糖基转移酶突变体催化合成白藜芦醇糖苷及其产物分布调控研究毕业论文
2020-04-15 20:39:12
摘 要
糖苷类化合物的合成对于新药的研究与开发有重大意义,白藜芦醇存在于水果,花生和一些药用植物中,具有多种生物学和药理活性,由于它的低水溶性限制了其应用,它的糖基化产物虎杖苷由于相对于白藜芦醇的高溶解度更受研究者的青睐。而糖基转移酶(GT)介导的酶法合成被认为是大规模生产糖苷的最实用的方法之一。
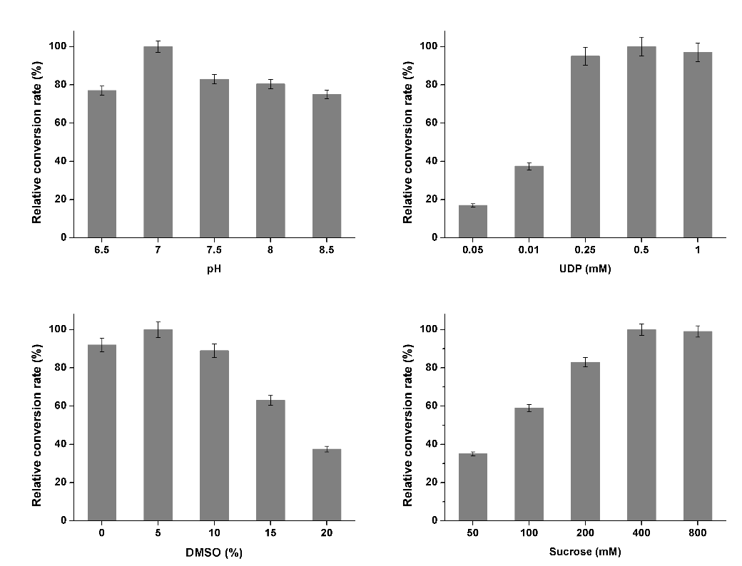
糖基转移酶62G残基被鉴定为白藜芦醇3-OH糖基化的“热点”。通过丙氨酸扫描和定点饱和突变,突变体I62G显著地将区域选择性从4'-OH转换为白藜芦醇的3-OH,并且主要产生虎杖苷(87.7%)。因此,我们对62位突变影响白藜芦醇区域选择性的原因进行分析,通过同源建模和分子对接发现,62位氨基酸突变会改变其所在的Loop N3区域的空间构象,进而影响底物同活性中心的结合,特别是当62位突变为甘氨酸后,会使得63位天冬氨酸与进入活性中心的白藜芦醇4’-OH形成氢键,从而显著提高了对白藜芦醇的区域选择性。基于之前研究,我们对63位氨基酸残基进行突变设计,找到选择性最佳的突变体。单酶催化体系中随着UDP浓度的积累,会显著降低催化效率。因此,我们将蔗糖合成酶和糖基转移酶进行体外偶联来催化白藜芦醇糖基化,24小时后白藜芦醇转化率可达95%。
本实验研究的目的是利用糖基转移酶来实现白藜芦醇的定向糖基化催化来合成虎杖苷,同时双酶催化在生物学催化中也具有反应条件温和,不需要基团的保护和去保护,糖基化效率高,立体选择性好等优势,结合具有区域选择性的工程化糖基转移酶可能对多种糖苷合成和药物发现提供重要参考价值。
关键词:白藜芦醇 虎杖苷 区域选择性 双酶偶联体系 分子对接
Distribution and Regulation of Resveratrol Glycosides and their Products Catalyzed by Glycosyltransferase Mutants
Abstract
For the research and development of new drugs, the synthesis of glycosides is very important. Resveratrol exists in fruits, peanuts and some medicinal plants. It has a variety of biological and pharmacological activities, but its low solubility in water limits its applications. Its glycosylation product, polydatin, is of increasing interest due to its high solubility relative to resveratrol. Glycosyltransferase (GT)-mediated enzymatic synthesis is considered to be one of the most practical methods for large-scale production of glycosides.
The glycosyltransferase 62G residue was identified as a "hot spot" for resveratrol 3-OH glycosylation. Mutant I62G significantly converted regioselectivity from 4'-OH to 3-OH of resveratrol by alanine scanning and site-directed saturation mutations, and mainly produced polydatin (87.7%). Therefore, we analyzed the reason why the 62 mutation affects the regioselectivity of resveratrol. Through homology modeling and molecular docking, the 62 amino acid mutations change the spatial conformation of the Loop N3 region, which affects the binding of the substrate to the active center. In particular, when the mutation at position 62 is glycine, the aspartic acid at position 63 forms a hydrogen bond with the resveratrol 4'-OH entering the active center, thereby remarkably increasing the regioselectivity to resveratrol. Based on previous studies, we designed mutations for 63 amino acid residues to find the most selective mutant. In addition, with the accumulation of UDP concentration in the single enzyme catalytic system, the catalytic efficiency is significantly reduced. Therefore,we coupled sucrose synthase and glycosyltransferase in vitro to catalyze the glycosylation of resveratrol and reconstitution of resveratrol after 24 hours. The rate can reach 95%.
The purpose of this experimental study is to use glycosyltransferase to achieve the targeted glycosylation catalysis of resveratrol to synthesize polydatin, while the double enzyme catalysis also has mild reaction conditions in biological catalysis, without the protection of groups. Deprotection, high glycosylation efficiency, and good stereoselectivity,combining the regioselective engineered glycosyltransferase may provide important reference value for a variety of glycoside synthesis and drug discovery.
Key Words: resveratrol;polydatin;regioselectivity;double enzyme coupled system;molecular docking
目录
摘要 I
Abstract II
第一章 文献综述 1
1.1白藜芦醇糖苷类化合物概述 1
1.1.1白藜芦醇的作用及其应用现状 1
1.1.2虎杖苷的合成进展 1
1.2生物催化糖基化 2
1.2.1酶分子改造的发展现状 2
1.2.2酶分子选择性的提高 2
1.2.3糖基转移酶的区域选择性 3
1.2.4分子对接技术 4
1.2.5双酶催化体系的构建 4
1.3本课题的研究意义及主要研究内容 5
1.3.1研究内容 5
1.3.2研究意义 6
第二章 实验方法 7
2.1材料与仪器 7
2.2 实验方法 7
2.2.1基因克隆,质粒构建和诱变 7
2.2.2蛋白质的表达和纯化 7
2.2.3酶测定 8
2.2.4HPLC和HRMS分析 8
2.2.5生产,纯化和产品鉴定 8
2.2.6同源建模 9
第三章 结果与讨论 10
3.1 UGTBL1同源建模和底物结合域鉴定 10
3.2分子对接辅助区域选择性关键位点改造 11
3.3双酶偶联体催化虎杖苷定向合成 13
3.4本章小结 15
第四章 结论与展望 16
4.1 结论 16
4.2 展望 16
参考文献 18
致谢 22
文献综述
1.1 白藜芦醇糖苷类化合物概述
1.1.1 白藜芦醇的作用及其应用现状
白藜芦醇(反式-3,5,4'-三羟基二苯乙烯)是一种天然多酚,具有广泛的生理和药理活性[1],比如抗氧化[2],抗肥胖[3,4],抗炎[5]和抗肿瘤[6]。尽管白藜芦醇十分重要,但由于其溶解性和生物利用度低,其应用受到限制,并使得有效治疗形式的发展复杂化,但是可以通过糖基化得到显著改善[7-9]。
1.1.2 虎杖苷的合成进展
虎杖苷(白藜芦醇或虎杖苷的3-O-β-葡萄糖苷),水溶性约为白藜芦醇的18倍,能够保留关键活性基团4’-OH,同时具有改善的生物利用度和药物性
质的作用[8,10,11]。虎杖苷具有抗衰老[10]和抗增殖[11]作用等多种生物活性。最近,虎杖苷用于缓解顺铂[12]的毒副作用以及治疗急性严重失血性休克[13]。 目前正在进行虎杖苷注射液(HW6)的II期临床研究。越来越多的人认识到虎杖苷的重要生物学作用和治疗潜力,因此,人们对其合成的兴趣日益增加。区域选择性是多酚糖基化的关键。我们证实了游离白藜芦醇的4'-OH基团对于各种生物活性是至关重要的[8,9]。
以上是毕业论文大纲或资料介绍,该课题完整毕业论文、开题报告、任务书、程序设计、图纸设计等资料请添加微信获取,微信号:bysjorg。
相关图片展示:








