基于Spring MVC框架的BBS论坛网站的设计与实现毕业论文
2020-02-16 19:12:54
摘 要
在21世纪的今天,人们已经习惯于随时从网上获取信息或通过网络与别人交流。于是,BBS论坛作为一个具有便捷性、时效性的在线交流平台,便应运而生。从最初的文字公告,到现在的形式多种多样、内容涉及各行各业,随着网络的飞速发展,BBS论坛本身也是在人们的生活中扮演着越来越重要的角色。
本文讨论了在线BBS论坛系统的开发模式与步骤,研究基于SSM(Spring、Spring MVC、Mybatis)框架下的Web应用的设计与开发,并最终实现了浏览、发帖、评论、关注、收藏等基本的论坛功能。同时,本文对于软件系统开发的分析、设计、实现、测试等环节都进行了详细的论述。最终的研究结果以论文等文献的形式发布出去,为后来的研究者们提供资料与参考。
关键词:BBS;Spring MVC; Mybatis
Abstract
Today in the 21st century, people are used to getting information online or communicating with others online. As a result, the BBS Forum emerged as a convenient and time-sensitive online communication platform. From the initial text announcements to the present, there are many forms and contents covering all walks of life. With the rapid development of the network, the BBS Forum itself plays an increasingly important role in people#39;s lives.
This paper discusses the development mode and steps of the online BBS forum system, studies the design and development of web applications based on the SSM(Spring、Spring MVC、Mybatis) framework, and finally realizes the basic forum functions such as browsing, posting, commenting, and focusing on collections. At the same time, this paper discusses the analysis, design, implementation and testing of software system development in detail. The final research results were published in the form of papers and other literature, providing information and reference for later researchers.
Key Words:BBS;Spring MVC; Mybatis
目 录
第 1 章 绪论 1
1.1 研究背景 1
1.2 研究现状 1
1.3 论文主要工作 2
1.4 论文结构 2
第 2 章 系统分析 3
2.1 需求分析 3
2.1.1 功能性需求 3
2.1.2 非功能性需求 9
第 3 章 系统设计 10
3.1 架构设计 10
3.2 模块划分 10
3.2.1用户模块 11
3.2.2帖子模块 13
3.2.3管理员模块 17
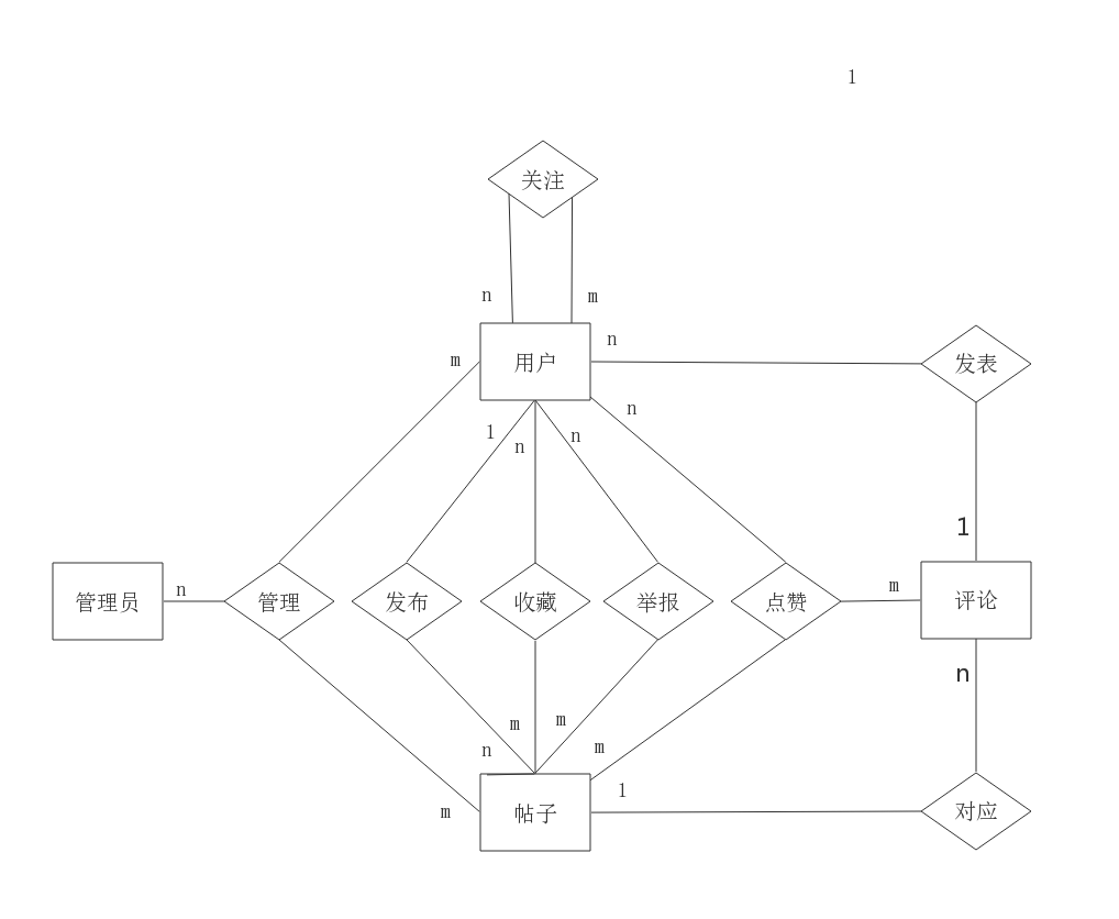
3.3 数据库设计 18
3.3.1 系统 E-R 图 18
3.3.2 系统物理表 21
第 4 章 系统实现 26
4.1 用户模块 26
4.2 帖子模块 34
4.4 部分扩展功能 43
第 5 章 系统测试 46
5.1 测试方法和测试环境 46
5.2 测试用例和测试结果 46
第 6 章 总结与展望 53
6.1 工作总结 53
6.2 工作展望 53
参考文献 54
致 谢 56
第 1 章 绪论
1.1 研究背景
人们经常会遇到各种专业的、非专业的问题,或者是一些有趣的故事,甚至是生活中的琐事,希望与朋友或陌生人一起分享、讨论。这时,BBS论坛就为用户提供了一个很好的平台,人们可以不限时间、不限地点的与别人交流。在论坛里,大家可以对自己看到的、听到的、想到的任何内容做出评价[1,2]。随着网络的飞速发展,BBS系统也跟着进入了千家万户,形式变得越来越丰富多彩,内容更是涉及人们生活、工作、学习的方方面面。 同时,该课题的研究对于本人也是有着重要的意义。
1.2 研究现状
早期的论坛系统只是用来发表公告信息,类似于学校和街头的公告板,形式也相当简单,多是一些文本信息,但随着个人计算机的普及,BBS也得到了很好的发展。目前,各行各业都有其论坛网站,同时论坛的功能和形式也越来越丰富,甚至很多商家也纷纷开发自己的BBS论坛,作为于顾客以及潜在顾客的交流渠道。现在全球最新的新闻基本可以通过各大BBS论坛及时获取,而且,在BBS上也可以方便的讨论各种感兴趣的和生活息息相关的话题,例如体育、音乐、购物、电影等[3,4]。
在BBS论坛网站的开发方面,国内外的BBS系统网站大多基于Java来进行开发,就企业级开发来说,可供选择的Java Web开发框架有好几种,不同的开发者要根据不同的需求及各种现实情况来选择某一种框架。比较常用的框架有SSH(Struts2、Spring、Hibernate),SSM(Spring、Spring MVC、Mybatis)以及越来越受欢迎的SpringBoot 和Mybatis的组合,另外还有各种流行的MVC框架,ORM框架,IOC框架等[5,6]。
在国内,目前比较热门的企业级开发框架主要是选用Spring配合其他技术开发,表现层的主流选择是Struts2和SpringMVC,而Struts2因为其自身存在的一些缺陷而逐渐被SpringMVC取代,但目前为止还是一个不错的选择。数据层可选用Hibernate、Mybatis以及与pring切合更好的SpringData[7-9]。Hibernate是一个全自动型的持久层ORM数据库框架,对数据库操作进行了完全的封装,复杂,高效,也很强大,但缺乏灵活性,所以越来越多的开发团队会选择另一个框架——Mybatis[10-12]。相比较于Hibernate,Mybatis事半自动的,但是轻量级的,它分装了一部分JDBC,但可以对直接对SQL语句进行优化等操作,上手也相对简单[13]。
1.3 论文主要工作
本文在综合分析国内外论坛发展的基础上,设计并实现了一个在线BBS论坛系统,主要完成的工作如下:
- 通过对国内外BBS发展状况的分析和研究,并结合人们生活学习中的具体需求,确立BBS论坛的业务功能上的需求,并给出相应的图表和文档。
- 结合时下Web开发技术,并考虑业务需求和各种现实情况,完成对于开发模式和技术方案的选择。并最总选择采用MVC模式下的SSM框架。
- 对系统实现进行仔细的分析与设计,分步骤、分模块的完成整个系统的开发,并进行严密的测试。
1.4 论文结构
论文共分为六章,主要内容分别为:
第1章:绪论。简要介绍BBS论坛系统的研究背景、分析国内外研究现状,并叙述了本文工作和论文结构;
第2章:系统分析。分析系统功能需求和非功能需求;
第3章:系统设计。论述了系统的功能架构设计,划分出系统的模块,设计系统数据库给出了系统 E-R 图和物理表;
第4章:系统实现。简要阐述系统的实现过程,展示系统实现效果图和部分核心代码;
第5章:系统测试。对系统进行严密的测试,并对测试结果进行分析,证实系统的有效性和安全性,给出系统所用到的测试方法、测试用例和测试结果;
第6章:总结与展望。总结系统开发过程中所做的工作,并对未来的完善工作做出展望。
第 2 章 系统分析
2.1 需求分析
2.1.1 功能性需求
BBS论坛的用户分为普通用户和管理员。普通用户的功能是浏览帖子、发帖、评论、删帖等。此外,普通用户如果要发帖,还需要注册并处于登录状态。为了提升用户的使用体验,还要使用户能够检索特定内容的帖子、收藏感兴趣的帖子、举报违规的帖子和关注喜欢的用户,并可以修改自己的个人信息。管理员则负责管理所有的用户和帖子,他们可以对用户进行禁言和解禁,对帖子进行置顶操作,同时可以删除和恢复违规的帖子。综上,既要实现普通用户对自己的帖子和个人信息的管理,又要实现管理员对所有普通用户和所有帖子的管理,还要考虑到各个功能和模块间的协调合作,以完成BBS论坛系统的业务需求。
系统主要功能包括:
- 注册:新用户填写相应信息以获得系统的合法身份。
- 登录:使用注册的邮箱和密码登陆系统。
- 修改个人信息:已登录用户和管理员可以在个人中心修改自的个人信息。
- 浏览其他用户信息:用户在授权情况下可以访问其他用户的个人空间。
- 关注其他用户:已登录用户可以关注感兴趣的用户,关注过的用户可以在自己的个人空间查看。
- 发帖:已登录用户发布自己的帖子。
- 评论:已登录用户回复别人的帖子。
- 删帖:普通用户可以删除自己的帖子,管理员可以删除所有用户的帖子。
- 收藏:用户可以收藏别人的帖子,收藏过的帖子可以在个人空间查看。
- 置顶帖子:这是管理员的功能,管理员选择性置顶部分帖子,被置顶的帖子会被放在帖子列表的最前面显示。
- 禁言用户:该功能用来禁言有违规操作的用户,被禁言的用户不能发帖和评论。
系统用例图如图2-1所示。
图2-1 系统用例图
(1):登录
用户的登录、注册和修改个人信息用例十分相似,所以以登录用为例,并省略注册和修改个人信息用例。
表2.1 登录用例描述表
|
描述项目 |
说明 |
|
用例名称 |
登录 |
|
用例描述 |
用户登入系统以使用相应的功能 |
|
前置条件 |
|
|
后置条件 |
|
|
基本事件流 |
|
|
备用流 |
|
(2):搜索帖子
表2.2 搜索帖子用例描述表
|
描述项目 |
说明 |
|
用例名称 |
搜索帖子 |
|
用例描述 |
用户根据关键词搜索特定内容的帖子 |
|
前置条件 |
|
|
后置条件 |
|
|
基本事件流 |
|
|
备用流 |
没有搜索到相关的帖子,主页的帖子列表为空 |
(3)浏览其他用户信息
表2.3 浏览其他用户信息用例描述表
|
描述项目 |
说明 以上是毕业论文大纲或资料介绍,该课题完整毕业论文、开题报告、任务书、程序设计、图纸设计等资料请添加微信获取,微信号:bysjorg。 相关图片展示:
|







