网上教学资源共享系统毕业论文
2020-05-21 22:14:44
摘 要
网上资源共享系统的实现分两部分:后台实现主要基于当下较为流行的java框架中的Spirng Springmvc SpingJDBC。前台使用普通的HTML JS CSS来编写前台界面。在日常学习生活中,往往会遇到这样的场景:每堂课结束,学生带着自己的移动硬盘去找代课老师寻求不同类型的课程资源。而这正是网上教学资源共享系统要解决的。系统将将各种教学资源分类,分类为教学文章,教学视频,音乐鉴赏、其他。老师和同学可以通过登陆这个系统获得所需要的教学资源。用户登录系统后可以在各个模块下发表投稿,该投稿进过管理员审批后,就可以在相应模块显示。其他用户就能搜索并查阅。该系统可以有效的解决资源共享的问题。同时该系统也是同学老师发表自己观点和看法,人与人之间交流的一个地方。
关键词: 教学资源 投稿 文章 系统设计 功能模块
Online teaching resource sharing system
Abstract
Achieve online resource sharing system in two parts: the background to achieve is mainly based on the current more popular java framework Spirng Springmvc SpingJDBC. Foreground using normal HTML JS CSS to write front interface.In the daily study and life, often encounter such a scene: at the end of each class, students with their own mobile hard disk drives to find a substitute teacher for different types of curriculum resources. And this is the online teaching resource sharing system to be solved. The system will be a variety of teaching resources, classification, classification for teaching articles, teaching videos, music appreciation, and other. Teachers and students can access the system to obtain the required teaching resources. After the user login system can be published in each module of the contribution, the submitted to the administrator for approval, you can display in the corresponding module. Other users will be able to search and access. The system can effectively solve the problem of resource sharing. At the same time, the system is also a student teacher to express their views and opinions, a place where people exchange.
Key Words: Teaching resources; Contribution; Passage; system design; function
目 录
目录
摘 要 I
Abstract II
目 录 III
第一章 绪 论 5
1.1 系统开发背景 5
1.2 课题研究的问题和方法 6
1.3 论文结构 6
第二章 涉及技术介绍 8
2.1 开源框架Spring 8
2.2 Springmvc 8
2.3 SpringJdbc 8
2.4 HTML5 9
2.5 CSS3 9
2.6 前端框架Bootstrap 10
2.7 jquery 10
第三章 系统分析 11
3.1 需求分析 11
3.1.1 用户需求 11
3.1.2 系统需求 12
3.2 可行性分析 12
3.2.1 技术可行性分析 12
3.2.2 时间可行性分析 13
3.2.3 经济可行性分析 13
3.3 系统开发计划书 13
第四章 系统设计 14
4.1 系统结构 14
4.2 系统模块设计 15
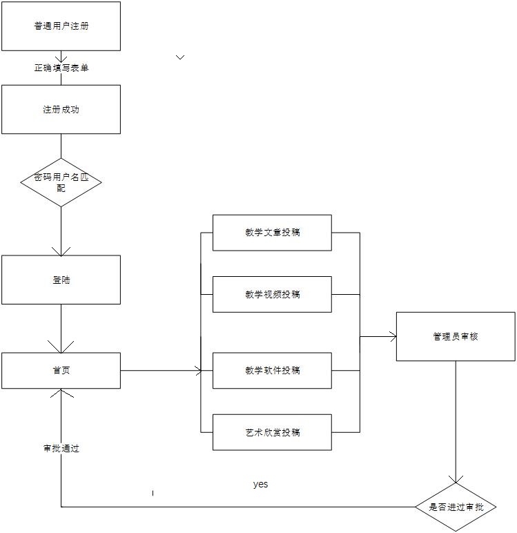
4.2.1 用户管理模块 15
4.2.2 用户投稿模块 16
4.2.3 管理员管理模块 16
4.3 环境搭建 18
4.4 数据库设计 20
第五章 详细功能设计 25
5.1 用户模块详细设计 25
5.1.1 用户模块前端页面设计 25
5.1.2 用户模块后端功能实现 32
5.2 投稿模块详细设计 34
5.2.1 投稿模块前端页面设计 34
5.2.2 用户模块后端功能实现 42
5.3 管理员审批模块详细设计 52
5.3.1 管理员模块前端页面设计 52
5.3.2 管理员模块后端功能实现 53
5.4 系统测试 56
第六章 结束语 58
参考文献 59
致谢 60
第一章 绪 论
1.1 系统开发背景
教学资源共享系统从面向的用户教师和学生来说,提供的最基础功能有两个:为教学资源共享,教学资源主要指上课的课件、在课堂上播放的视频、音乐鉴赏的内容等。也有可能是一款完成上机作业的软件。如果感兴趣或是其他的要求而需要这些内容,每个人上讲台去一个一个拷贝自然是费时费力的事。搭建一个这样的教学资源共享系统,学生可以在有网络连接的地方(如:图书馆、咖啡厅、宿舍)获取需要的内容,当然这仅是对于学生而言。对于教师而言,可以把课堂所需要的内容通过“投稿”或者是“分享”的功能将教学资源放置到某一个模块,上课需要演示部分内容的时候。打开这个模块就可以看到该条内容,从而解决准备资料的问题,这点尤其在音乐和视频短片方面体验会比较突出。
教学资源共享系统作为一个载体,是一个可以提供思想交流的地方,每个人可以发表独特的观点与见解。所表达的观点是可以被分享和讨论的,这一点将体现在文章板块。文章是一种简单表达个人思想和看法的简单媒体,相比视频,照片更有说服力和理性。每个人都可以参与进来,老师和学生都可以针对某个话题发表自己的看法。
同时该系统仅对学校用户开放,如何使已经走上社会的学生加强和母校的联系呢?这个系统某些模块部分的功能也仅仅是一个尝试。以求职为例,学生可以发表一个分类为工作的文章,且文章包涵求职信息。一般来说这些同专业流通信息,相比外界要更为真实和有效率。
相关图片展示:









