O-羧甲基壳聚糖羧甲基纤维素复合水凝胶的制备及其性能研究毕业论文
2020-02-19 11:50:33
摘 要
本文以羧甲基纤维素和O-羧甲基壳聚糖作为基材,以环氧氯丙烷作为交联剂,利用简便环保的制备方法合成了性能较为全面并且综合性能表现优良的CMC/O-CMCS复合水凝胶。
论文主要完成了对CMC/O-CMCS复合水凝胶的的结构形貌表征,测试了水凝胶的力学抗压缩性能,溶胀性能和体外降解性能,并探究了交联剂用量,不同复合比和CMC浓度等不同生产工艺条件对水凝胶溶胀,降解和力学性能的影响。
本文利用FTIR证明了已经成功制得CMC/O-CMCS复合水凝胶,电镜扫描图展示了水凝胶内部紧密的网状孔道结构。三个不同的制备工艺因素交联剂用量、羧甲基纤维素浓度和不同复合比m(CMC):m(O-CMCS)对水凝胶的各种性能如溶胀,降解和力学压缩性能的影响都具有一定的规律。本文所制得的CMC/O-CMCS复合水凝胶都具备着良好的抗压缩性,溶胀性能和可降解能力。
关键词:水凝胶;壳聚糖衍生物;羧甲基纤维素;可降解性;力学性能
Abstract
In this paper, carboxymethyl cellulose and O-carboxymethyl chitosan were used as the substrate, and epichlorohydrin was used as the crosslinking agent. CMC/O- CMCS composite hydrogel with comprehensive performance and excellent performance was synthesized by simple and environmentally friendly preparation method.
The paper completed the structural morphological characterization of CMC/O-CMCS composite hydrogel, tested the mechanical anti-compression properties, swelling properties and in vitro degradation properties of hydrogels, and explored the amount of cross-linking agent, different compounding ratio. The effects of different production conditions on the swelling, degradation and mechanical properties of hydrogels, such as CMC concentration.
In this paper, FTIR has been used to prove that CMC/O-CMCS composite hydrogel has been successfully produced. The electron microscopy scan shows the tight network pore structure inside the hydrogel. Three different preparation factors, the amount of cross-linking agent, the concentration of carboxymethyl cellulose and the different recombination ratio m(CMC): m(O-CMCS) for various properties of hydrogel such as swelling, degradation and mechanical compression properties The impact has a certain law. The CMC/O-CMCS composite hydrogel prepared in this paper has good resistance to compression, swelling and degradability.
Key words: hydrogel; chitosan derivative; carboxymethyl cellulose; degradability; mechanical properties
目录
第1章 绪论 1
1.1选题背景 1
1.2水凝胶概述 1
1.2.1水凝胶的定义 1
1.2.2水凝胶的分类 2
1.2.3水凝胶的制备方法 3
1.2.4水凝胶的应用 3
1.3壳聚糖及其衍生物 4
1.3.1壳聚糖概述 4
1.3.2壳聚糖的性质 5
1.3.3壳聚糖的应用 6
1.3.4壳聚糖的发展前景 6
1.4纤维素及其衍生物 7
1.4.1纤维素 7
1.4.2羧甲基纤维素 7
1.4.3羧甲基纤维素的应用 8
1.5本课题的设计思路和研究内容 8
1.5.1设计思路 8
1.5.2研究内容 9
第2章 实验部分 10
2.1 引言 10
2.2 试剂与仪器 10
2.2.1实验主要试剂 10
2.2.2实验主要仪器 11
2.3实验步骤 11
2.3.1O-羧甲基壳聚糖的制备 11
2.3.2CMC/O-CMCS复合水凝胶的制备 11
2.3.3CMC/O-CMCS复合水凝胶扫描电子显微镜 12
2.3.4水凝胶及其几种原料的FTIR表征 13
2.3.5水凝胶测试溶胀性能 13
2.3.6水凝胶测试力学性能 13
2.3.7水凝胶的平衡含水量测试 13
2.3.8水凝胶体外降解性能 14
第3章 结果与讨论 15
3.1 红外光谱分析 15
3.2复合水凝胶外形结构分析 16
3.3 CMC/O-CMCS复合水凝胶力学性能分析 17
3.3.1交联剂用量对水凝胶力学性能的影响图 17
3.3.2不同复合比对水凝胶力学性能的影响 18
3.3.3CMC浓度含量对水凝胶力学性能的影响 19
3.4不同工艺制备参数对复合水凝胶溶胀性能的影响 19
3.4.1交联剂浓度对溶胀性能的影响 19
3.4.2不同复合比对溶胀性能的影响 21
3.4.3CMC浓度含量对溶胀性能的影响 22
3.5CMC/O-CMCS复合水凝胶的体外降解性 24
3.5.1 不同复合比对水凝胶体外降解性的影响图 24
3.5.2 不同交联剂用量对水凝胶体外降解性的影响 25
第4章 结论 27
参考文献 29
致谢 30
第1章 绪论
1.1选题背景
现代人类的生活与化石资源息息相关,然而化石资源作为一种不可再生能源,人们已经开始意识到开采过程导致的环境污染问题和化石资源消耗殆尽后的能源危机。在20世纪末,我国以法律的形式将可持续发展战略制定为国家的基本战略。现阶段工艺与产品的发展都必须遵循可持续绿色化学发展方针。
多年来,聚合物(如聚乙烯,聚丙烯等)废弃塑料对环境造成了严重污染迫使科学界努力开发和使用环境友好型生物可降解性聚合物[1]。生物质材料被普遍认为是最具潜力的可以取代聚合物,成为未来充当人们日常生活主要能源不再依赖化石资源的物质。生物质材料在大自然的来源是非常广泛的,依靠太阳能转化为各种形式的生物质能,如果能好好利用,将会彻底解决能源危机问题,而且这些生物质材料能够依靠自然界的作用完成降解,环境污染问题也得以解决。由于其来源广泛,纤维素在大自然生物质能源含量是最多的,壳聚糖含量排在其次。壳聚糖与纤维素等物质之所以能够引起众多学者的广泛关注是因为其众多功能优点:资源可再生性、生物可降解性、生物相容性、化学改性能力、可开发应用的潜力巨大。于此同时,以纤维素或者壳聚糖为材料的水凝胶也因为其优能性开始广泛应用于人类生活生产的各个领域。水凝胶是一类能够吸收大量水分而能维持原本形态的材料,拥有三维网状孔道结构,特点是生物相容性好、溶胀吸水性优良以及摩擦系数低。纤维素基水凝胶材料的结构、性质及应用等成为研究热点,在农业,水净化,药物运输,生物医学等领域具有广泛的应用前景[2]。
1.2水凝胶概述
1.2.1水凝胶的定义
水凝胶被定义为为一种具有高功能性的高分子类聚合物,其结构表现为三维网状型,能够通过吸收水中的水分来增加自身的体积,并且可以使本身原来结构不发生改变。从一方面讲,水凝胶能具备优良溶胀性能是由于其制备水凝胶的原材料,这些原料的分子链上大多存在着类似酰胺基、羧基、羟基等亲水基团,这些亲水性官能团能够使凝胶拥有吸水性,并且水凝胶溶胀性与吸水官能团的数目成正相关。另一方面,水凝胶通常是由几种材料通过物理作用或者化学反应制备而得到,其三维网状结构中含有很多交联点,这些交联点可以在水中较为稳定的存在,以此来保持水凝胶结构与形态不会有变化。水凝胶拥有着一种高分子类的网络体系,性质稳定,即使内部结构中吸收有大量水分子,其形状依旧不会发生破坏。如图1.1所示,水凝胶内部网络虽然束缚住了吸收进来的的水分子不让其逸出,但是水依然可以自由活动具有流动性。

图1.1 水凝胶网络示意图
1.2.2水凝胶的分类
由于水凝胶的种类成千上万,其分类的方法也千变万化。根据水凝胶制备原料的来源,将水凝胶分为天然高聚物水凝胶、人工合成水凝胶和杂化水凝胶三大类[3]。天然高聚物类水凝胶主要是由多糖和蛋白类等材料合成的。胶原蛋白和明胶多用来生成蛋白类的水凝胶,纤维素与壳聚糖隶属于多糖类,由这类多糖制得的高聚物水凝胶优点很多,主要表现为原材料来源丰富、廉价、能自动降解和良好的生物相容性等方面。较为明显,力学性能和机械性能但缺点也多糖类水凝胶原料例如纤维素,壳聚糖,海藻酸钠,这类高分子水凝胶具有原料来源广泛,价格较为低廉,生物相容性较为良好,可降解性强等优点,但其力学抗压缩能力,稳定性不太令人满意,还有待提高。
根据水凝胶的三维交联网络键合方式的差异,水凝胶可以被分类为物理水凝胶,化学水凝胶。化学水凝胶在聚合物链之间通过化学键形成稳定的三维网络[4]。物理水凝胶是利用类似静电作用,氢键或分子链的互相作用等形式制得的水凝胶,这种物理水凝胶性质不稳定,在加热等条件下就会发生可逆性转变因此也被称为“假凝胶”。
随着水凝胶功能的开发,还有一种目前较为常见的新型分类方法,即智能水凝胶与普通水凝胶。传统的普通水凝胶由于主体的基团,缺少功能性,当外界的环境因素发生改变时,其体积大致上保持不变;而智能水凝胶里的某些基团或单元结构由于其可以感应四周环境的变化,当外界的因素如压力大小、光线照射的强弱、PH值、湿度高低等变化能被水凝胶感应到时,其体积会产生比较明显的变化,并且这种响应变化基本上都是可逆的。
1.2.3水凝胶的制备方法
制备水凝胶的很多高分子聚合物通常都具有许多亲水性能的基团和能够发生交联反映形成交联网络的结构。无论单体还是聚合物都能成为水凝胶的原材料。一般来说其制备方法包括单体聚合交联、水溶性高分子交联、接枝共聚和互穿网络聚合物技术等[5]。
利用某种化学引发剂或者通过电离技术辐射聚合使一类或多种单体原材料中的自由基发生均聚合或者共聚合从而制得水凝胶的方法被称之为单体聚合办法。通过此类单体交联聚合的办法所制得的水凝胶性能与制备过程中的很多因素关系密不可分,比如加入单体的浓度,反应体系温度,引发剂用量大小等等。因此可以通过控制这些影响因素来制备不同性能需求的水凝胶。
水溶性高分子交联办法先是通过化学键的作用或者静电氢键等物理作用,在特定的基团中产生交联作用而后形成的水凝胶。此类方法可分为化学交联方法和物理交联方法。化学交联方法通常是使原料线性高分子在化学交联剂的作用下制得水凝胶;物理交联法则是利用静电作用或者分子链之间的物理相互缠绕等方法交联从而得到水凝胶产品。
1.2.4水凝胶的应用
1.2.4.1生物医药
纱布是目前使用最为广泛的医用敷料,虽然常见,但其功能单一环保性差等缺点还是较为明显。水凝胶作为一种最近才兴起的医用材料,相比于纱布这种传统的医用敷料来讲,水凝胶具有以下的几条优点:1 水凝胶具有优良的溶胀保水能力,可保证伤口处的水分不流失,可以使伤口尽快痊愈;2 特殊的生物相容性,可以避免类似更换纱布对伤口造成二次损伤的情况;3 水凝胶材料的毒性特别低,对人体伤害微乎其微;4 良好的抗菌性,能够有效的避免伤口发炎感染;5 能够在水凝胶敷料的制备原料中掺杂加入某些药物,在水凝胶敷料使用时,药物释放出来可以通过缓释作用到达创口,可以起到缓解疼痛或者某些程度治疗作用,这些优异的性能都使得水凝胶作为生物医用材料应用前景十分广阔[6]。
1.2.4.2农林业保水
水凝胶具有优异的吸水能力,本身可在吸收大量水分后结构并不会发生破坏,溶胀倍率能达到几千倍,并且良好的锁水性能可以保证水凝胶里面的水分不会轻易被蒸发,是理想类型的保水剂。而且,失去性能效用的水凝胶分解后的小分子物质,在土壤中被植物吸收后能够对植物的生长提供帮助。国外一些国家已经大规模使用水凝胶解决农业用水不足的问题,确保了其在保水方面优良的效果[7]。
1.2.4.3环境治理
环境问题中的工业废水和生活废水的处理一直都是一大难题,在尝试诸多办法后有些学者开始把目光转移到水凝胶上。水凝胶含有多种活性官能团,比如羟基,氨基,羧基等等。水凝胶具备吸附性能是因为水凝胶在吸收水分溶胀体积后,这些活性基团的配位原子与金属的中心离子发生螯合作用能键合成稳定的环状,而且还能够很好的吸收某些有机溶剂中的带电荷的有机物质。大部分水凝胶都能够有效的吸附废水中重金属离子和染料[8],能有效地处理生活工业废水。
粉尘污染对呼吸道肺部伤害极大,对人类身体健康有着严重的影响,将空中粉尘通过手段凝结是一种根源解决办法。水凝胶被认为在工程施工现场有优异的抑尘效果。用水凝胶使尘粒相互凝并,固结成为大颗粒降落到地表面,抑尘效果十分良好。
1.3壳聚糖及其衍生物
1.3.1壳聚糖概述
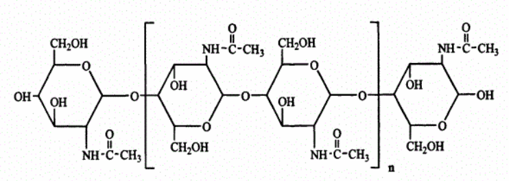
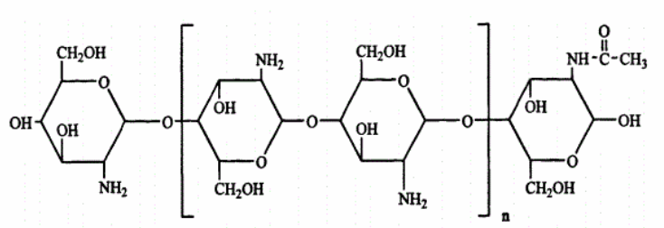
壳聚糖(Chitosan,简写CS)根据其成分与来源有很多名称比如甲壳糖,脱乙酰甲壳素,壳多糖,脱乙酰甲壳质等等。(1,4)-2-氨基-2-脱氧-β-D-葡聚糖是壳聚糖的化学名称,其分子式为(C6H11O4N)n。甲壳素来源于虾、蟹等甲壳类动物外壳和菌、藻类低等植物的细胞壁中[9]。由于其来源非常广泛,甲壳素在大自然中的含量也是非常可观的,其结构式如图1.2所示。利用化学方法在甲壳素原来乙酰基团的位置替换上一个氨基,就可以得到壳聚糖,分子式见图1.3。

图1.2 甲壳素结构式
       
图1.3 壳聚糖结构式
1.3.2壳聚糖的性质
1.3.2.1基本性质
我们常见的壳聚糖经常呈现一种为灰色或是白色的物理状态,壳聚糖是一种没有固定规则形状的固体其分子量可达到从十万到百万之间不等,分布异常的广泛。壳聚糖不溶于水、碱溶液及一些有机溶剂(如醇、醚、酮、氯仿等),这是由于其分子间存在-O...H-O型及-O...H-N型氢键的作用[10]。
1.3.2.2成膜性
由于壳聚糖及其衍生物质中存在数量众多的氢键,其形成的三维网状结构是通过基团与基团之间互相缠绕交联而成,我们可以在此基础上制得另外一种新型的膜材料通过加入合适的溶剂。越来越多的生物医学用材料研究者把注意力投入到壳聚糖类的膜材料这一领域,并且已经掀起了一股研究的热潮。
1.3.2.3吸附性
因为有乙酰基或者氨基基团存在于壳聚糖微观结构的2号C位上,CS分子结构链上的3号C位上有着羟基的存在,这些平伏键的基团组合在一起使得壳聚糖的化学结构变得有些特殊。这些基团的配位原子某些金属的中心离子与这平伏键基团的配位原子可以发生螯合作用从而键合成较为稳定的环状结构,而且还能够很好的吸收某些有机溶剂中的带电荷的有机物质。
1.3.3壳聚糖的应用
1.3.3.1农林园艺
壳聚糖及其衍生物质在农林园艺这一领域也能发挥着极具特色的作用,尤其是在植物种子的处理与保护这方面。在植物种子的表层涂抹上一层壳聚糖膜,利用其抗菌性能,可以高效地降下种子的病变率,并且幼苗出土后的免疫力也大大增加,对农林园艺中植物生长起着异常重要的作用。还有学者提出了一种以甲壳素为主要原料的有机肥料生产方案,这种肥料非常符合现代绿色肥料发展的要求,它具备了许多常规肥料所不具备的优势:以甲壳类动物残肢外壳为原材料,成本较低,没有污染,施肥效用显著。不仅如此,有学者将壳聚糖及壳聚糖衍生物应用到生物除虫剂上,可掺加在肥料,除草剂中,效用显著,药效持久并且简化了生产步骤,一次性完成了除虫、除草、施肥等多项生产工序。
1.3.3.2环境保护
壳聚糖及其衍生物作为一种新兴的理想吸附型材料,能够有效的吸附其他物质中存在的酸性基团,这是因为有很多的带正电荷氨基基团存在于在壳聚糖的分子链上,而这些氨基呈碱性所以可以很好得吸收这些酸性基团。壳聚糖、纤维素、活性炭三种混合制得吸附材料,可以用在印染厂生产的工业废水治理方面,而且这种材料过滤型号,不漏碳,吸附快,对工业废染料有很大的吸附作用[11]。壳聚糖及其衍生物还可以作为絮凝剂、废水脱色剂、金属离子吸附剂的主要原材料。
1.3.3.3医学领域
近些年有许多新型生物力学材料出现在大众视野,壳聚糖因为它能够进行生物降解,拥有良好的生物相容性引起了极大多生物医学工作者的关注。由于壳聚糖具有止血凝结细胞功能,所以当伤口敷料中的壳聚糖作用于创口时,能使伤口快速止血并且凝集创口处的细胞组织,医学药用效果十分可观。与此同时,壳聚糖能够有效的抑制伤口发炎情况发生因为其抗菌性能也很优异。因此,壳聚糖是一种较为理想的新型医学敷料。
1.3.4壳聚糖的发展前景
随着科学技术的发展,在广大学者的辛勤耕耘下,人们逐渐认识到壳聚糖及其衍生物质在农林、环境保护、化工生产、纺织、生物医药等众多领域都具有着十分可观的发展潜力,价值巨大。越来越多的人投身于壳聚糖的研究之中,有人曾提出一个观点,21世纪将进入到壳聚糖应用的时代。在我国,甲壳素资源的蕴含量十分可观,在研究应用壳聚糖方面有不可比拟的优势,我们应该抓住机会,大力发展应用壳聚糖这一新型能源。
1.4纤维素及其衍生物
1.4.1纤维素
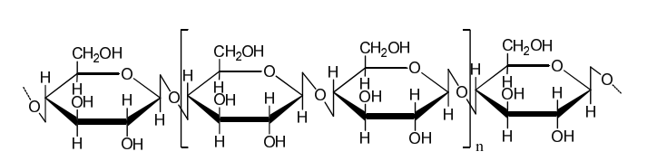
由于其来源广泛并且可以再生,纤维素在大自然生物质能源中含量是最多的, 可以预料纤维素必将成为人类未来生活最为重要的能量来源之一。纤维素从分子结构来分类属于一种线性高分子化合物,β-(1-4)-D-吡喃葡萄糖苷是其主要构成物质,纤维素的结构式如图1.4所示。从不同原料中提取出的纤维素的聚合物也不同,我们可以以此作为凭据来判断纤维素的来源,比如,从木材中提取出来的纤维素聚合度在10000左右,而聚合度接近15000的纤维素大部分是从棉花中得到的。在自然界中,纤维素不会以单独分子的形态存在,其常见形态表现成丝状的微纤维束[12]。

以上是毕业论文大纲或资料介绍,该课题完整毕业论文、开题报告、任务书、程序设计、图纸设计等资料请添加微信获取,微信号:bysjorg。
相关图片展示:







您可能感兴趣的文章
- 用于甲醇制烯烃反应的SAPO-34/ZSM-5复合催化剂的原位水热结晶合成外文翻译资料
 - 硫化氢在活体的化学发光探针成像外文翻译资料
 - 全色发射型ESIPT荧光团对某些酸及其共轭碱负离子识别的颜色变化外文翻译资料
 - 一种用于成像神经元细胞和海马组织中NMDA受体附近内源性ONOO-的双光子荧光探针外文翻译资料
 - 表面功能化的Ui0-66/pebax基超薄复合中控纤维气体分离膜外文翻译资料
 - 金属有机框架中的可逆调节对本二酚/醌反应:固态固定化分子开关外文翻译资料
 - 二维MXene薄片的尺寸相关物理和电化学性质外文翻译资料
 - 将制甲烷的Co催化剂转化为产甲醇的In@Co催化剂外文翻译资料
 - MXene分子筛膜用于高效气体分离外文翻译资料
 - 模板导向合成具有排列通道和增强药物有效荷载的立方环糊精聚合物外文翻译资料
 

        
            
