年产10万吨的缬沙坦原料药的厂房设计毕业论文
2020-02-19 13:39:31
摘 要
缬沙坦是一种血管紧张素受体拮抗剂,可用于各种类型高血压,并对心脑肾有较好的保护作用。该药物是起到使血管紧张素Ⅱ的I型(AT1)受体封闭,血管紧张素Ⅱ血浆水平升高,刺激未封闭的AT2受体,同时抗衡AT1受体的作用,从而达到扩张血管降低血压的效果。是一种非常具有应用前景的治疗高血压症、充血性心力衰竭、后心肌梗塞的药物。
本设计主要根据缬沙坦的国内外生产现状以及其原料药的需求,在查阅相关文献报道之后选择比较合适的缬沙坦生产工艺路线,对生产工艺每个工段进行物料衡算、能量衡算,然后通过计算选取适当的反应设备,再按照GMP标准严格的进行生产车间的设计,包括水汽系统设计、消防系统设计、设备布置、管道布置等。
关键词:缬沙坦;工艺设计;车间;合成路线
Abstract
Valsartan is an angiotensin receptor antagonist that can be used in various types of hypertension and has a good protective effect on heart, brain and kidney.This drug is used to block the angiotensin II type I (AT1) receptor, increase the plasma level of angiotensin II, stimulate the unblocked AT2 receptor, and simultaneously counteract the AT1 receptor, thereby achieving dilated blood vessel reduction. The effect of blood pressure.It is a very promising drug for the treatment of hypertension, congestive heart failure, and post-myocardial infarction.
This design is mainly based on the domestic and international production status of valsartan and the demand of its raw materials. After consulting relevant literature reports, we choose the appropriate valsartan production process route, and carry out material balance and energy balance for each section of the production process. Then, through calculation, select appropriate reaction equipment, and then strictly design the production workshop according to GMP standards, including water vapor system design, fire protection system design, equipment layout, pipeline layout and so on.
Key words: valsartan; process design; workshop; synthetic route
目录
第1章 绪论 1
1.1设计背景 1
1.2缬沙坦简介 1
1.2.1 产品名称 1
1.2.2 分子式、化学结构式及分子量 1
1.2.3 理化性质 2
1.2.4药理作用 2
1.2.5药代动力学 2
1.3 设计简介 3
1.3.1 设计指导思想 3
1.3.2 设计依据 3
第2章 缬沙坦的合成工艺选择 4
2.1合成工艺路线 4
2.1.1 先d后a的合成路线 4
2.1.2 先a后d的合成路线 5
2.1.3 先c后ad的方法 5
2.2 工艺流程图 6
第3章 物料衡算 9
3.1物料衡算的目的 9
3.2物料衡算的依据 9
3.3工艺收率及原料参数 9
3.3.1年产量及工作日 9
3.3.2原料参数及收率 9
3.4物料衡算 10
第4章 能量衡算 12
4.1能量衡算的目的及依据 12
4.2物性数据计算 12
4.3能量衡算 16
4.3.1氢化还原工段第一步 16
4.3.2氢化还原第二步 17
4.3.3氢化还原第三步 18
第5章 设备选型 20
5.1设备选型的目的 20
5.2设备选型的依据 20
5.3反应釜的选型 20
5.3.1氢化还原釜的选型 20
5.3.2浓缩釜的选型 20
5.3.3提取釜 21
5.3.4乙酸乙酯蒸馏釜的选型 21
5.3.5精制反应罐 22
5.3.6结晶釜 22
5.3.7丙酮蒸馏釜的选择 22
5.3.8冷凝器的选型 23
第6章 车间布置和管道设计 25
6.1车间布置 25
6.1.1车间布置的规范和内容 25
6.1.2车间的总体布置 25
6.1.3设备平面布置的基本要求 26
6.2管道设计 27
6.2.1主管设计原则 27
6.2.2管径的计算 28
第7章 非工艺设计 29
7.1安全防范 29
7.1.1防火防爆 29
7.1.2防尘设计 29
7.1.3电气方案 29
7.2采光与照明 29
7.3“三废”及其处理 29
7.3.1采用的环保标准 29
7.3.2 三废的处理 30
7.4噪声处理 30
总结 31
参考文献 32
致谢 33
第1章 绪论
1.1设计背景
高血压是最常见的额心血管疾病之一,同时也是全球范围内的重大公共卫生问题。而治疗高血压的目的不是仅仅在于降压,其更重要的是减少心脑血管病的发病率以及死亡率。根据国家卫计委的统计报告,在中国,18岁以上的成年人中,高血压换患者超过3.3亿人,血压在正常高值的人数超过3亿,更有甚者有6亿以上的人血压处于“不理想”状态。在目前高血压患者人数呈现逐年增长的情况下,开发用于治疗高血压的新型药物是非常有必要的[1]。
缬沙坦是一种血管紧张素Ⅱ型受体拮抗剂,该药物是起到使血管紧张素Ⅱ的I型(AT1)受体封闭,血管紧张素Ⅱ血浆水平升高,刺激未封闭的AT2受体,同时抗衡AT1受体的作用,从而达到扩张血管降低血压的效果。在世界范围内,缬沙坦是一款用于治疗高血压症、充血性心力衰竭、后心肌梗塞的药物,具有很好的很广泛的应用前景。而随着我国高血压患者人数的不断增加,对这一药物的需求也日益增大。所以我们将设计一条绿色经济的合成路线,对缬沙坦的合成工艺及其工业化进行研究,完成设计。
1.2缬沙坦简介
1.2.1产品名称
中文名:缬沙坦
中文拼音名称:Xie Sha Tan
别名:丙戊沙坦
英文名:Valsartan
CAS号:137862-53-4
化学名称:N-戊酰基-N-[[2'-(1H-四氮唑-5-基)[1,1'-联苯]-4-基]甲基]-L-缬氨酸
1.2.2 分子式、化学结构式及分子量[2]
分子式:C24H29N5O3
分子量:435.52
化学结构式:

1.2.3 理化性质
本品为白色结晶或白色、类白色粉末;有吸湿性。在乙醇中极易溶解,在甲醇中易溶,在乙酸乙酯中略溶,在水中几乎不溶。比旋度为-64.0°至-69.0°;酸度通过测定 pH 来确定,pH 值应为3.0至4.5;保持一定的干燥程度,在60℃减压程度下,用五氧化二磷干燥至恒重,减湿重量不得超过 1.5%;重金属含量需达标,含重金属不得超过20%。(《中国药典 2010 年版二部》P1136)。
1.2.4药理作用
缬沙坦是一种口服有效的特异性的血管紧张素Ⅱ(AT1)受体提起拮抗剂,它选择性地作用于 AT1 受体亚型,阻断 AngⅡ与 AT1 受体的结合(其特异性拮抗 AT1 受体的作用大于 AT2 受体约 20,000 倍),从而抑制血管收缩和醛固酮的释放,产生降压作用[3]。该品不作用于血管紧张素转换酶(ACE)、肾素和其它受体,不抑制与血压和钠平衡有关的离子通道;该品对血管紧张素转换酶没有抑制作用,不影响体内缓激肽水平,因而导致咳嗽的副作用少于血管紧张素转换酶抑制剂。缬沙坦降低升高的血压,同时不影响心律。对大多数患者,单剂口服 2h内产生降压效果,4-6h 达作用高峰,降压效果维持至服药后 24h 以上,治疗 2-4周后达最大降压疗效,并在长期治疗期间保持疗效。与噻嗪类利尿剂合用可进一步增强降压效果。突然终止缬沙坦治疗,不引起高血压“反跳”或其他副作用。缬沙坦不影响高血压患者的总胆固醇、甘油三酯、血糖和尿酸水平。
1.2.5药代动力学
为非前体药,不需要经过肝脏的生物转化而直接具有药理活性。口服吸收快,进食影响其吸收,生物利用度为25%,与血浆蛋白结合率为95%。药物起效快,作用强,口服后2h血药浓度达峰值,作用持续24h以上。半衰期为5~9h,以原形经胆道(70%)及肾脏(30%)排出[4]。
1.3 设计简介
1.3.1 设计指导思想
- 所有车间设计和卫生安全必须符合国家相关设计规范。
 - 尽最大可能选择一条绿色经济的生产路线。
 - 从实际出发,结合选址地区的环境和自然条件,合理布置空间。
 
1.3.2 设计依据
- 武汉理工大学制药工程专业课程设计任务书;
 - 《中华人民共和国药典》(2015);
 - 城市建设和用地规划要求;
 - 《建筑设计防火规范》GB50016-2006;
 - 《化工装置设备布置设计规定》HG20546-92;
 - 《环境空气质量标准》GB3095-1996;
 - 《污水综合排放标准》GB8978-1996;
 - 《工业三废排放执行标准》GBJ4-73;
 - 《建筑结构设计统一标准》GB50068-2001;
 - 《工业企业设计卫生标准》TJ36-79;
 - 《医药工业洁净厂房设计规范》GB50457-2008;
 - 《工业企业总平面设计规范》GB50187-93;
 - 《化工工艺设计手册》(第四版)。
 
第2章 缬沙坦的合成工艺选择
2.1合成工艺路线
缬沙坦的结构如下,其结构主要由四个砌块构成,根据逆合成分析,可以在图示的 a、b、c、d 四处进行切断。按照不同的切断顺序可以将文献报道的所有合成路线分成三类(由于砌块B 的引入对路线的影响不是很大,故切断 b 不作为分类依据):先d后a,先a后d,先c后ad。以下是几中具有代表性的合成缬沙坦的不同方法[5]。

2.1.1 先d后a的合成路线

该路线是最先报道合成缬沙坦的方法,以 2’-氰基-4-甲酰基联苯为原料,与 L-缬氨酸苄酯的对甲苯磺酸盐经还原胺化反应,正戊酰化反应,成四氮唑,去保护得缬沙坦。该方法的主要缺点是在倒数第二步需要应用剧毒的三正丁基叠氮化锡,这是第一点;第二点是碱性条件下的水反应会造成缬沙坦的外消旋化,缬沙坦的收率和纯度会降低许多。
2.1.2 先a后d的合成路线

该路线是根据先d后a路线存在的问题,将联苯结构与缬氨酸的结合放在了最后一步。这一方法的缺点是原料成本较高,提纯困难。
2.1.3 先c后ad的方法
该合成路线是分别合成四氮唑取代的苯环片段和缬氨酸取代的苯环片段,再借助金属催化的交叉偶联反应得到联苯结构。这种方法的优点是极大地降低了原料成本,减少了易爆物质的使用,并且显著地提高了反应的总收率[6]。反应过程如下:
    
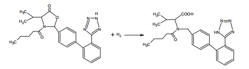
本设计是在路线三的基础上选择市售的N-正戊酰基缬氨酸甲酯为起始原料,经加氢还原、精制制得。该路线目标明确,步骤较短,适合工业化大生产。氢化还原反应,反应方程式如下:

2.2 工艺流程图[7]


第3章 物料衡算
3.1物料衡算的目的
前面我们研究了工艺流程,并给出了流程框图,可以定性展示整个生产过程中原料需要经过哪些设备。但流程图并没有给出定量的概念,即物料的数量、组分等等。
物料衡算可以说是工艺设计的根本。在确认了投入物料量、组分、设备数量以及规格和材质等各种因素之后,才能够进行下一步的能量衡算以及设备选型。因此具有极其重要的意义。
3.2物料衡算的依据
物料衡算本质上是质量衡算,因此遵循的依据是质量守恒定律。根据工艺流程图设定控制体进行计算。本设计中的化工过程均属间歇操作过程,其计算基准是将车间所处理的各种物料量折算成以天数计的平均值,从起始原料的投入到最终成品的产出,按天数平均值计将恒定不变。由设计任务规定产品年产量及年工作日,计算出产品的平均日产量,日产量确定后,再根据总收率可以折算出起始原料的日投料量,以此为基础就完成车间物料衡算[8]。根据质量守恒定律,有以下衡算方程总式:

式中:
ΣGI——输入体系的总物料量;
ΣGO——输出体系的总物料量;
ΣGA——物料在体系中的总累积量。
由于本设计为稳态过程,在各工序中的累积可以忽略不计,因此上式可以简化为

3.3工艺收率及原料参数
3.3.1年产量及工作日
表3.1 年产量及工作日
年产量(kg)  | 工作日  | 生产方式  | 理论日产缬沙坦(kg)  | 
100,000  | 300天  | 间歇生产  | 333.33  | 
3.3.2原料参数及收率
表3.2 原辅料参数
单元名称  | 收率  | 原辅料  | 纯品分子量  | 投料比  | 
|---|---|---|---|---|
氢化还原  | 0.99  | N-正戊酰基缬氨酸甲酯  | 433.56  | 1  | 
醋酸异丁酯  | 116.15  | 4  | ||
5%Pd-C  | 0.01  | |||
氢气  | 2.02  | |||
压滤  | 0.98  | |||
减压蒸馏  | 1  | |||
萃取分液  | 0.99  | 乙酸乙酯  | 88.12  | 3.5  | 
纯化水  | 18.02  | 1  | ||
减压浓缩  | 1  | |||
结晶  | 0.98  | |||
离心  | 0.98  | |||
干燥  | 0.998  | 缬沙坦粗品  | 435.58  | 1  | 
丙酮  | 58.08  | 4  | ||
活性炭  | 12.01  | 0.1  | 
氢化还原工段收率=0.99×0.98×1×0.99×1×0.98×0.98×0.998×100%=92%
3.4物料衡算

        
            
