企业排放污水有机成分检测及治理毕业论文
2020-02-14 11:30:57
摘 要
食品工业污水有机物含量高、毒性小,直接排放会超出水体的净化能力,导致严重的环境污染。另一方面废水中的大多数物质仍具有回收利用价值。比如本课题研究的香菇食品厂废水中含有的香菇多糖。本课题的主要工作内容是确定香菇多糖的检测方法,并对废水中的香菇多糖进行浓缩以便于后续工艺的回收分离。
确定多糖含量分为两部分,测定总糖含量和还原糖含量,其差值即为多糖含量。测定总糖的两种流行方法为苯酚硫酸法和蒽酮硫酸法,综合安全性、可能误差等因素后,本实验选用蒽酮硫酸法测定总糖含量。还原糖的测定方法有旋光法、气相色谱法、液相色谱法、吸光光度法等,本课题最终选用DNS法测定还原糖含量,并做了系列实验确定DNS的检测条件为500nm,DNS用量2.5mL,煮沸5分钟。最终测定原污水中香菇多糖含量为7.57mg/mL。实验采用煮沸蒸发来浓缩香菇多糖。分别浓缩1、5、10倍后得到的浓缩液中香菇多糖含量为15.04mg / mL、37.72mg/mL、84.21mg/mL。
关键词:污水处理;香菇多糖;蒽酮硫酸法;蒸发蒸馏
Abstract
On the one hand, food industrial sewage has high organic content and low toxicity. If it is directly discharged, it will exceed the purification capacity of water body and lead to serious environmental pollution. On the other hand, most substances in the wastewater still have recycling value, such as lentinan contained in the wastewater of lentinus edodes food factory studied in this project. The main work content of this project is to determine the detection method of lentinan, and to concentrate lentinan in the waste water, so as to prepare for the subsequent recovery and separation process.
The determination of polysaccharide content is divided into two parts: total sugar content and reducing sugar content. Two popular methods for determination of total sugar are phenol sulfuric acid method and anthracone sulfuric acid method. After considering the safety, possible error and other factors, anthracone sulfuric acid method was selected for determination of total sugar content in this experiment. Methods for the determination of reducing sugar include optical rotation method, gas chromatography, liquid chromatography, absorbance spectrophotometry, etc. In this project, DNS method was finally selected to determine the content of reducing sugar. A series of experiments were conducted to determine the detection condition of DNS was 500nm, and the dosage of DNS was 2.5mL. The content of lentinan in raw sewage was determined to be 7.57mg/mL. The lentinan was concentrated by boiling and evaporation. The contents of lentinan in the concentrated solution were 15.04mg /mL, 37.72mg/mL and 84.21mg/mL after 1, 5 and 10 times of concentration respectively.
Keywords: sewage treatment; Lentinus; anthrone-sulfuric acid method; material cooking and distillation
目 录
第1章 绪论 1
1.1 食品工业废水概况 1
1.1.1 食品工业废水处理方法 1
1.1.2 食品工业废水处理工艺 2
1.2 香菇的研究现状 4
1.2.1 香菇食品生产现状 4
1.2.2 香菇多糖的研究现状 4
1.3 污水中香菇多糖的浓缩回收 8
1.3.1 旋转蒸发器 8
1.3.2 氮气吹干仪 9
1.4 本课题的研究目标、内容、意义 9
第2章 实验部分 10
2.1 实验材料 10
2.1.1 实验试剂 10
2.1.2 实验设备 10
2.2 实验方法 11
2.2.1 蒽酮-硫酸法测定总糖含量 11
2.2.2 DNS法测还原糖含量 11
2.2.3 污水处理 13
第3章 结果与讨论 14
3.1 污水中香菇多糖含量分析 14
3.1.1 总糖含量分析 14
3.1.2 DNS法实验条件的确定 14
3.2 处理后香菇多糖回收率 17
3.3 讨论 18
第4章 结论与展望 19
参考文献 21
致谢 24
第1章 绪论
1.1 食品工业废水概况
食品工业是指以农牧业、渔业、水产品为原料进行生产和加工。这是低投入,高效率的产业。食品工业的快速发展可以促进中国经济的发展,是中国经济发展不可或缺的部分。但是,从环保的角度看,食品工业污水对中国环境的影响较大,应当引起国内有关部门的高度重视。食品工业的原料种类很多,产品种类也很多,同时废水排放量大、水质差异大也是食品工业污水的特点。食品工业污水的主要污染有:(1)漂浮在水中的固体物质,如蔬菜碎叶、果皮、肉屑、家禽羽毛等;(2)原料中夹带的小石子、小土块等;(3)溶于污水中的盐,糖,酸,碱等(4)油脂、淀粉、蛋白质等其他物质;(5)病毒、致病菌等等。食品工业的废水含有大量的悬浮物和有机物质,容易腐烂,而且通常毒性小。此类废水的风险主要是会造成水体的富营养化如水华等环境问题,导致水生动植物和鱼类死亡,增加水下沉积物,造成水质恶化和环境污染[1]。
我国的许多中小城市都有大量食品加工厂,随着时代的发展,这些食品加工厂自身的现代化程度和产能在不断提高,但是随之而来的大量废水的产生和排放对自然环境是非常有害的。
1.1.1 食品工业废水处理方法
中国开始发展食品污水处理比西方晚得多,但国家政策的强力支持让这个国家得以开发适合中国国情的改善污水污染情况的技术,甚至在一些项目上已达到国际先进水平,这在改善中国的环境中也起着至关重要的作用。我国在借鉴国外食品厂先进污水处理设备的基础上,克服技术问题,将该技术投入运行,缓解了我国严重的污染形势[2]。
食品污水处理方法食品污水处理方法主要有三种。下面对各方法的利用进行简单的说明。
1.1.1.1 物理方法
根据物理作用来分离、回收污水中那些不溶解的悬浮物质的方法是物理方法,通常有吸附法、筛滤法等。
吸附法相对于其他处理方法是最经济高效的方法,设计灵活,操作简便,过程可逆,脱附可再生吸附剂,节省原料,已成为当下处理技术的研究热点。主要吸附剂有碳纳米管(CNT)、活性炭(AC)、沸石、生物吸附剂以及磁性纳米材料等。
吸附法主要是利用具有高吸附性的材料进行污水的处理,将污水中的有机物尽可能地吸附或者沉降而去除从而达到处理污水的目的。
筛滤法是利用过滤装置的一定大小孔径,将污水中悬浮的颗粒物分离。
1.1.1.2 化学处理法
化学方法处理污水消除污水中的有害物质是利用一系列的化学反应来分解、分离污水中的污染物质。氧化还原法和絮凝法是目前化学方法处理的两种主要方法。前者是指使用还原剂或氧化剂,与污水中有害物质进行氧化还原反应。絮凝法如名,是将污水中的胶体颗粒、悬浮物转为凝聚体,再用其他方法去除凝聚体中的有机物,过程中使用的帮助转化的物质称为絮凝剂[3]。
1.1.1.3 生物处理法
我们将利用微生物自身的生命活动或者微生物新陈代谢过程产生的酶催化分解消化污水中的污染物的方法称为生物处理法。厌氧污泥床法和活性污泥法为目前主要的生物处理法。
a.厌氧污泥床法
厌氧污泥床最初由荷兰人发明,主要由气液固相分离器,气室和污泥反应区域三个部分构成。此工艺的使用过程中在反应区域充满大量的厌氧污泥,在反应领域的底部离子间静电场力下,形成高密度的污泥沉淀。由于污泥中含有很多微生物,所以可以很容易地分解注入污泥中的污水,污水和微生物反应产生的物质主要包括甲烷等气体。反应到一定程度时甲烷等气体聚集成为大的气泡,气泡跑出的过程会使得污泥床上,形成稀薄的污泥层,稀薄的污泥自身的比重比较小,在气泡推动下回到气液固相分离器中,最终通过水层并到达气体室内,使用集气装置收集气体,最终实现污水处理[4]。
b.活性污泥法
另一个主要方法活性污泥法具有操作简单,成本低等优点。该法的主要流程是利用不断通入污水中的空气创造有氧条件,在有氧条件下微生物持续与污水反应,并分解有机物,起到污水处理的作用,最终形成活性污泥。
1.1.2 食品工业废水处理工艺
食品污水中含有大量有机物,没有处理直接排出容易污染水源。到现在为止的食品中的废水处理过程主要好氧生物处理过程,厌氧生物处理过程,膜分离技术等。
1.1.2.1 生物处理工艺
	生物处理是目前国内外主要使用的方法,通常是使用厌氧接触法、厌氧污泥法等处理
食品污水。在图1.1中示出了生物处理过程的流程。而在此基础上发展了一些具体的生物处理工艺。
图1.1 食品废水生物处理工艺流程
1.1.2.2 序批式活性污泥工艺
此工艺主要用于食品废水中含有酒精、淀粉、蔬菜等大量有机物,处理困难。实验证明,依次批量活性污泥法有显著的处理废水效果。序批式活性污泥法具有流程简单,成本低等优点。通过这个过程,原本COD值高的废水可以达到一级排放标准。序批式活性污泥工艺是经济、效率高的食品废水处理工艺。
1.1.2.3 ETTS工艺
ETTS工业采用2级生态系统,利用生物化学原理来处理食品废水,属于生态技术处理系统。这个过程的主要特征是BOD、P、NH4 等的去除效率比生物处理法高得多,方便使用,能源消耗低等优点。
通常,食品工业大多以粮食为原料,产生的污染物多为原料利用不足的部分,如清洗水、去掉的果皮、果核、肉末等,不少废物可以转换成具有很好回收价值的产品和副产品,比如玉米梗做燃料或者蘑菇培养料,葡萄籽护肤品等。此外水大部分用于原料的清洗,只有很小一部分用于产品本身,清洗水完全是可以进行回收利用的。
目前,人们投入越来越多的人力物力治理'三废',以保护日益恶化的生存空间,可以看到人们对地球环境污染的问题已经越来越重视。而食品工业企业在生产过程中产生的废水酸度大、含有大量有害物质且不易分解,严重污染环境,因此食品厂成为废水治理的重点。食品厂污水处理设备是食品厂的重要设备。食品厂中污水处理设备的应用,可以有效缓解我国水污染现状,为国家的未来可持续发展做出贡献。
1.1.2.4 食物链反应器
食物链反应器(FCR)用一些特殊的材料和植物根系作为生物载体,基础是一个独特的食物链反应器,形成一个高度集约的生态系统[5]。FCR技术利用所构造的高度多样化生态系统中的各级微生物、水生动植物的生长所形成的复杂生态环境,增加水中污染物降解能力。
1.2 香菇的研究现状
1.2.1 香菇食品生产现状
近年来,随着食用菌生产的发展和人民生活水平的不断提高,食用菌食品已成为大众喜爱的菜肴和保健食品。香菇已成为医药、食品等行业保健品的“新宠”。
第一,香菇的蛋白质含量高,是蔬菜中蛋白质含量中的佼佼者,香菇中含有十八种氨基酸,其中八种是人体必需氨基酸。第二,香菇干品中含90%以上的亚油酸和油酸,这可预防甚至治疗动脉粥样硬化性脑卒。第三,香菇中富含各种矿物质,包括铁、磷、锌、锰、钙等,有延年益寿的功效。第四,香菇中多糖、甘露醇、海藻糖含量高,这些物质可以辅助脂肪氧化、为人体提供能量以支持生理活动。第五,普通蔬菜缺乏的维生素D-麦角甾醇,在香菇中可以得到补充,这可以促进人体对钙的吸收,提高儿童牙齿、骨骼的生长速度。
目前我国香菇年产量居世界首位,香菇食品也趋于多层次发展。今天的香菇食品品种繁多,每一种都充分利用了香菇独特的风味和营养。目前的香菇食品有,香菇脆片,香菇脯,香菇罐头,香菇酱,香菇饮料,香菇营养调味液,香菇肉松,香菇酱油等。
1.2.2 香菇多糖的研究现状
香菇多糖(LNT)是香菇的主要活性成分,除了抗菌和生物活性外,LNT还可以抑制裸露和有包膜病毒的感染,主要在病毒感染的早期阶段发挥作用,LNT还具有抗肿瘤、提高免疫力、降血脂、降血糖等生理功能。
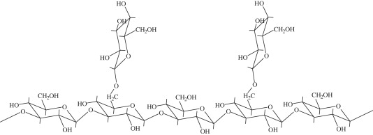
香菇多糖是一种葡聚糖,结构为beta;-D(1-gt;3)残葡聚糖主链和(1-6)葡萄糖残基的侧链,香菇多糖固体粉末呈灰白色或黄褐色,大部分为酸性多糖,可溶于水和稀碱溶液,尤其是易溶于温度较高的水,不溶于丙酮、乙酸乙酯、乙醇等有机溶剂,其水溶液呈现透明粘稠状、浅黄色。
1.2.2.1 香菇多糖的提取
由于香菇多糖作为香菇的细胞壁结构组分存在,它的提取方法选择通常取决于细胞壁结构。提取香菇多糖的方法目前主要分为两种类型,第一种是使用热水、碱溶液和聚乙二醇的溶剂提取方法;另一种用超声波或超高压提取多糖。含有香菇多糖的粗提物可以通过热水分离,随后浓缩萃取物,然后用乙醇沉淀。将沉淀物再溶解在碱性水溶液中,然后过滤溶液,用稀酸中和。该提取物可以用氯仿和1-丁醇的混合物进行脱蛋白进一步纯化,将香菇多糖产物透析并冷冻干燥,得到具有分支的(1→3)-beta;- D-葡聚糖的纯产物,称为香菇多糖。
通常,从热水和有机溶剂中分离的香菇多糖产率低至0.12%。Zhang等建立了一种新的分离方法,通过使用1.25 mol/L NaOH / 0.05%NaBH4溶液进行碱提取[6]。该方法分离的香菇多糖的产率高达5%,是一种“绿色”工艺,该方法工艺简单,产品质量高,效率高,成本低。此外,香菇多糖样品可以长期储存(超过一年),并且在室温下易溶于水。
超高压萃取已被应用于提取香菇多糖。该方法采用超高压液体萃取香菇干粉,然后进行常规的过滤,浓缩和沉淀干燥等步骤,得到香菇多糖。利用超高压萃取技术,来增加细胞膜上的渗透压差以加快提取速度,杀死一些有害微生物。这是一个短时间的过程,没有可能降解多糖并影响香菇多糖的活性的高温或碱处理。Minato等采用抗香菇多糖抗体通过酶联免疫吸附测定(ELISA)方法研究了香菇多糖在储存过程中的稳定性[7]。然而,在20℃下储存超过7天后,香菇多糖的含量从12.8mg/g 干重降至3.7mg/g 干重,在5℃下降至9.3mg/g 干重。此外,葡聚糖酶(一种酶,能分解香菇多糖中的beta;-葡聚糖链)的活性似乎与香菇多糖的降解有关,而这种酶在20℃下增加比较低温度下更多。
目前香菇多糖的提取方法主要有热水提取法、酸提法、碱提法、超声波提取法、微波提取法和酶水解法。而微波、超声波和高压萃取法在生产中还不能推广应用,对于酶解法来说酶的活性又难以控制。因此,沸水浸提法仍然是工业生产中的主要方法。其中水提醇沉法是提取香菇多糖最经典的方法[8]。
a.热水提取
热水提取的方法利用了LNT易溶于热水的特点来对香菇多糖进行热水提取。在热力的作用下,香菇细胞吸水膨胀破裂,香菇细胞中的物质得以通过细胞壁分散到细胞壁外的溶剂中。热水提取香菇多糖是一种十分传统的提取香菇多糖的方法,但是这种方法具有耗时长、低提取率、高耗能等缺点[9]。王立东等对热水浸提法中提取LNT的工艺进行了优化,研究结果表明原料1:20、浸出温度90℃、提取时间2 h条件下,香菇多糖提取率可以达到16.72%[10]。此外,提取细胞的组织细胞和亚细胞结构在高压下会发生解体,使细胞内的化学成分与溶剂充分接触,直接溶解,表现为高压提取可以增加提取率[11]。
b.酸提法
酸提法通常应用于酸溶性多糖的提取。但是该法会降低酶的提取率,原因在于酸易对糖苷键和多糖结构产生损害。梅光明等人研究了这种方法,从通常加工厂废弃的香菇柄中提取到了香菇多糖成分[12]。
c.碱提法
碱提法同样利用了真菌细胞在水中吸水膨胀破裂的特点释放香菇多糖。但与酸提法类似,香菇多糖的结构和生物活性在碱性条件下也易受到破坏,而且还可能生成副产物色素分子,降低提取率。Wang等人探索了不同酸碱浓度的溶液对香菇多糖提取率的影响[13]。
d.超声提取法
超声波造成的强烈震动会对香菇的细胞壁造成不可逆损害,促进香菇多糖从胞内释放出来。相比传统方法,超声提取法高效率、低能耗,但超声波的强烈作用同样可能影响香菇多糖的生物活性 [14]。
e.微波提取法
高频电磁波可以使细胞内迅速升温、加压,细胞破裂,释放胞内多糖。与传统法相比,微波提取法高效节能、处理细胞受热均匀、过程易于控制。刘小丽等通过优化香菇多糖的提取条件,使用微波提取法的提取率达到 9.46%[15]。
f.酶解法
特定的酶可以通过破坏细胞壁的致密结构来促进胞内香菇多糖流出,增加多糖提取率,不过酶解法通常作为其他提取方法的辅助手段,此外酶活不好控制也限制了酶解法的使用。吴佳慧等分析发现复合酶系的组成可以显著影响香菇多糖的提取效果[16]。金小花等联合了超声波法和酶解法来提取香菇多糖,提取率可达15.8%[17]。
目前,微波提取法、超声提取法及高压提取法在生产中不能普及,酶解法的酶活力不好控制,因此,工业生产中仍以沸水浸提法为主。其中宣丽等采用正交试验优化香菇多糖的沸水浸提工艺,在利用柠檬酸调节到pH值为4、料液比1∶25、重复3次提取的条件下,香菇多糖提取率最高[18]。该方法能分离干香菇中多糖效率达80%以上,适合工业化生产。
1.2.2.2 化学结构:香菇多糖的化学结构
天然存在的聚合物的结构非常复杂,并且它们具有不同的结构,这使得它们的生物活性多种多样。多糖的化学结构由其单糖组成、糖苷键的构型、糖苷键的位置、单糖序列来定义[19]。单糖组成分析包括通过水解裂解所有糖苷键,所得单糖的分级分离,以及通过GCeMS(气相色谱质谱)检测和定量单个单糖[20]。糖苷键的位置可以通过甲基化分析、受控的Smith降解分析和酶消化进行分析。每个糖残基的异构体(alpha;或beta;)可以通过核磁共振(NMR)和红外光谱(IR)测定。支化度(DB)和聚合度(DP)通过一维和二维NMR光谱和GC-MS分析测定[21]。
Sasaki和Takasuka已经证明香菇多糖的化学结构是一条(1→3)-beta;- D-葡聚糖主链,每五个(1→3)-beta;-吡喃葡萄糖苷线性连接有两个(1→6)-beta;-吡喃葡萄糖苷侧链,如图1.1[22]。Zhang等还通过高效液相色谱(HPLC),IR和13 C NMR光谱证明香菇多糖是具有(1→6)-葡萄糖基残基的(1→3)-beta;-D-葡聚糖[23]。
以上是毕业论文大纲或资料介绍,该课题完整毕业论文、开题报告、任务书、程序设计、图纸设计等资料请添加微信获取,微信号:bysjorg。
相关图片展示:
	
	

        
            
