室内扩音系统自适应啸叫消除算法的研究毕业论文
2020-04-12 16:28:21
摘 要
在室内扩声系统中,因麦克风和扬声器同时存在,不可避免地会出现回声反馈现象。而对扩声系统的音量进行比较大的提升时往往会造成啸叫现象的产生。严重的回声反馈不仅影响了正常的声音信息传输,同时也抑制了系统扩声效果的提升并使扩声效果大打折扣。严重时声反馈可能会导致声音出现完全失真以至于无法完成正常的讲话与演出,甚至会使整个扩音系统无法正常工作,乃至损坏扬声器的高音单元和放大设备,使其烧毁损坏。由于回声反馈主要表现为啸叫,故对于啸叫的抑制是提升室内扩声效果的重要手段,也是对于室内扩声研究的重要命题。
为了解决上述问题,本论文在了解现有抗啸叫技术与当今理论的基础上,利用现代数字信号处理技术对自适应啸叫抑制算法进行了深入研究,基于室内这一特殊环境,通过MATLAB进行仿真对比并不断优化,提出一种适合室内扩音系统的自适应啸叫消除算法。
关键词:室内扩声;回声反馈;啸叫;自适应算法
Abstract
In an indoor sound reinforcement system, an echo feedback phenomenon will inevitably occur due to the simultaneous presence of a microphone and a speaker. The relatively large increase in the volume of the sound reinforcement system will often result in the whistle phenomenon. Severe echo feedback not only affects the normal sound information transmission, but also inhibits the improvement of the sound reinforcement effect of the system so that the sound reinforcement effect is greatly reduced. In severe cases, acoustic feedback may cause the sound to be completely distorted so that normal speech and performance cannot be completed, or even the entire sound amplification system may not work properly, or even damage the speaker's tweeter and amplify the device and cause it to burn. Since echo feedback is mainly characterized as howling, the suppression of howling is an important means to improve the effectiveness of indoor sound reinforcement, and is also an important  topic for research on indoor sound reinforcement.
	In order to solve the above problems, based on the understanding of the existing anti-whistle technology and current theories, this dissertation uses modern digital signal processing technology to conduct an in-depth study of the adaptive howling suppression algorithm, based on the special indoor environment, through MATLAB. Contrast and continuously optimize simulations, and propose an adaptive howling elimination algorithm for indoor sound reinforcement systems.
Key Words:Indoor sound reinforcement; echo feedback; howling; adaptive algorithm
目录
摘 要 3
Abstract 4
目录 5
第1章 绪论 1
1.1 室内啸叫产生原理概述 1
1.2 啸叫抑制法的国内外研究现状 2
1.2.1 陷波抑制法 2
1.2.2移频移相法 2
1.2.3自适应算法 3
1.3 本论文的主要工作 3
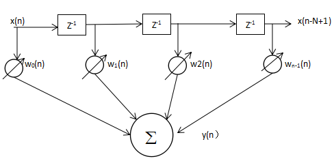
第2章 自适应啸叫抑制算法研究 5
2.1自适应算法的原理 5
2.2自适应算法的改进 6
2.2.1 LMS算法 6
2.2.2 NLMS算法 7
2.2.2 MLMS算法 8
2.2.2 重复自适应算法 9
第3章 啸叫抑制算法性能的评价标准 10
3.1客观数值评价法 10
3.1.1信噪比 10
3.1.2均方误差曲线 10
3.1.3回声抵消量 11
3.2效果评分法 11
3.2.1平均意见得分法 11
3.2.2 PESQ得分法 13
第4章 自适应啸叫抑制算法的仿真与分析 16
4.1自适应算法的简单仿真 16
4.1.1基本自适应算法的仿真 16
4.1.2重复自适应算法的仿真 18
4.2实验结果的数据分析 19
4.2.1基于均方误差曲线的算法分析 19
4.2.2基于回声反馈抵消量的算法分析 20
4.2.3基于PESQ评分法的算法分析 21
4.2.4综合分析 22
第5章 课题总结与展望 24
5.1课题总结 24
5.2今后工作的展望 24
参考文献 25
附录 26
致谢 28
第1章 绪论
1.1 室内啸叫产生原理概述
作为信号处理的一个重要领域,自诞生之日起语音信号处理就饱受回声反馈的困扰。声反馈是声音能量的一部分通过声传播的方式传到话筒而引起的啸叫现象[1],如图1-1所示,在室内环境内扩音设备会对收集到的信号进行扩音回放,而扬声器系统发出的声音又不可避免的通过不同的途径返回到传声器,形成一个闭环回路。闭环回路的存在会对扩音系统带来诸多负面影响,甚至会产生自激反馈,即我们所说的啸叫现象。

图1-1反馈产生示意图
由上述示意可知,作为一个闭环回路,室内扩声系统会不可避免的产生自激振荡。其满足奈奎斯特准则:
	
	(1.1)
	
(n为整数)	(1.2)
在式1-1与1-2中A为扩声放大电路的增益而F指反馈信号的反馈系数。即AF幅度大于等于1且同时相位和要满足2π的整数倍的条件。
诸多研究表明随着扩声信号增益的增大,反馈信号的幅度也会随着增大,但当这种反馈持续一段时间后,由于一般设备放大倍数有限,故反馈信号的幅度会达到一个阈值不在增加,而这种限幅状态从人的听觉来看就会表现为我们所说的啸叫现象。啸叫现象一经发生,轻者会造成传声器通路音量无法调大,强行调大后啸叫现象会非常严重,对现场演出造成恶劣影响,或传声器声音开大后出现声音振铃现象(即位于声反馈临界点时传声器声音的尾音现象),声音存在混响感,破坏音质;重者导致音箱或功率放大器由于信号过强而烧毁。所以只有解决啸叫才能有效的保证室内扩声的良好效果[2]。
1.2 啸叫抑制法的国内外研究现状
声反馈的研究已经有50多年历史[3],经历了人工干预、模拟自动实现到数字自动实现的过程[2],其发展出的诸多解决方法早已被广泛的应用在了众多室内扩声设备中,但随着人们的生活水平的提高,人们对扩音设备的音质效果的提升也从未得到满足,啸叫抑制的发展还需不断的提高。
通过上一节的啸叫产生条件我们可以知道,所有的啸叫解决方案无非都是从破坏啸叫产生条件出发,通过改变相位与幅度状态来实现啸叫抑制。例如可以通过改变麦克风的位置与角度或减小扩音设备的增益来使得闭环增益小于1,但由于实际条件的限制,这种方法缺乏灵活性且有损扩声效果。因此对于啸叫抑制,最有效的方法还是从相位条件出发或是直接从根本抑制声反馈。目前,主流的啸叫抑制方法主要有以下三种,分别为:陷波抑制法、移频移相法和自适应算法。
1.2.1 陷波抑制法
陷波抑制法是一种常见的啸叫抑制法,其工作原理是利用陷波器将信号中出现的反馈自激的频率点剔除来实现啸叫抑制。陷波法可以避免一些超过电平预设值的频率点所引起的不稳定状况,同时也能一定程度的降低和缓解啸叫已经发生的扩声系统中的啸叫干扰。凭借其兼顾运算效率与处理效果的特点,陷波抑制法在当今商用系统中普及率较高[4]。但由于在室内扩声设备的使用中,作为声源的说话者不可能永远站在同一个位置,故此种情况下啸叫检测会非常困难。同样考虑到各种实际场景,说话者的声音范围常常会随着演出形式的变化而变化,这种情况往往会导致陷波器对声音进行了错误的检测,将正常的高音抑制,严重影响了扩音设备的使用效果与试听体验。
针对陷波抑制法在实际使用中出现的缺陷,自动反馈陷波器应运而生[4]。例如,由Sabine公司研制的声反馈抑制器能智能跟踪啸叫发生点,在自激的频率点上设置窄波滤波器,利用陷波法来消除过大的频率峰点[5]。这种装置能够提高啸叫检测的精度,设置出最为合适的滤波器,极大的提升了陷波抑制法的泛用性。但是,这种改良设备的成本花费却十分高昂,无法广泛地适用于所有的环境。
1.2.2移频移相法
移频移相法是一系列通过改变频率与相位条件来抑制啸叫的方法。由于这些方法都存在大量相同点,故这两种对于信号的修改方式常常会被一起讨论。
首先对于移频法来说,通过对扩声系统中信号的频率搬移,反馈信号在再次被设备接收到时就不会发生与原始信号的完全重合,在理想情况下甚至可以将信号频峰搬移到信号频谷位置,这样从整个频谱来看,过大的频率峰点会被平均处理从而达到啸叫抑制的目的。然而移频法对于频率的改变会造成频率失真,对音频信号的音质有较大伤害,人耳对低频信号的这种变化能分辨出来[6],并且为了获得更大的扩声增益而移动大量频点会对原始音频的信息量有极大的影响[7]。
以上是毕业论文大纲或资料介绍,该课题完整毕业论文、开题报告、任务书、程序设计、图纸设计等资料请添加微信获取,微信号:bysjorg。
相关图片展示:








        
            
