以通过电解含油废水中的乳化油,在可溶性的阳极失去电子时,溶解了的金属离子会发生水解反应,生成的氢氧化物可以吸附废水中的乳化油和溶解油,实现油-水分离。电气浮法则是相反,它主要借助于不溶性的电极,致使含油废水中的油脱稳,在电极和浮力的影响下,油珠吸附在气泡表面,上升至水面,通过重力除去[10]。
1.2.6高级氧化法
高级氧化法形成于上世纪80年代,主要通过反应产生强氧化性的羟基自由基,将有机为分解成二氧化碳、水和无害的小分子无机物。
1.2.7气浮法
气浮法是目前处理效果最好的水净化技术之一,在国内外处理含油废水方面,起到了很大的作用。它的作用原理是,先产生大量的微泡,然后将油珠通过碰撞作用吸附在气泡表面,在浮力作用下,用气泡把油珠和悬浮物带到水面,再通过其他简单的处理方法去除油脂,从而实现分离。微泡浮选具有很高效率,原因在于微泡的大部分组成是非极性分子,油珠使疏水性的,微泡能够比较容易的吸附油珠,能够提高上浮速度,所以气浮法有很高的处理效率[11]。它对处理分散油、乳化油和细小的悬浮物的效果更佳。
1.3本课题提出的研究意义
用常规处理技术净化废水时,不仅对水体的净化效果不佳而且占地面积大,对于日益发展的城市,用地难成为一个难题。现在,含油废水处理面临着可用地面积小、废水处理量越俩越多、出水水质要求越来越高的问题,气浮技术得到了长足的发展,它具有反应速度快、去油率高等优势。
我国是水资源匮乏的国家,人均淡水占有量仅为世界平均水准的四分之一。在社会高速发展之下,不论生活、农业还是工业,对水资源的用量和品质都有了跟高的要求,但与社会相伴的污染也日渐严重,可供使用的水资源越来越少[12]。在环境治理方面,我国投入大量的时间与人力,并取得了不错的成果,随着经验的累积和研究的深入,水体处理技术得到了不断地发展,气浮技术高效、低耗、成本低的优势使其在未来水处理技术的发展成为一个重要的方向。
在当今社会,资源是非常宝贵的, 只要技术到位,就能变废为宝,含油废水中含有很多对环境以及对人体有害的元素,可以利用有效的技术将有用元素提取出来,用于社会其他建设,减少大自然的资源负荷, 提高资源利用率,最大限度地利用水资源,实现有效的资源利用,让资源最大限度地循环利用[13]。对于含油废水的处理技术的探索,是目前环保的重要部分, 同时也是促进我国全面发展的一部分。不论是从人类自身生存和发展的角度上来说,还是从整体自然生态环境的保护角度出发, 都需要进一步研究含油废水处理技术。
第二章 实验方法
2.1仪器与药剂
2.1.1实验药剂
表2.1 实验药剂
编号  | 试剂名称  | 化学式  | 纯度  | 生产厂家  | 备注  | ||
-  | 邻苯二甲酸氢钾(AR)  | C8H6O4  | 分析纯  | 国药集团化学试剂有限公司  | -  | ||
-  | 重铬酸钾(AR)  | K2Cr2O7(s)  | 分析纯  | 天津市北联精细化学品开发有限公司  | -  | ||
-  | 硫酸银(AR)  | Ag2SO4(s)  | 分析纯  | 天津东聚隆化工技术开发有限公司  | -  | ||
-  | 硫酸汞(AR)  | HgSO4(s)  | 分析纯  | 天津市北联精细化学品开发有限公司  | -  | ||
-  | 氢氧化钠  | NaOH  | 分析纯  | 国药集团化学试剂有限公司  | -  | ||
-  | 盐酸  | HCL  | 分析纯  | 国药集团化学试剂有限公司  | -  | ||
1  | 聚合氯化铝(AR)  | AL2CLn(OH)6-n  | 分析纯  | 天津市大茂化学试剂厂  | -  | ||
2  | 聚丙烯酰胺(AR)  | C2n 1H2n 2NO  | 分析纯  | 湖南湘中化学试剂有限公司  | -  | ||
3  | 聚丙烯酰胺(AR)  | C2n 1H2n 2NO  | 分析纯  | 北京恒聚化工集团有限责任公司  | HengfLoc60712  | ||
4  | 聚丙烯酰胺(AR)  | C2n 1H2n 2NO  | 分析纯  | 北京恒聚化工集团有限责任公司  | HengfLoc61414  | ||
5  | 聚丙烯酰胺(AR)  | C2n 1H2n 2NO  | 分析纯  | 北京恒聚化工集团有限责任公司  | HengfLoc62020  | ||
6  | 聚丙烯酰胺(AR)  | C2n 1H2n 2NO  | 分析纯  | 北京恒聚化工集团有限责任公司  | HengfLoc62716  | ||
7  | 聚丙烯酰胺(AR)  | C2n 1H2n 2NO  | 分析纯  | 北京恒聚化工集团有限责任公司  | HengfLoc62718  | ||
8  | 聚丙烯酰胺(AR)  | C2n 1H2n 2NO  | 分析纯  | 北京恒聚化工集团有限责任公司  | HengfLoc70008  | ||
9  | 聚丙烯酰胺(AR)  | C2n 1H2n 2NO  | 分析纯  | 北京恒聚化工集团有限责任公司  | HengfLoc70010  | ||
10  | 聚丙烯酰胺(AR)  | C2n 1H2n 2NO  | 分析纯  | 北京恒聚化工集团有限责任公司  | HengfLoc85610  | ||
2.1.2实验仪器
表2.2 实验仪器
仪器设备名称  | 型号  | 生产厂家  | 
电子天平  | FA2004  | 上海舜宇恒平科学仪器有限公司  | 
超声波清洗器  | KQ2200B  | 昆山市超声仪器有限公司  | 
分光光度仪  | HACH-DR 3900  | 凯镒(厦门)机械有限公司  | 
消解仪  | HACH-DRB 200  | 上海鑫嵩实业有限公司  | 
超微米气泡发生装置  | XZCP-K  | 云南夏之春环保科技有限公司  | 
恒温干燥箱  | PH030J  | 上海实验仪器总厂  | 
2.1.3含油废水与部分试剂的制备
称取10 g的92#汽油,加入到含有100 mL纯水的烧杯中,加入少量乳化剂,使用磁力搅拌器高速搅拌30 min,然后定容至10 L,获得浓度约为1000 mg/L的模拟废水,用时稀释。
称取0.4251 g邻苯二甲酸氢钾,溶于水中,定容至100 mL,作为常备标准使用液,使用时稀释10倍使用。
以上是毕业论文大纲或资料介绍,该课题完整毕业论文、开题报告、任务书、程序设计、图纸设计等资料请添加微信获取,微信号:bysjorg。
相关图片展示:








        
            
