利用共培养技术直接转化秸秆制备生物燃料丁醇的研究毕业论文
2020-06-14 16:24:11
摘 要
近几年来,在化石资源迅速消耗、环境污染问题加剧等多重压力下,大力开发生物燃料,其中,丁醇就是一种新一代可代替的新能源。利用廉价丰富可再生的木质纤维素为原料制备生物丁醇广泛关注。这需要降解纤维素并且利用降解纤维素所产生的糖来发酵生产丁醇,整个流程比较复杂。为简化生产工艺,本论文提出了一种嗜纤维梭菌和丙酮丁醇梭菌混合发酵策略,即纤维素降解和丁醇发酵在一个反应器内进行。首先,提前确定嗜纤维梭菌和丙酮丁醇梭菌各自的培养生长条件,之后进一步获得了混菌共培养的方法;其次,在混菌发酵共培养中,考察不同浓度的秸秆对丁醇产量的影响。根据产量对发酵过程中的pH进行了优化,结果表明最佳的稻草浓度为30g/L,两菌的培养温度为37 ℃,最适生长pH为5.5;最后,为进一步提高丁醇的产量,通过外源添加不同浓度的烟酸和Fe2 来强化辅酶的供给和关键酶的酶活,结果表明外源添加物烟酸对丁醇产量的影响很小,而当外源添加0.01g/L的Fe2 时,丁醇浓度可达0.72 g/L,比对照提高了53.53%。初步实现了从木质纤维素到生物燃料丁醇的生物转化,为开发绿色、低碳的丁醇合成技术提供了新的思路和参考。
关键词:混菌发酵 木质纤维素素 丁醇 厌氧梭菌
ABSTRACT
In recent years, in the fossil resources consumption, environmental pollution aggravate multiple pressure, vigorously develop biofuel, among them, the butyl alcohol is a kind of new generation can be instead of new energy.Using cheap abundant renewable wood fiber as raw material preparation of biobutanol wide public concern.Need to degrade cellulose and to use the degradation of cellulose produced by fermenting sugar to produce butanol, the entire process is more complex.To simplify the production process, this paper puts forward a compulsive fiber clostridium and acetone butanol clostridium mixed fermentation strategy, namely cellulose degradation and butanol fermentation in a reactor.First of all, determine in advance addicted to fiber clostridium and acetone butanol clostridium cultivating their growth conditions, further to obtain the mixed bacteria after cocultivation method;Secondly, in the mixed bacteria fermentation in all cultures, studying the effect of different concentrations of straw to butanol production.According to output the pH of the fermentation process is optimized, the results show that the best concentration of straw for 30 g/L, the cultivation of the two bacteria temperature of 37 ℃, the optimum growth pH 5.5;Finally, in order to further improve the production of butanol, by adding different concentrations of exogenous niacin and Fe2 to strengthen the supply of coenzyme and enzyme activity of key enzymes, and the results showed that exogenous additives nicotinic acid butanol production impact is very small, and when exogenous add 0.01 g/L of Fe2 , butyl alcohol concentration of 0.72 g/L, 53.53% higher than that of control.Preliminary realized from lignocellulose bioconversion to biofuel butanol, for the development of green, low-carbon butanol synthesis technology provides a new way of thinking and reference.
Key word: Mixed fermentation;lignocellulose;butanol;anaerobic Clostridium
目录
摘要 1
ABSTRACT 2
第一章 文献综述 1
1.1丁醇简介 1
1.2木质纤维素制备丁醇 1
1.3混菌发酵制备丁醇 1
1.4本论文的研究意义与内容 2
第二章 材料与方法 4
2.1实验材料 4
2.1.1 实验菌种 4
2.1.2 培养基 4
2.1.3 实验器材 5
2.2实验方法 5
2.2.1 秸秆的预处理 5
2.2.2 嗜纤维素菌种子的活化 5
2.2.3 丙酮丁醇梭菌的活化及适应 5
2.2.4 菌体细胞pH的检测与调控 6
2.2.5 厌氧筛选丁醇产量最佳的稻草浓度 6
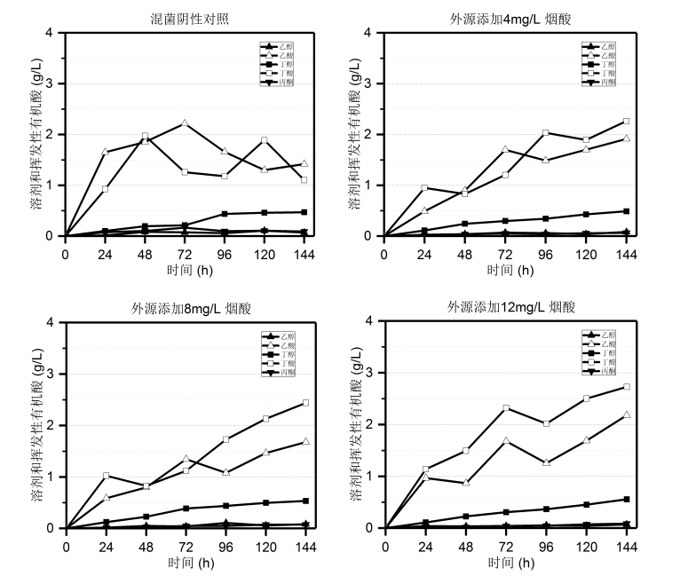
2.2.6 添加烟酸对丙酮丁醇梭菌 NJ-4发酵的影响 6
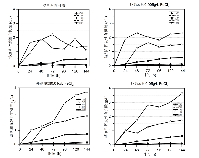
2.2.7 添加Fe2 离子对丙酮丁醇梭菌 NJ-4发酵的影响 7
2.3检测分析方法 7
2.3.1 发酵液中有机酸及丁醇产量的检测 7
2.3.2 菌体pH检测 7
第三章 结果与讨论 8
3.1 丙酮丁醇梭菌的生长情况 8
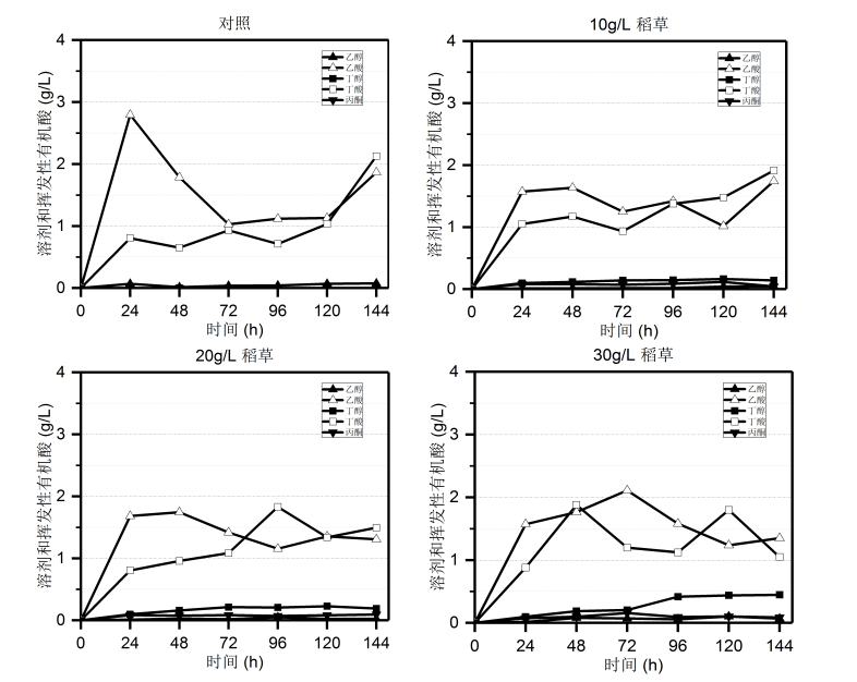
3.2 混菌发酵的最佳秸秆浓度 9
3.3 烟酸对丙酮丁醇梭菌 NJ-4发酵的影响 11
3.4 Fe2 离子对丙酮丁醇梭菌 NJ-4发酵的影响 13
第四章 结论 17
4.1 结论 17
4.2 不足与展望 17
参考文献 17
致谢 21
第一章 文献综述
1.1丁醇简介
考虑到波动的汽油价格和化石燃料储备不足,发展新一代的可再生能源和成本低廉的生物燃料成为一个急迫的任务。丁醇,作为一种可再生的能源载体,在过去的几十年里有了越来越多的关注。丁醇和生物燃料乙醇相比,不仅是可替代、可再生的能源,还有很高的能量,较低的蒸汽压,热值也高于乙醇。在各种各样的丁醇生产过程中,由于其环境和社会效益的可持续发展,从纤维素生产生物质收到更多关注,关注生产厌氧丁醇。在此之前我们国家也尝试用过玉米淀粉作为底物生产发酵丁醇,用于工业化的生产,另外加上石化资源的日益消耗、二氧化碳气体排放的环境问题愈加严重,开发新的可利用的资源,利用农业废弃物生产生物能源引起了很多人的关注。利用木质纤维素产丁醇的方法包括酶法、化学法、物理法。利用酶法最高效,可以利用纤维素中难利用的糖类,但是直接加入酶使木质纤维素生产丁醇的成本居高,缺乏有力的市场竟争力。目前的策略,从生产丁醇的原料入手,通常涉及在厌氧发酵前酶水解步骤将纤维素生物质转化为单糖。
为了高效降解木质素产丁醇,需要参与混菌发酵的两种菌株都正常生长,生产出多种可以水解木质素的酶,同时还要能高效利用水解之后得到的己糖、戊糖生产丁醇,其中需要考虑生长条件的协调等问题。本次研究的课题主要是通过将厌氧的木质纤维素降解菌株嗜纤维素菌能同时和利用己糖和戊糖的丁醇生产菌丙酮丁醇梭菌进行混菌培养。
相关图片展示:








        
            
