三间氨基苯基均三嗪化合物合成工艺研究毕业论文
2020-07-09 20:43:28
摘 要
Abstract II
第一章 综 述 1
1.1均三嗪化合物的背景 1
1.2均三嗪类的化合物普遍应用的领域 1
1.2.1应用于农药和除草剂领域 1
1.2.2应用于医药产品领域 1
1.2.3应用于有机染料领域 2
1.2.4应用于荧光增白剂领域 3
1.2.5应用于有机电致发光材料领域 3
1.2.6应用于配位化学领域 4
1.2.7应用于灭火和绝缘高分子材料领域 4
1.2.8应用于树状大分子化合物领域 5
1.2.9应用于固相有机反应领域 6
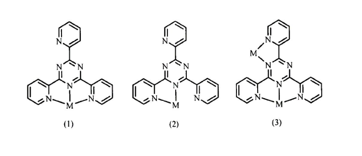
1.3均三嗪类衍生物的配位模式 7
1.4均三嗪类型的配合物的功能 8
1.4.1分子载体 8
1.4.2发光材料 8
1.5均三嗪类化合物的合成机理 9
1.5.1闭环缩合反应 9
1.5.2亲核取代反应 9
1.6均三嗪类化合物的合成工艺 10
1.6.1关于2,4,6-三对硝基苯氧基-1,3,5-均三嗪的合成 10
1.6.2以对乙酰氨基酚作为主要原料的方法来合成1, 3, 5-三 ( 4-(烯丙氧基 )苯基 ) -1, 3, 5-三嗪 11
1.7均三嗪类型的衍生物的合成工艺 11
1.7.1利用三乙烯基均三嗪类型的衍生物来制作三甲基均三嗪类型的衍生物 11
1.7.2环聚合成均三嗪衍生物 12
1.8论文研究的目的、意义 12
第二章 实验部分 13
2.1实验材料和仪器 13
2.1.1材料 13
2.1.2仪器与设备 13
2.2实验内容 13
2.2.1 Three aminophenyl s-triazines的制备 13
2.3单因素实验 14
2.3.1有无氮气保护对收率的影响 14
2.3.2催化剂的投放量对收率的影响 15
2.3.3反应温度对收率的影响 15
2.3.4反应时间对收率的影响 15
2.4正交实验 15
第三章 实验结果与讨论 16
3.1产物的理化性质 16
3.2产物的结构表征 16
3.2.1 2,4,6-三(3-氨基苯基)-1,3,5-三嗪 16
3.3单因素实验 18
3.3.1有无氮气保护对收率的影响 18
3.3.2催化剂用量对收率的影响 19
3.3.3反应温度对收率的影响 20
3.3.4反应时间对收率的影响 21
3.3正交实验 21
第四章 结论与展望 23
4.1结论 23
4.2展望 23
参考文献 24
致谢 27
三间氨基苯基均三嗪合成工艺研究
摘 要
均三嗪类化合物由于其广谱作用、功效等特点强烈吸引越来越多的关注。关于农药的应用,均三嗪衍生物具有优异的抗菌、杀虫、除草和抗病毒的活性。均三嗪类化合物具有广泛的研究和开发前景。
本论文以间氨基苯甲腈和三氟甲磺酸为原料合成三间氨基苯基均三嗪。合成的产物具有重要的实用价值,在论文中,通过核磁共振和红外光谱法对三间氨基苯基均三嗪进行了表征。并对其反应条件进行了单因素研究,得到了各个因素的优化值,进而,将优化值进行正交优化实验。分析得到最优因素为有氮气保护环境下进行反应、三氟甲磺酸14 mL、温度25 ℃、反应时间24 h。
关键词:三间氨基苯基均三嗪 合成 间氨基苯甲腈 工艺优化
Study on Synthesis Process of Three Aminophenyl S-triazines
Abstract
The s-triazine compounds have attracted more and more attention due to their broad-spectrum effect and efficacy. Regarding the application of pesticides, s-triazine derivatives have excellent antibacterial, insecticidal, herbicidal and antiviral activities. The s-triazines have a wide range of research and development prospects.
In this thesis, three aminophenyltriazines were synthesized from m-aminobenzonitrile and trifluoromethanesulfonic acid.The synthesized products have important practical value. In the paper, three aminophenyltriazines were characterized by NMR and IR spectroscopy.A single factor study was conducted on the reaction conditions, and the optimal values of various factors were obtained. Then, the optimization values were optimized by orthogonal experiments.The optimal factors for the analysis were the reaction under nitrogen atmosphere, 14 mL of trifluoromethanesulfonic acid, temperature of 25 ℃, and reaction time of 24 h.
Key words: Three aminophenyl s-triazines;Synthesis;M-aminobenzonitrile; Process optimization
第一章 综 述
1.1均三嗪化合物的背景
均三嗪类型的含能有机物有很多优点,比如有着非常高的氮含量、非常高的密度以及良好的热稳定性等等 [1],它是目前学者们正在努力探索的一种新型的高氮含能有机物,在化学领域尤其是有机的化学领域,有着非常重要的地位。其中1,3,5-三嗪类化合物(即均三嗪类化合物)主要是三嗪类含能化合物的研究方向。
均三嗪的分子有着比较与众不同的骨架-芳香环骨架,在均三嗪分子中的三种碳原子能够与杂原子或者是烃基进行连接,以此来形成各式各样的三取代均三嗪分子,它们有个特点,就是都具有星型结构。均三嗪类的衍生物结构比较特殊,它是由三个活性的氯原子以及比较稳定的六元环作为母体结构而组成,其中官能团如-OH、-NH2、-SH、-NHR可以取代氯原子并产生不同的衍生物,适用于各个领域[2]。有一种非常重要的均三嗪前体-三聚氯氰(C₃N₃Cl₃),它的结构是由三个氯原子以及一个非常稳定六元氮杂环构成,在这其中,有三个氯原子的反应活性比较高,它们能够与氢官能团来进行亲核取代反应[3]。
1.2均三嗪类的化合物普遍应用的领域[4]
1.2.1应用于农药和除草剂领域
在农药、除草剂和杀真菌剂的领域,均三嗪衍生物类型的试剂占据很大的一部分,其主要的用处包括:良好的除草或杀菌的效果,而且对动物有较低的毒性,其溶解性也比较差,不会污染到自然界中的水资源。
1.2.2应用于医药产品领域
相关图片展示:








        
            
