年产200吨维生素B6的车间工艺设计毕业论文
2020-02-19 13:39:28
摘 要
维生素B6是一种对人体健康非常重要的营养元素,在临床上的应用非常广泛。维生素B6的合成路线有很多,在工业上,生产维生素B6普遍采用的方法是噁唑法。噁唑法反应的原材料为4-甲基-5-乙氧基噁唑和2-正丙基-4,7-二氢-1,3-二氧七环,通过三步反应制得目的产物维生素B6,这个方法与以往的工艺相比起来,步骤简单、操作方便,而且在降低成本的前提下,使总收率大有提高,故非常适合大规模工业化生产。本次设计是对年产200吨维生素B6的车间工艺设计,在合成方法上在工业上常用的方法地基础上进行改进,通过计算结果队车间设备的选择和布置,完成车间工人的安排并规划对三废的处理,实现整个生产工艺的良性循环。
关键词:维生素B6;车间工艺;噁唑法;工艺改进
Abstract
Vitamin B6 is a very important nutrient element for human health, which is widely used in clinic. There are many synthetic routes of vitamin B6. In industry, oxazole method is commonly used to produce vitamin B6. Oxazole method reaction of raw materials for 4 - methyl - 5 - ethoxy oxazole and 2 - propyl - 4, 7 - dihydro - 1, 3 - two oxygen seven ring, through three steps reactions of objective product vitamin B6, this method is compared with the previous process, simple steps, easy to operate, and on the premise of cost reduction, make overall yield greatly improved, so it is very suitable for large-scale industrial production. This design is to the annual production of 200 tons of vitamin B6 workshop process design, in the synthesis method in the industry on the basis of common methods to improve, through the results of the team workshop equipment selection and layout, complete the arrangement of workshop workers and planning the treatment of three wastes, to achieve a virtuous cycle of the whole production process.
Key words: vitamin B6; Workshop technology; Oxazole method; Process improvement
目录
第一章 绪论 ................................................................1
1.1 概述................................................................1
1.1.1 名称..........................................................1
1.1.2 化学结构......................................................1
1.1.3 理化性质......................................................1
1.2 质量标准、临床用途..................................................1
1.2.1 质量标准......................................................1
1.2.2 临床应用......................................................2
1.2.3 包装规格与贮藏要求............................................2
第二章 设计根据.............................................................3
2.1 设计条件............................................................3
第三章 生产工艺流程.........................................................4
3.1 工艺路线论证........................................................4
3.2 生产工艺流程概述....................................................4
3.3 工艺流程设计........................................................5
第四章 物料衡算.............................................................6
4.1 生产要求............................................................6
4.2 计算要求............................................................6
4.3 投料要求............................................................6
4.4 工艺时间安排........................................................6
4.5 物料计算............................................................7
4.5.1 加成反应物料衡算..............................................7
4.5.2 芳构反应物料衡算..............................................7
4.5.3 水解反应物料衡算..............................................7
第五章 热量衡算 ............................................................9
5.1 热量平衡方程式......................................................9
5.2 物料热量的计算......................................................9
5.3 化学反应热的计算...................................................10
5.3.1 标准燃烧热的计算.............................................10
5.3.2 状态变化热的计算.............................................10
5.4 设备能量的计算.....................................................12
5.5 每步反应的能量衡算.................................................13
5.5.1 加成反应能量衡算.............................................13
5.5.2 芳构反应能量衡算.............................................14
5.5.3 水解反应能量衡算.............................................15
第六章 设备选型............................................................17
第七章 生产车间布置........................................................22
第八章 车间工作要求........................................................24
8.1 车间人员安排.......................................................24
8.2 生产过程中的反应条件控制...........................................24
8.3 原材料的规格.......................................................25
第九章 安全生产与三废处理..................................................26
9.1 安全隐患与注意事项.................................................26
9.2 三废处理...........................................................27
第十章 小结与体会..........................................................29
参考文献...................................................................30
1绪论
1.1概述
1.1.1产品名称
药品名称:维生素B6或VitaminB6
化学名称:6-甲基-5-羟基-3,4-吡啶二甲醇盐酸盐
别名:吡哆素或吡多辛
相对分子质量:205.64
1.1.2化学结构式

分子式:C₈H₁₁O₃N·HCl
1.1.3理化性质
维生素B6为白色或类白色结晶或结晶状粉末,无异味,味微苦,不耐高温,遇光性状会发生改变,熔点在205-209℃左右,易溶于水,微溶于乙醇和丙酮,不溶于乙醚或三氯甲烷。在酸性液体中较为稳定,但在碱液中容易被破坏。
1.2质量标准、临床用途
1.2.1质量标准
根据药典要求,本品质量有以下标准:
含量:按干燥的晶体计算,本品纯度应大于98%;
外观:本品为白色或类白色结晶或结晶性粉末;
酸度:在1g/20ml的水溶液中,PH值应在2.4-3之间;
干燥失重:取本品进行105℃高温干燥直至重量不再改变,所减少的重量应≤0.5%;
灼烧残渣:残渣质量应小于原先的0.1%;
重金属含量:应≤10PPm;
1.2.2临床应用
维生素B6是氨基酸及脂肪酸的代谢中非常必须的物质,参与大量的酶反应,是人体代谢不可或缺的营养物质。除了参与人体正常代谢以外,维生素B6在临床应用中有着广泛的新用途,可以治疗各种因为缺乏维生素B6引起的各种病症,例如抢救因服用异烟肼所引发的毒副作用,辅助预防恶性贫血,治疗白血球缺乏症,通过防止血栓形成而治疗动脉硬化等血液栓塞类的疾病等,对脱发、肝类病、辐射所引起的灼伤也有一定的疗效。同时,维生素B6在治疗脑炎所引发的后遗症及其它类型的帕金森综合症的用途上有着卓越的成就。除此之外,临床上还能应用维生素B6制剂防治妊娠呕吐和放射性呕吐,治疗妊娠型糖尿病,总而言之,维生素B6的应用范围相当广泛。
1.2.3包装规格与贮藏要求
标准 装量 | 包装 材料 | 包装规格 (单位:cm) | 要求 | 贮藏要求 |
25KG | 黄色圆形收口纸板桶 | 内部直径×外部高度×厚度37×47× 6层 | 1、外层牛皮纸袋袋口向内折叠,并将合格证放于桶内 2、内层使用聚乙烯袋装量,排气后应用热合封口,并用白纱带扎口 3、桶口穿铁丝铅封,桶外贴标签 4、室温下包装并检查装量 | 遮光防潮密封 |
透明圆底聚乙烯袋 | 内部直径×外部高度×厚度38×80×0.09 | |||
黄色圆底牛皮纸袋 | 内部直径×外部高度×纸袋重量38×80×60-80g |
2设计依据
2.1设计条件
工艺流程投料量表
名称 | 投料量(Kg) | 质量比 | 摩尔比 |
噁唑 | 166.67 | 1(基准) | 1(基准) |
正丙基七元环 | 2555.56 | 15.3333 | 13.98 |
盐酸 | 74.89 | 0.4993 | 1.60 |
乙醇 | 1205.78 | 7.2347 | 20.37 |
去离子水 | 1377.78 | 8.2667 | 59.51 |
设产品的年产量为200吨维生素B6,经查:在生产过程中,Diels-Alder加成反应过程的收率约为93%,芳构反应的收率约为98%,水解反应的收率约为99%。在此条件下,生产出的维生素B6总收率可以达到90%,并且质量标准符合药典要求。
设每年工作日为300天,每天生产时间为24小时。
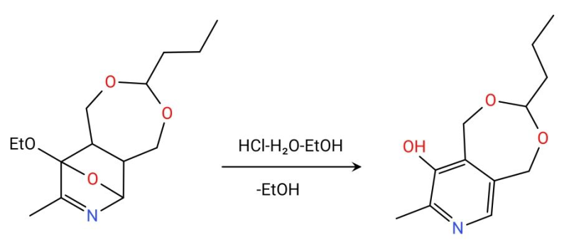
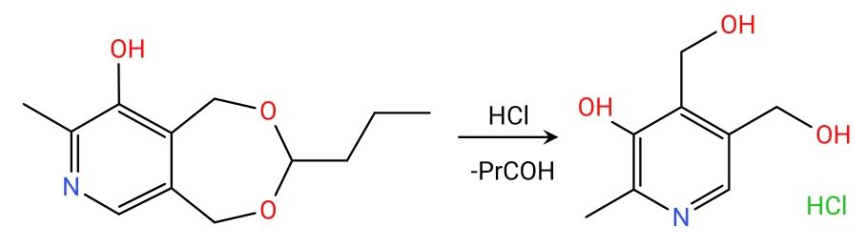
根据题目中的设计要求,对工业合成维生素B6最常用的方法噁唑法中的芳构化进行改进,即用4-甲基-5-乙氧基恶唑与2-正丙基-4,7-二氢-1,3-二氧七环经Diels-Alder加成反应得到中间体,再经芳构反应、水解反应得到最终产物,最后经蒸馏、离心过滤的精制得到维生素B6粗品。
反应步骤如下:第一步: 加成反应:

第二步:芳构反应:

第三步:水解反应:

3生产工艺流程
3.1生产工艺流程论证
目前,工业上生产维生素B6普遍采用的方法是噁唑法反应中所需的4-甲基-5-乙氧基噁唑。这其中,所需的噁唑可以通过应用α-丙氨酸与草酸乙醇通过一系列反应制得;而反应所需的七元环有2-正丙基-4,7-二氢-1,3-二氧七环和2-异丙基-4,7-二氢-1,3-二氧七环之分,本次设计采取正丙基七元环。应用4-甲基-5-乙氧基噁唑与2-正丙基-4,7-二氢-1,3-二氧七环通过Diels-Alder加成反应生成中间体,再经与乙醇进行芳构反应,与盐酸进行水解反应的三步反应制得目的产物维生素B6,这个方法与以往的工艺相比起来,步骤相对简单、操作起来非常方便、而且在降低成本的前提下,使总收率大有提高,达到了68.4%,故此法非常适合大规模工业化生产。此外,正丙基七元环的合成原料之一是正丁醛,而制备过程中的水解反应的副产物也是正丁醛,因此在工业合成中,可以将副产物正丁醛回收利用,实现生产的良性循环。此外,经查阅文献资料得知,维生素B6精制的收率不是一成不变的,具体的数值可能会跟产品的性质差异有关,例如:如果采用两次脱色一次无水乙醇重结晶的方法,可以使精制率达到95%,虽然产品的含量和一些物理性质能够达到药典所规定的标准,但是在其它方面,如外观色泽上可能和标准有出入;此外,使用无水乙醇两次溶解重结晶的方法在工业上被普遍采用,虽然这个方法生产出来的产品质量达标,但精制过程的收率较低,只有84%。此外,理论上还有树脂法脱色的技术,但这个工艺尚处于研究阶段,所以应用不是很广泛。除此之外,还有一个方法:合理利用活性炭采用三次脱色二次水相结晶,不仅产品质量符合药典标准,精制收率有所提高,而且由于减少了无水乙醇的使用,可以使生产成本大幅下降,大大提高工业化实用性。
3.2生产工艺流程概述


