酶促法构建类黑色素氨基酸水凝胶的研究毕业论文
2020-04-15 20:40:05
摘 要
目的:以我们研究的氨基酸序列(FF-Dopa)为基础,设计不同的氨基酸肽,通过酶促法(酪氨酸酶和辣根过氧化物酶)构建类黑色素氨基酸水凝胶,研究不同序列对成胶性、变构效率、光热转化效率等性质的影响。同时我们希望通过共载辣根过氧化物酶来构建体内过氧化氢响应性释放水凝胶。
方法:设计符合要求的氨基酸水凝胶序列,通过经典的固相肽合成的方法合成,调节pH或者加热-冷却的方法自组装成胶。然后分别用酪氨酸酶和辣根过氧化物酶进行催化,观察催化的结果。
结果:通过调节pH成胶的水凝胶,不能被酪氨酸酶催化形成类黑色素。通过加热-降温成胶的水凝胶或不成胶的溶液,能被酪氨酸酶催化形成类黑色素。用辣根过氧化物酶 过氧化氢进行催化均不能使两种方法成胶的水凝胶催化形成类黑色素。
结论:催化氨基酸水凝胶获得类黑色素至少需要满足两个条件:氨基酸单肽单体的优先空间构象两个环残基没有形成0-90°的二面角;氨基酸水凝胶成胶后的pH为7.0-7.5。通过这两个条件的筛选能在很大程度上提高获得催化形成类黑色素的成功率。
关键词:黑色素 水凝胶 酶促变构 酪氨酸酶 辣根过氧化物酶
Enzymatic Method for Constructing Melanin-like Amino Acid Hydrogel
Abstract
Objective:Designing different amino acid peptides based on the amino acid sequence we studied (FF-Dopa), and melanin-like amino acid hydrogels were constructed by enzymatic method (tyrosinase and horseradish peroxidase) to study different sequence pairs. The effects of different sequences on the properties of gelation, allosteric efficiency, photothermal conversion efficiency and so on were studied. At the same time, we hope to construct a hydrogen peroxide responsive release hydrogel in vivo by co-loading horseradish peroxidase.
Methods:The amino acid hydrogel sequence is designed to meet the requirements, synthesized by classical solid phase peptide synthesis, and self-assembled into hydrogel by adjusting pH or heating-cooling. Oxidation was then carried out with tyrosinase and horseradish peroxidase, respectively, and the results of the oxidation were observed.
Results:By adjusting the pH gelatinized hydrogel, it is not possible to catalyze the formation of melanin-like by tyrosinase. The melanin-like can be catalyzed by tyrosinase by heating-cooling a gelled hydrogel or a non-gelling solution. Horseradish peroxidase hydrogen peroxide did not catalyze the formation of melanin-like by hydrogels gelled by the two methods.
Conclusions:Catalytic amino acid hydrogels need to satisfy at least two conditions for obtaining melanin: two ring residues in the preferential spatial conformation of the amino acid monomer do not form a dihedral angle of 0-90°; The pH of the amino acid hydrogel after gelation is 7.0-7.5. Screening by these two restrictions may extremely increase the likelihood of obtaining catalytically-formed melanin-like.
Key Words: melanin;hydrogel;enzymatic allosteric reaction;tyrosinase;horseradish peroxidase
目录
摘要 I
Abstract II
第一章 文献综述 1
1.1前言 1
1.2黑色素的定义和功能 1
1.3黑色素的来源 2
1.4黑色素样聚合物的生物医学应用 2
1.4.1分子成像 2
1.4.1.1 MRI 2
1.4.1.2 PET 2
1.4.1.3 PA 3
1.4.2 疾病治疗 3
1.3.2.1药物递送 3
2.3.2.2 PTT 4
1.4.3 抗氧化治疗 4
1.4.4 铁过载疗法 5
1.5 寡肽水凝胶 5
1.6 本课题的意义及主要研究内容 5
第二章 实验方法 7
2.1 实验仪器 7
2.2 实验试剂 8
2.3氨基酸水凝胶序列的设计 8
2.4单肽单体的原子分子动力学模拟 10
2.5氨基酸水凝胶序列的合成 10
2.6自组装水凝胶的制备 11
2.6.1自组装水凝胶的制备方法 11
2.6.2自组装成胶 12
2.7酶促变构 13
第三章 结果与讨论 15
3.1 单肽单体的优先空间构象 15
3.2 水凝胶自组装 17
3.3 水凝胶催化变构 20
3.4 小结 23
第四章 结论与展望 24
4.1 结论 24
4.2 展望 24
参考文献 26
致谢 28
文献综述
1.1、前言
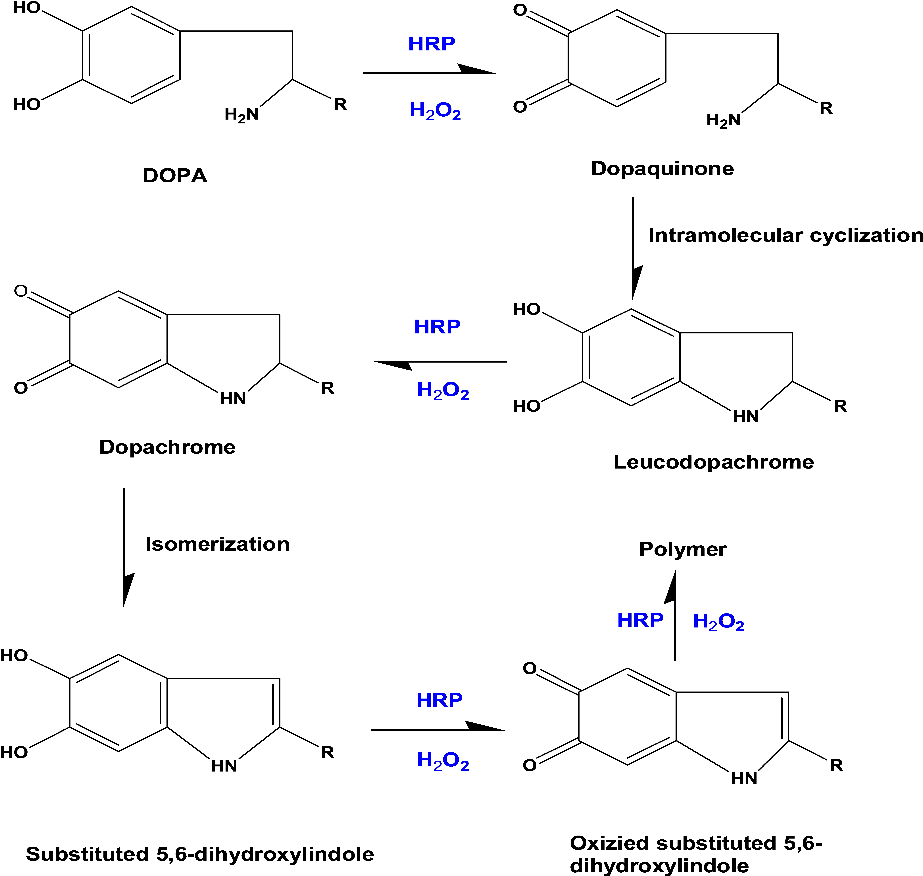
黑色素是一类异质聚合物颜料,可提供紫外线(UV)光保护,结构支持,着色和自由基清除。黑色素的颜料存在于大多数生命形式中,包括植物,细菌,真菌和动物,它们在生物体的着色和保护免受各种细胞损伤引起的应激(主要是光或自由基诱导的)中起着重要作用。除了保护作用之外,黑色素颜料在动态着色,光电性能,设计储能装置,环境传感器,表面粘附涂层和有色薄膜等各方面都有应用。天然黑色素的自组装和聚合通过复杂的途径进行调节,包括在限制条件下的催化,模板化,装配和氧化,这些过程尚不完全清楚。基于实验室合成黑色素类似物的策略难以应用且难以控制。异质产物通常由具有不明确的化学和结构组成的不溶性聚合物组成,从而限制了这类材料的技术效用。
黑色素由儿茶酚类小分子氧化低聚形成,黑色素的物理性质受共价和非共价共同影响。有文献报道了使用含酪氨酸的三肽作为聚合物颜料的可调前体。在这些结构中,酚类在(超分子)分子环境中的呈现取决于氨基酸在肽序列中的位置。可以以序列依赖性方式调节氧化聚合,从而在相当大的范围内产生肽序列编码的性质,例如UV吸光度,形态,着色和电化学性质。短肽具有较低的应用障碍,可以轻松扩展应用于化妆品和生物医学。
以上是毕业论文大纲或资料介绍,该课题完整毕业论文、开题报告、任务书、程序设计、图纸设计等资料请添加微信获取,微信号:bysjorg。
相关图片展示:








        
            
