磁性分子印迹串联电化学技术在敌草隆分离检测中的应用研究毕业论文
2020-04-17 15:08:48
摘 要
敌草隆是一种目前在农业生产中广为使用的取代脲类除草剂,其大量的使用以及极易富集于水中产物的特性,导致其在生态环境中残留较多,并且敌草隆具有一定的致癌性,其通过食物链富集与传播会影响人的健康。所以开发一种能够快速准确检测敌草隆含量的技术,对于监控其环境浓度具有重要意义。因此,利用磁性纳米粒子和分子印迹聚合物(MIP)技术,研制了一种新型、经济的检测敌草隆的电化学传感器。采用表面聚合法成功地合成了具有选择性吸附DU的磁性分子印迹聚合物。在磁性玻碳电极(MGCE)表面沉积了纳米颗粒,并对其进行了电化学表征。采用微分脉冲伏安法(DPV)记录敌草隆的氧化电流信号。敌草隆浓度在0.0004~0.3mM的范围内与电流存在良好的线性关系(R2=0.998),线性方程为y = 74.52x 2.445。这种基于Fe3O4@SiO2-MIP的电化学传感器是一种有价值的新工具,可以定量测量敌草隆信号分子。该方法具有实时检测能力强、特异性高、重现性好、稳定性好等优点。
关键词:敌草隆 磁性分子印迹技术 电化学传感器 包硅四氧化三铁
THE STUDY ON THE APPLICATION OF MAGNETIC MOLECULARLY IMPRINTED POLYMERS IN THE ELECTROCHEMICAL DETECITON FOR DIURON IN AQUATIC ENVIRONMNET
Abstract
Diuron is a kind of substituted urea herbicide widely used in agricultural production. Its large amount of use and its characteristics of being easily enriched in water make it more residual in the ecological environment, and diuron has Certain carcinogenicity, which affects people's health through the food chain. Therefore, the development of a technology that can quickly and accurately detect the content of diuron is of great significance for monitoring its environmental concentration. Therefore, a new and economical electrochemical sensor for the detection of diuron was developed using magnetic nanoparticles and molecularly imprinted polymer (MIP) technology. A magnetic molecularly imprinted polymer with selective adsorption of DU was successfully synthesized by surface polymerization. Nanoparticles were deposited on the surface of magnetic glassy carbon electrode (MGCE) and electrochemically characterized. The oxidation current signal of diuron was recorded by differential pulse voltammetry (DPV). The concentration of diuron has a good linear relationship with current in the range of 0.0004~0.3mM (R2=0.998), and the linear equation is y = 74.52x 2.445. This electrochemical sensor based on Fe3O4@SiO2-MIP is a valuable new tool for quantitative measurement of diuron signal molecules. The method has the advantages of strong real-time detection capability, high specificity, good reproducibility and good stability.
Key words: Diuron; Magnetic molecular imprinting; Electrochemical sensors ;Fe3O4@SiO2
目 录
摘要…………………………………………………………………………………………… I
ABSTRACT…………………………………………………………………………………… II
第一章 绪论 1
1.1 文献综述 1
1.1.1敌草隆的性质、来源及使用现状 1
1.1.2敌草隆的毒性及危害 2
1.1.3敌草隆的前处理方法 3
1.2分子印迹技术研究进展 3
1.3电化学介绍 4
1.3.1基于农药分子自身特性的农药残留直接电化学检测 4
1.3.2基于酶活性抑制作用的农药残留电化学检测 4
1.3.3基于电化学免疫反应的农药残留检测 5
1.3.4基于分子印迹与电化学传感器相结合的检测 5
1.4 MIP在电化学检测中应用 5
第二章 实验材料及方法 7
2.1试剂 7
2.2主要仪器 7
2.3实验方法 7
2.3.1电极清洗 7
2.3.2电化学测试条件 8
2.3.3构建敌草隆磁性分子印迹电化学传感器 8
第三章 结果与讨论 10
3.1电极清洗 10
3.2构建敌草隆磁性分子电化学传感器 10
3.2.1敌草隆导电性验证 10
3.2.2磁性玻碳电极负载MIP量确定 11
3.2.3负载时间的确定 12
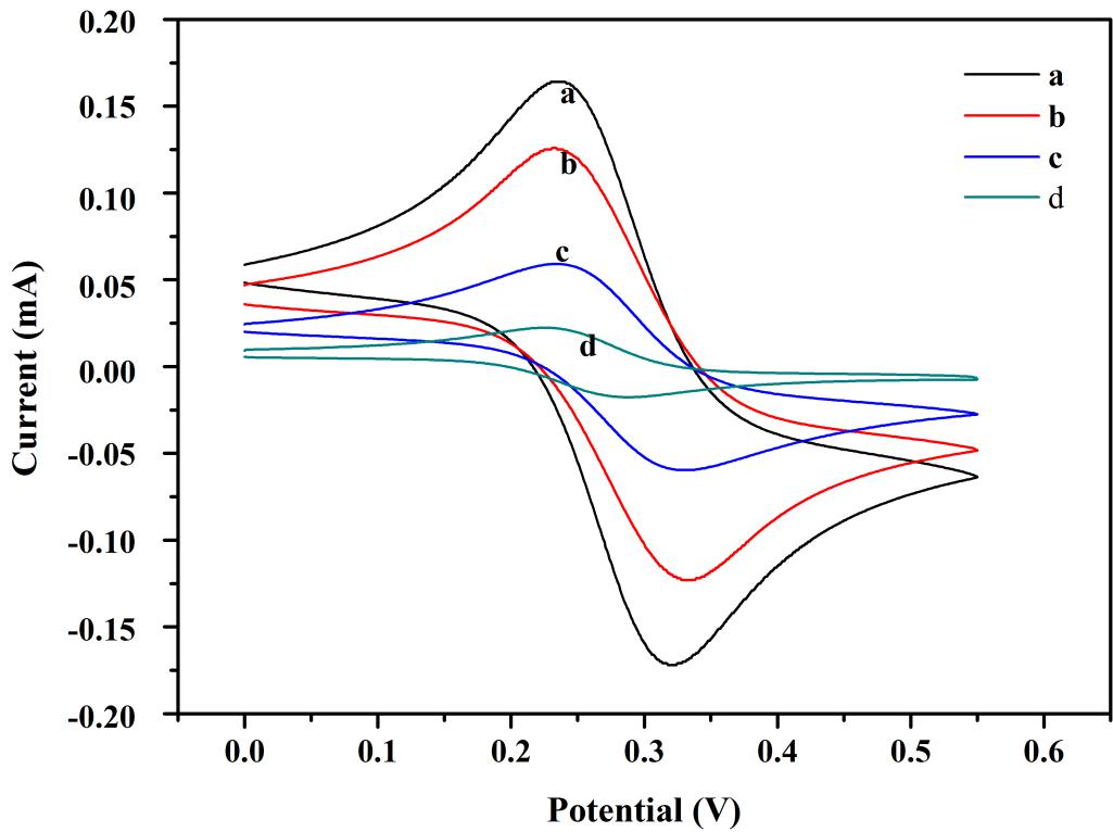
3.3 MGCE表面不同修饰状态峰值电流行为 13
3.4 磁性分子印迹电化学传感器检测研究 14
3.5 磁性分子印迹电化学传感器检测敌草隆线性范围 15
3.6实际样品分析 16
3.6.1实际样品:自来水 16
3.6.2实际样品:茶类饮料 16
3.6.3实际样品:大白菜 16
参考文献 17
致 谢 19
第一章 绪论
1.1 文献综述
1.1.1敌草隆的性质、来源及使用现状
敌草隆对植物的光合作用具有抑制作用,一般来说,敌草隆会被植物的根部或者叶片吸收,而产生抑制光合作用的效果。尤其对于一年生种子繁殖的单子叶、双子叶、禾本科或者莎草科等杂草来说,具有有效去除和治理的效果。所以,敌草隆这种除草剂在稻田的使用非常广泛。它具有如下的特点:用量少、药性高、除草种类多、药效时间长等,它被广泛使用于水稻田、棉花地、大豆地、玉米地、甘蔗地和马铃薯田里。在25℃时,敌草隆在水中具有较好的溶解度,为4.2mg,并有一定的致癌性。
敌草隆是一种白色结晶固体,分子式是C9H10Cl2N2O,下面图1为其化学结构式:
以上是毕业论文大纲或资料介绍,该课题完整毕业论文、开题报告、任务书、程序设计、图纸设计等资料请添加微信获取,微信号:bysjorg。
相关图片展示:








