钴基MOF纳米棒的合成及其对葡萄糖的无酶检测毕业论文
2020-04-23 20:14:26
摘 要
本论文主要以乙酸钴(Co(OAc)2·4H2O)与尿素(CO(NH2)2)为原料成功合成2m长的Co-urea纳米棱柱,并且在不同的反应条件下进行修饰得到了Co-urea室温修饰材料,ZIF-67中空纳米棱柱和Co3O4中空材料。其中,ZIF-67和Co3O4材料具有中空多孔结构。此外将这些材料作为葡萄糖氧化的无酶电催化剂,都展现了良好的电化学催化活性,这些化学反应特性与其中空多孔的结构密不可分。在碱性溶液中Co存在各种氧化态,相应的Co(II)/Co(III)氧化还原峰应出现在循环伏安图中。在0.1 M的NaOH溶液中,我们对上述材料进行工作曲线的测定,得到了氧化峰电流与扫速、葡萄糖浓度的关系,实验制备出的三种基于钴基纳米棒是葡萄糖无酶催化氧化很有前景的电催化剂材料。
关键词:钴基MOF材料 无酶传感 无酶催化 葡萄糖
Abstract
In this thesis, Cobalt(II) acetate tetrahydrate (Co(OAc)2·4H2O) and urea (CO(NH2)2) were used as raw materials to successfully synthesizeCo-urea nanoprisms with the length of 2μm, and then they were modified under different reaction conditions to prepare their derived materials such as modified Co-urea materials at room temperature, ZIF-67 hollow nanoprisms and Co3O4 hollow material. Wherein,ZIF-67 and Co3O4 materials have hollow porous structures. In addition, the materials exhibit excellent electrochemical catalytic activity as an enzyme-free electrocatalyst for glucose oxidation, and these chemical reaction characteristics are inseparable from their hollow porous structures. Co possesses various oxidation states in an alkaline solution, and the corresponding Co(II)/Co(III) redox peak should appear in the cyclic voltammogram. In the 0.1 M NaOH solution, we measured the working curve of the above materials, and obtained the relationship between the oxidation peak current and the sweep rate and glucose concentration. The three cobalt-based nanorods prepared by the experiment may be potential electrocatalysts for enzyme-free glucose oxidation.
Key words: Co-based MOF material; enzyme-free sensor; nonenzymatic catalysis; glucos
目录
摘要
Abstract
目录
第一章 简介
1.1 引言
1.2 葡萄糖传感器的概述
1.2.1 色谱法
1.2.2 光谱法
1.2.3 电化学法
1.3 葡萄糖电化学生物传感器的分类
1.3.1酶基葡萄糖传感器
1.3.2 无酶葡萄糖传感器
1.4 基于纳米材料的葡萄糖无酶传感器
1.4.1 基于贵金属及其合金构建无酶传感器
1.4.2基于过渡金属材料构建无酶传感器
1.4.3 Co基无酶葡萄糖传感器
1.4.4金属有机骨架材料构建无酶传感器
第二章 实验部分
2.1实验试剂
2.2实验仪器
2.3电极材料的制备
2.3.1 Co-urea前驱体材料的合成
2.3.2 Co-urea室温修饰材料的合成
2.3.3 ZIF-67中空纳米棱柱的合成
2.3.4 Co3O4中空材料的合成
2.3.5 电极的制备
2.4 CV曲线测试
第三章 结果与讨论
3.1 Co-urea前驱体材料
3.1.1 扫描电子显微镜表征(SEM)
3.1.2能谱(EDX)及X射线衍射(XRD)表征
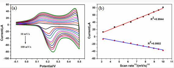
3.1.3 Co-urea前驱体的电化学性能测试
3.2Co-urea室温修饰材料(Co-urea-MeIm)
3.2.1 扫描电子显微镜(SEM)、透射电子显微镜(TEM)表征
3.2.2 Co-urea室温修饰材料的电化学性能测试
3.3 ZIF-67中空纳米棱柱
3.3.1扫描电子显微镜(SEM)和透射电子显微镜(TEM)表征
3.3.2 能谱(EDX)和X-射线衍射(XRD)表征
3.3.3 ZIF-67中空纳米棱柱的电化学性能测试
3.4 Co3O4中空材料
3.4.1 扫描电子显微镜(SEM)和透射电镜(TEM)表征
3.4.2能谱(EDX)和X-射线衍射(XRD)表征
3.4.3 Co3O4中空材料的电化学性能测试
第四章 结论与展望
4.1 结论
4.2 展望
参考文献
致 谢
第一章 简介
1.1 引言
葡萄糖作为人体的重要特征化合物,其分析和检测在生物技术、临床诊断和食品工业等领域是很重要的部分[1]。在临床医学中,糖尿病严重危害人们的健康,但是糖尿病的诊断与治疗一直是医学界的重大难题之一。血糖浓度水平是衡量人体的新陈代谢能力和用于上诊断糖尿病重要的指标。
1.2 葡萄糖传感器的概述
研究表明,严格的控制糖摄入可以改善糖尿病患者的生存期,且可预防与1型和2型糖尿病相关的并发症[2~3]。因此,通过精确测量糖尿病患者的血糖浓度,就能够对糖尿病进行有效的监测和治疗。目前,检测葡萄糖浓度的方法有多种,如色谱法、光谱法和电化学方法等[4~5]。
1.2.1 色谱法
相关图片展示:








        
            
