年产50吨双醛淀粉的工艺设计毕业论文
2020-02-19 11:50:18
摘 要
双醛淀粉化学活性高、碱溶性好、易交联接枝、粘结力强、不易发霉、容易糊化,同时它还安全卫生,可生物降解,在多个领域有着广泛的用途和广阔的市场前景。随着近年技术的进步,双醛淀粉的生产工艺逐渐成熟,为了进行更深入的研究、发掘和开发它的价值,本文拟对双醛淀粉进行年产50吨的工艺设计。
本文以双醛淀粉的现有生产工艺流程以及反应机理为理论基础,拟定采用电解氧化二步法批量生产双醛淀粉,进一步通过结合双醛淀粉的性质与应用得出生产双醛淀粉所需的最佳反应装置、反应流程、反应条件和反应物料等,再通过反应物和生成物的理化性质,对反应过程进行物料衡算和热量衡算,接着查阅设备设计的相关标准,计算相关设备的筒体和夹套的内径、高度和厚度,并对计算结果进行水压校核,确定各个部件的材质和型号,最后根据相关参数绘制出本设计的工艺流程图、平面布置图和设备装备图。
关键词:双醛淀粉;工艺流程;反应釜;物料衡算;热量衡算
Abstract
Dialdehyde starch has high chemical activity, good alkali solubility, easy cross-linking grafting, strong adhesion, not easy to mold, easy to gelatinize. At the same time, it is safe, hygienic and biodegradable. It has a wide range of uses and a wide range in many fields. market expectation. With the advancement of technology in recent years, the production process of dialdehyde starch has gradually matured. In order to carry out more in-depth research, discovery and development of its value, this paper intends to design a process of producing 50 tons per year of dialdehyde starch.
Based on the existing production process and reaction mechanism of dialdehyde starch, this paper proposes to mass-produce dual-aldehyde starch by electrolytic oxidation two-step method, and further obtain the required production of dialdehyde starch by combining the properties and application of dialdehyde starch. The optimal reaction device, reaction process, reaction conditions and reaction materials, etc., through the physical and chemical properties of the reactants and products, the material balance and heat balance of the reaction process, and then refer to the relevant standards of equipment design, calculate the relevant equipment The inner diameter, height and thickness of the cylinder and the jacket, and the hydraulic pressure check of the calculation results, determine the material and model of each component, and finally draw the process flow chart, floor plan and equipment equipment drawing of the design according to relevant parameters.
Key Word: Dialdehyde starch; process flow; reaction kettle; material balance; heat balance
目 录
第1章 绪论1
1.1 双醛淀粉的性质1
1.2 双醛淀粉的用途2
1.2.1 造纸行业2
1.2.2 建筑材料4
1.2.3 纺织行业5
1.2.4 生产薄膜5
1.2.5 皮革工业6
1.2.6 食品方面7
1.2.7 其他方面7
1.3 双醛淀粉的市场意义7
1.4 本次设计的目的与意义8
第2章 生产方案的选择9
2.1 双醛淀粉的生成方法9
2.1.1 一步法9
2.1.2 二步法10
2.2 氧化剂的回收方法10
2.2.1 化学回收法10
2.2.2 电解回收法11
2.3 生产方案的确定11
第3章 生产工艺流程设计与说明12
3.1 生产工艺流程图12
3.2 生产工艺流程说明12
3.2.1 反应机理12
3.2.2 反应条件13
第4章 工艺计算14
4.1 物料衡算14
4.1.1 物性数据14
4.1.2 设计依据14
4.1.3 计算依据14
4.1.4 计算过程15
4.1.5 计算结果15
4.2 热量衡算16
4.2.1 计算依据16
4.2.2 计算过程17
第5章 设备的设计与选型19
5.1 主要设备的选型19
5.1.1 筒体的选型19
5.1.2 夹套的选型22
5.1.3 筒体和夹套的计算结果23
5.1.4 反应釜的搅拌装置24
5.2 辅助设备的选型25
5.2.1 反应釜辅助设备的选型25
5.2.2 电解槽的选型25
5.2.3 过滤器的选型26
5.2.4 洗涤塔的选型26
5.2.5 干燥器的选型26
5.2.6 粉碎机的选型26
第6章 设备布置28
6.1 设备布置的要求28
6.2 设备布置的描述28
第7章 环境和安全评估29
7.1 环境评估29
7.1.1 反应过程中的物料的环境评估29
7.1.2三废处理29
7.2 安全评估29
第8章 总结30
8.1 工艺流程30
8.2 工艺计算30
8.3 设备的设计与选型30
参考文献32
致谢33
第1章 绪论
1.1双醛淀粉的性质
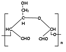
双醛淀粉(Dialdehyde starch)的结构式下图1.1所示:

图1.1 双醛淀粉结构式
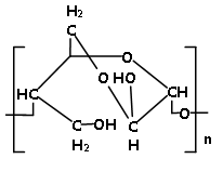
1937年最早用高碘酸将淀粉氧化制成双醛淀粉的是Jackson和Hudson(DAS)[1]。当氧化剂为高碘酸时,淀粉的氧化反应具有很高的专一性,因为它只会氧化葡萄糖残基上的和上的羟基生成羰基,并拆开和键,生成双醛淀粉。双醛淀粉中的醛基在氧化过程中不一定以游离形态存在,有可能以苯醇伯基的半醛醇结构(a)或者半缩醛结构(b)又或者以与水分子结合而成的半醛醇结构(c)而存在。但是这三种结构都不太稳定,容易断裂形成原来的结构形式。(a)(b)(c)的结构式如下图1.2所示:



- (b) (c)
图1.2 双醛淀粉非游离态结构式
双醛淀粉分子中含有的醛基官能团有很多且易反应,具有较高的化学活性,双醛淀粉能发生水解或者还原反应,生成其他的衍生物如乙二醇等。双醛淀粉还具有碱溶性、易交联接枝、粘结力强、不易发霉、容易糊化等许多良好特性,并且它有良好的卫生安全性,生物降解性和化学活性,用途广泛,它自身也可作为天然或者合成高分子的交联剂。
双醛是多聚醛化物,它的物理性质和化学性质与淀粉相差甚远,但是外观与淀粉相似,可微溶于热水,溶于热水会形成一层透明薄膜。它不像淀粉那样遇碘变成蓝色,它的颗粒是黑色的,能溶于热水缺不能溶于冷水[6]。
1.2双醛淀粉的用途
由于双醛淀粉( DAS )分子中含有的许多易反应的醛基官能团,因而它在市场上深受企业家的欢迎。早在六十年代双醛淀粉的许多工业用途就被开发出来了,主要可用作造纸增强剂和施胶剂、木材粘接剂(DAS与蛋白质交联)、生产明胶软片、生皮鞣革剂、聚乙烯醇薄膜固定剂、烟片(纸)生产、涂料、粘接精密铸件模砂、口香糖添加剂等[11]。
1.2.1造纸行业
双醛淀粉经常被使用在造纸工业中。它可用作制作纸张添加剂,通过合并淀粉和干酪素,与含有羟基、酰基和氨基的化合物合并作用,此外在造纸工业上一些有用的添加剂如尿素、三聚氰酰胺、丙烯酰胺、亚硫酸氢盐等都是它的衍生物[12]。因为双醛淀粉能使纸的湿强度增加,所以它在造纸行业的施胶交联剂方面广泛使用。将它加入纸张能起到耐油和耐水的作用,并且它无毒无害,所以包装纸袋方面会利用双醛淀粉这一特性来进行生产[13]。
在纸张加工过程中加入湿润的双醛淀粉,扩散性能良好,双醛淀粉中的水化羰基能产生交联反应,与纤维素中的醛基反应,反应产物为半缩醛,使双醛淀粉成为纸纤维的有机组成部分,增强纸的湿强度、可改善耐油性、断裂长度、耐折度、表面强度等。
- 纸张增强剂
双醛淀粉在造纸工业上可用作湿强添加剂来增大卫生纸、面巾纸等纸制品的湿强度,在各种增强剂种,双醛淀粉的增强性是最好的,具体数值请看表1.1。
表1.1 增强剂对各种纸张的增强性
纸张名称 | 增强值(HU)(包括干和湿) | |||
DAS | PA | MF | UF | |
漂白软木亚硫酸盐 | 22 | 20 | 10 | 8 |
漂白软木硫酸盐 | 23.5 | 11.5 | 15.5 | 10.5 |
未漂白软木硫酸盐 | 24 | 16.5 | 8 | 11.5 |
漂白硬木硫酸盐 | 19 | 21 | 12.5 | 7.5 |
注:比例条件一致, 30天后测定增强值。
DAS——双醛淀粉(阳离子剂浓度为5%);
PA——聚酰胺-表氯醇树脂;
MF——三聚酰胺甲醛树脂;
UF——尿素甲醛树脂。
双醛淀粉投入纸张生产中,双醛淀粉中的醛基通过与纤维素的羟基经过半缩醛基起交联反应,能使湿强度得到提高[14]。纸张干燥成型后能紧紧粘聚纤维纸并且提高纸张的干强度[15],据报道,2%的双醛基团与氯化甜菜碱酰肼反应得的双醛淀粉保留性能较强,在纤维素上明显改善对纸的湿强度,同时也能明显改良干强度[16]。双醛淀粉不仅可以使纸张的湿强度增大,还可以使耐脂肪性、抗胀强度、耐油性、韧性、延伸性和孔隙度等性能发生改变 [17]。双醛淀粉还能在一定时间后减弱纸张湿强度,所以有很好的微生物降解性,是在卫生纸和面巾纸这些应用方面不能忽视的特点。
另外,在造纸行业用双醛淀粉作为湿强剂跟将广泛应用的三聚氰胺甲醛树脂作湿强剂相比,能降低环境污染。如果以三聚氰胺甲醛树脂为湿强剂,温度发生变化时,它容易发生反应生成甲醛。甲醛是有毒物质,对人有很大的刺激性,甚至能引发癌症。因此,造纸行业作为湿强剂的双醛淀粉有很大的发展前景。
- 纸张施胶剂
双醛淀粉是一种氧化淀粉,它糊化所需的温度较低,粘度也不高,但是粘结力很强。由于这些性质,造纸工业中的施胶剂一般都会利用双醛淀粉从而提高纸张的比破碎度、裂断长度、耐折度和表面强度等,特别是湿裂断长度。表1.2和表1.3是淀粉作为纸内施胶剂和表面施胶剂的效果。
表1.2 纸内施胶剂为DAS时的各种数据
PVA/DAS (混合液) | % | 100/0 | 90/10 | 80/20 | |
混合液加入量/%(干基) | 0 | 2 | 2 | 2 | |
涂布量/(g/m2) | 65.8 | 66.5 | 71.9 | 68.5 | |
比破裂度 | 7.16 | 7.35 | 7.85 | 8.45 | |
断裂长度 | 干 | 8.69 | 8.87 | 9.34 | 9.55 |
湿 | 0.21 | 0.34 | 1.03 | 1.57 | |
破裂强度 | 151 | 149 | 133 | 137 | |
耐折度(次) | 2600 | 2500 | 3100 | 3500 | |
表面强度 | 13A | 14A | 18A | 18A | |
可以看出在纸内加入DAS之后,纸张的表面强度、耐折度、比破裂强度和比破裂度都有了很大的提高。
表1.3 DAS作表面施胶剂的效果
PVA/DAS (混合液) | 参考例 | 不加明矾 | 加明矾 | ||
% | 90/10 | 80/20 | 80/20 | ||
涂布量/(g/m2) | 70.7 | 73.2 | 75.9 | 75.2 | |
比破裂度 | 6.46 | 9.06 | 9.95 | 8.21 | |
断裂长度 | 干 | 7.61 | 8.54 | 9.81 | 10.32 |
湿 | 0.25 | 1.36 | 1.83 | 3.04 | |
破裂强度 | 163 | 119 | 111 | 91.5 | |
耐折度(次) | 2200 | 73000 | 73000 | 73000 | |
表面强度 | 10A | 14A | 16A | 18A | |
可以看出DAS代替PVA作为纸张表面施胶剂也能其提高。
1.2.2建筑材料
您可能感兴趣的文章
- 用于甲醇制烯烃反应的SAPO-34/ZSM-5复合催化剂的原位水热结晶合成外文翻译资料
- 硫化氢在活体的化学发光探针成像外文翻译资料
- 全色发射型ESIPT荧光团对某些酸及其共轭碱负离子识别的颜色变化外文翻译资料
- 一种用于成像神经元细胞和海马组织中NMDA受体附近内源性ONOO-的双光子荧光探针外文翻译资料
- 表面功能化的Ui0-66/pebax基超薄复合中控纤维气体分离膜外文翻译资料
- 金属有机框架中的可逆调节对本二酚/醌反应:固态固定化分子开关外文翻译资料
- 二维MXene薄片的尺寸相关物理和电化学性质外文翻译资料
- 将制甲烷的Co催化剂转化为产甲醇的In@Co催化剂外文翻译资料
- MXene分子筛膜用于高效气体分离外文翻译资料
- 模板导向合成具有排列通道和增强药物有效荷载的立方环糊精聚合物外文翻译资料


