芳香族化合物氧化还原酶突变数据库构建研究毕业论文
2020-04-15 21:04:11
摘 要
构建酶学反应与结构功能的关系数据库,对于理性开发和改造工业生产用酶非常必要,是结构生物信息学的重要研究内容。本文以芳香醇氧化酶为例,尝试多种渠道构建其功能关系数据库。近年来,对于具有生物活性的芳香族产物的需求日益增长,香草醇氧化酶作为工业合成这些芳香族化合物的关键酶之一,已经成为了人们关注的重点。香草醇是一种酚羟基对位有取代基的芳香族化合物,目前已知香草醇氧化酶能够有效地氧化包括香草醇在内的几十种芳香醇。我们通过文献检索收集了涉及全部32种底物的反应参数,并且采用分子对接等模拟计算方法研究了香草醇氧化酶与不同底物的作用模式。我们对于香草醇氧化酶所涉及的催化反应及其结构功能关系数据库的构建,为后期大规模构建酶学数据库提供了一个范例,为相关酶的理性设计、有针对性地改造提供了数据支持。
关键字:香草醇氧化酶、数据库、分子对接、芳香醇
Construction of Aromatics Reductase Mutation Database
ABSTRACT
Constructing a database of the relationship between enzymatic reactions and structural functions is essential for the rational development and transformation of enzymes for industrial production. And that is an important research content of structural bioinformatics. In this paper, the aromatic alcohol oxidase is taken as an example to try to construct a functional relationship database through various channels. In recent years, there has been an increasing demand for biologically active aromatic products, and vanillyl alcohol oxidase has become a focus of attention as one of the key enzymes for industrial synthesis of these aromatic compounds. Vanillyl alcohol is an aromatic compound having a para-substituted phenolic hydroxyl group. It is known that vanillyl alcohol oxidase can effectively oxidize dozens of aromatic alcohols including vanillyl alcohol. We collected the reaction parameters involving all 32 substrates by literature search, and studied the interaction modes of vanillyl alcohol oxidase with different substrates by molecular docking and other simulation methods. The construction of the catalytic reaction and its structural and functional relationship database involved in vanillyl alcohol oxidase provides an example for the large-scale construction of the enzymology database in the later stage, and provides data support for rational design and targeted transformation of related enzymes.
Key words:vanillyl alcohol oxidase; database; molecular docking; aromatic alcohols
目录
摘 要 I
ABSTRACT II
第一章 文献综述 1
1.1. 研究背景与意义 1
1.2. 香草醇氧化酶简介 1
1.2.1. 香草醇氧化酶的来源 1
1.2.2. 香草醛氧化酶的结构及功能 2
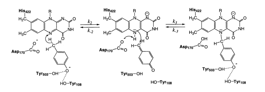
1.2.3. 香草醛氧化酶催化反应的机制 5
1.2.4. 香草醇氧化酶的应用 7
1.3. 分子对接 8
1.4. 本课题的研究内容和意义 8
第二章 VAO数据整理与分析 9
2.1. VAO与不同底物反应结果整理 9
2.1.1. 野生型VAO反应特点 9
2.1.2. 反应能力提高的突变 9
2.1.3. 反应能力下降的突变 10
2.2. 分子对接与结果分析 12
2.2.1. 对接数据来源 12
2.2.2. 对接结果 12
2.2.3. FAD 在 VAO 及其突变体内的结合情况分析 14
2.2.4. VAO与Eugenol对接情况分析 16
2.2.5. VAO与2-Amino-p-cresol对接情况分析 17
2.3. 结果讨论 18
第三章 结论与展望 19
3.1. 结论 19
3.2. 展望 19
参考文献 20
致谢 23
附录1. 香草醇氧化酶结构与催化反应数据表 24
附录2. 反应底物名称与Zinc编号对照表 29
第一章 文献综述
研究背景与意义
芳香族化合物种类繁多,结构多样,用途广泛。其中,香草醇作为对位有取代基的酚类,具有一定的代表性。因而,以香草醇为例进行研究。
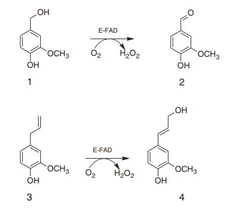
香草醇(4-羟基-3-甲氧基苯酚)作为药物,具有一定的抗炎、抑制血管增生和阵痛的作用,这可能是几种含有香草醇的民间药物具有一定药理学功效的部分原因。天麻中含有香草醇,它在东亚国家中被用作民间药物已有几个世纪。[1]通过还原反应可以将香草醛还原为香草醇。另一方面,香草醇被氧化可以生成香草醛。香草醛(4-羟基-3-甲氧基苯甲醛)是香草豆香味的主要来源,有着浓郁的香气,是食品工业中使用最广泛的分子之一,广泛应用于各种食品调味品,饮料和糖果中,在精细化工中也有着广泛的用途,还可以作为生产其他药物的平台化学物。香草醛的生产在过去一直以天然提取为主,但随着对天然香草醛的总需求和对天然产品的关注度的日益增加,近十年来工业化合成香草醛受到了生产企业的注意。
而芳香醇氧化酶是一大类黄素腺嘌呤二核苷酸(FAD)依赖型酶,它们能通过氧化芳香族化合物产生过氧化氢,这对于从木质素分解过程中产生的次级代谢物的降解至关重要。[2] 香草醇氧化酶(Vanillyl alcohol oxidase,VAO,EC:1.1.3.38)是一种有代表性的芳香醇氧化还原酶,能够将香草醇氧化为香草醛,也能够氧化多种其他芳香族化合物用于各个行业。[1]香草醇氧化酶(VAO)的底物范围非常广泛,已知的底物超过30个,可以完成多种氧化还原反应,包括4-羟基酚的氧化、4-羟基苯胺的氧化脱氨、4-甲氧基甲基酚的氧化去甲基化等。将香草醇氧化酶视为一种模型并对其进行研究能够使我们对于芳香醇氧化酶和芳香醇氧化还原反应有更新的见解。另外VAO也是一种黄素蛋白酶,研究VAO可以加深对于其他黄素蛋白家族的了解。
香草醇氧化酶简介
香草醇氧化酶的来源
香草醇氧化酶是一种来源于真菌的氧化还原酶,最先从青霉菌(Penicillium simplicissimum)中分离得到,可以氧化多种羟基对位上有取代基的酚类化合物。VAO是VAO/ PCMH 黄素蛋白家族中4-酚氧化(4-phenol oxidising,4PO)亚族中唯一已知的真菌成员。4PO亚家族催化对位取代的酚的氧化。该亚家族由两种氧化酶,香草醇氧化酶(VAO)和丁香酚氧化酶(EUGO),以及两种荧光素酶脱氢酶,对甲酚羟甲基酶(PCMH)和丁香酚羟化酶(EUGH)组成。尽管催化类似的反应,但这些酶在其电子受体偏好和低聚状态方面不同。其中,VAO形成稳定四聚二聚体型的同型八聚体,而EUGO在溶液中仅为二聚体。[3,4] 基因组分析显示VAO仅存在于几个真菌属的小部分菌种当中。基于系统发育和同线性分析,真菌更有可能通过基因水平转移获得VAO的基因,而不是通过进化获得这些基因。[3]细胞免疫学显示,VAO在细胞内主要分布在两个位置:过氧化物酶体和胞质溶胶。 VAO一级结构的C端具有WKLCOOH序列,该序列可能作为1型过氧化物酶体靶向信号(PTS1)而起到相关作用。[5]
以上是毕业论文大纲或资料介绍,该课题完整毕业论文、开题报告、任务书、程序设计、图纸设计等资料请添加微信获取,微信号:bysjorg。
相关图片展示:









