低分子量威兰胶分离纯化与结构鉴定毕业论文
2020-04-17 15:09:04
摘 要
威兰胶是一种鞘氨醇单胞菌属细菌产的胞外多糖,具有良好的假塑流变学性质,且耐热、耐酸碱、耐高盐,在石油开采、混凝土、食品等领域具有广泛的应用前景。
本论文对一株实验室前期构建的包囊结构解除型重组威兰胶生产菌进行了研究,发现发酵液菌胶包裹的现象得到了改善,发酵液粘度有明显的降低。对该菌所产多糖进行了分离纯化的研究,从表观及微观角度观察菌胶分离情况,通过离心除菌、Sevage法脱蛋白、透析醇沉等纯化方法获得多糖样品,利用DEAE-52柱层析分离纯化得到低分子量威兰胶纯品,接着通过GPC凝胶渗透色谱测定了威兰胶分子量约为1.9х106 Da,又通过薄层色谱法确定了威兰胶单糖组分为:D-葡萄糖、L-鼠李糖、L-甘露糖。红外光谱分析表明低分子量威兰胶在3400-3200 cm-1、3100-2800 cm-1、1100-1000 cm-1处均出现多糖的典型吸收峰。一维核磁氢谱表明样品符合威兰胶结构特征。最后对低分子量威兰胶的流变学特性进行了初步的研究。本论文研究结果对低分子量威兰胶的应用开发提供了理论基础。
关键词:威兰胶 低分子量多糖 分离纯化 结构鉴定
Separation, purification and structure identification of low molecular weight welan gum
Abstract
As an extracellular polysaccharide produced by Sphingomonas, welan gum has good properties of pseudoplastic rheology, heat resistance, acid and alkali resistance and high salt resistance.
In this paper, we studied a strain of recombinant welan gum producing bacteria with cystic structure released in the early stage of laboratory construction, and found that the phenomenon of bacterial gel encapsulation in the fermentation broth was improved, and the viscosity of the fermentation broth was significantly reduced. The isolation and purification of polysaccharides were studied. The separation of mycelium was observed from the perspective of microstructure and appearance. Use centrifugal aseptic, Sevage to wipe out the proteome, dialysis alcohol precipitation and other depuration methods for obtaining samples and DEAE-52 column chromatography separation and purification are used to get the low molecular weight welan gum refinement, then through GPC gel permeation chromatographic welan gum molecular weight is about 1.9х106 Da, and determined by thin layer chromatography, welan gum monosaccharide group is divided into: D-glucose, L-rhamnose and L-mannose. Ir spectrum analysis showed that the typical absorption peaks of polysaccharides were observed in 3400-3200 cm-1, 3100-2800 cm-1 and 1100-1000 cm-1 samples of low-molecular weight welan gum. The 1d NMR hydrogen spectrum showed that the samples conform to the structural features of welan gum. At last, the flowing deformation feature of formula caratage welan gum were studied. The results of the present paper supply a fundamental basics for the adhibition and development of formula caratage welan gum.
Key Words: Welan gum; Low molecular weight polysaccharides; Separation and purification;Structure identification
目 录
摘要 I
Abstract II
第一章 绪论 1
1.1威兰胶的研究进展 1
1.1.1威兰胶概述 1
1.1.2威兰胶的生产 2
1.1.3威兰胶菌胶包囊结构解除研究 3
1.2低分子量类多糖的研究 3
1.3微生物多糖的研究进展 3
1.3.1提取 3
1.3.2分离纯化 4
1.3.3结构鉴定 5
1.4本论文的研究意义与内容 5
1.4.1研究意义 5
1.4.2研究内容 5
第二章 威兰胶的分离纯化 6
2.1实验材料 6
2.1.1实验试剂与仪器 6
2.1.2实验菌株和威兰胶样品 7
2.1.3培养基与培养条件 7
2.2实验方法 7
2.2.1威兰胶的提取 7
2.2.2威兰胶多糖的分离纯化操作 8
2.2.3测定方法 9
2.3实验结果与讨论 11
2.3.1绘制标准曲线 11
2.3.2择优除蛋白方法 11
2.3.3威兰胶的DEAE-52纤维素纯化 13
2.3.4威兰胶溶液的全波长扫描结果 14
第三章 低分子量威兰胶的结构鉴定 15
3.1实验材料 15
3.2实验方法 15
3.2.1形态观察 15
3.2.2薄层色谱分析 16
3.2.3红外光谱分析 16
3.2.4多糖分子量的测定 16
3.2.5威兰胶多糖的核磁检测 17
3.2.6流变学性质研究 17
3.3实验结果与讨论 17
3.3.1形态观察 17
3.3.2薄层色谱分析 18
3.3.3红外光谱分析 19
3.3.4 分子量的测定 19
3.3.5核磁共振NMR—1H谱分析 21
3.2.6流变学性质研究 21
第四章 总结与展望 23
4.1总结 23
4.2展望 23
参考文献 24
专利申请情况 26
致谢 27
第一章 绪论
1.1威兰胶的研究进展
1.1.1威兰胶概述
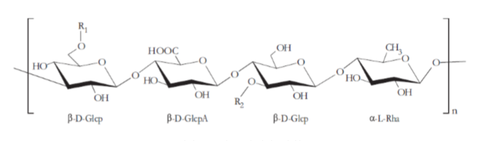
威兰胶是由革兰氏阴性细菌——鞘氨醇单胞菌(Sphingomonas sp.)好氧发酵生产的胞外酸性杂多糖,它的结构骨架是由D-葡萄糖、D-葡糖醛酸、D-葡萄糖和L-鼠李糖的单元组成,侧链由单链的L-甘露糖或L-鼠李糖构成(图1-1、表1-1)[1],单糖摩尔比大约为:L-甘露糖、L-鼠李糖、D-葡萄糖、D-葡萄糖醛酸=1.0:4.5:3.1:2.3。威兰胶是美国凯克公司上世纪80年代继黄原胶、结冷胶之后开发的最具市场前景的微生物代谢多糖之一[2]。其特性如下:(1)具有假塑性流体特征:当施加一定的剪切力时,粘度迅速降低,剪切力一旦撤去粘度仍能恢复;(2)理想的增稠性:能溶于冷水中,低浓度的水溶液即具有很高的粘度;(3)良好的悬浮性和乳化性:静止状态下有良好的悬浮能力,且性质稳定,另外,威兰胶溶液的增稠性可缓解油相与水相的不相容性,能起到乳化的作用[3];(4)较好的稳定性:其水溶液对热稳定,比黄原胶的耐温极限值高近30℃。在pH 2.0-13.0内范围内比较稳定,且对盐的稳定性高。由于以上特性,威兰胶在石油开采、肥料悬浮、水泥防冻,以及作为食品乳化剂和增稠剂中有极高的应用价值。

以上是毕业论文大纲或资料介绍,该课题完整毕业论文、开题报告、任务书、程序设计、图纸设计等资料请添加微信获取,微信号:bysjorg。
相关图片展示:









