外电场下锗在吸收边附近光学常数的研究毕业论文
2020-02-17 22:34:02
摘 要
本文主要研究在外电场条件下,锗在吸收边附近的光学常数随电场的变化特征,在前人的研究成果基础上,进一步深入探究。即借助吸收系数随电场变化的的表达式,通过折射率与吸收系数的关系(K-K关系式),进一步推导出在外电场作用下,折射率的表达式,另外提出一种新的思路,即利用第一性原理,得到外电场对能带的直接影响,然后建立临界点模型,得到介电常数模型,再通过介电常数和折射率的关系得到折射率表达式。
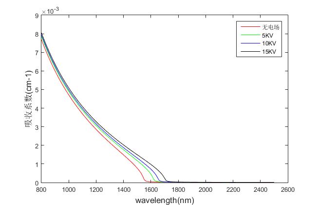
研究结果表明:随着入射光波长的增加,锗材料的吸收系数有一定的减小,在外加电场的情况下,随着电场的增加,相同入射光波长的情况下,锗材料吸收边右侧的折射率和吸收边左侧的消光系数都会有相应的增加,吸收系数也随着电场的增大而增大,从而可以体现外加电场会使锗材料的吸收边带往低能量方向移动,这一点可以用弗朗兹-凯尔迪什效应解释。外加电场会让锗的能带发生倾斜,导致光子能量低于禁带宽度的光也能被吸收,从而使锗的吸收边往低能量的方向移动。在光子能量低于能带宽度的情况下,吸收系数会有一个指数型的尾巴,在光子能量高于能带宽度的情况下,吸收系数与光子能量的平方成正比。
关键词:锗;光学常数;电光效应;第一性原理计算
Abstract
In this paper, the characteristics of the optical constants of germanium near the absorption edge varying with the electric field under the external electric field are studied. Based on the previous research results, further research is carried out. That is to say, With the expression of the absorption coefficient varying with the electric field and through the relation between the refractive index and the absorption coefficient (K-K relation), the expression of the refractive index under the action of the external electric field is further deduced. A new idea is put forward, that is, the direct influence of the external electric field on the energy band is obtained by using the first principle, and then the critical point model is established to obtain the dielectric constant model,and then,the expression of refractive index is obtained by the relationship between dielectric constant and refractive index.
The results show that the absorption coefficient of germanium decreases with the increase of incident light wavelength. With the increase of applied electric field and the same incident light wavelength, the refractive index of right side and extinction coefficient of left side of absorption side of germanium material will increase correspondingly, and the absorption coefficient will increase with the increase of electric field. The present applied electric field will cause the absorption sideband of germanium material to move towards low energy, which can be explained by the Franz-Keldish effect. External electric field will tilt the energy band of germanium, which will lead to the absorption of light whose photon energy is lower than the band gap, thus making the absorption edge of germanium move towards the direction of low energy. When the photon energy is lower than the bandwidth, the absorption coefficient will have an exponential tail. When the photon energy is higher than the bandwidth, the absorption coefficient is proportional to the photon energy.
Key Words:germaniu;optical constants;electro-optic effect;first-principles calculation
目 录
第1章 绪论 1
1.1 锗材料的光学性质与应用 1
1.2 锗的电光效应研究现状 1
1.3 第一性原理计算分析方法 2
1.4 本论文的主要研究工作及意义 3
1.4.1 具体工作 3
1.4.2 研究意义 3
第2章 锗材料的电光效应 5
2.1 锗材料的晶体结构和能带结构 5
2.1.1 锗的晶体结构 5
2.1.2 锗的能带结构 5
2.2 锗材料的电光效应 7
2.2.1 弗朗兹-凯尔迪什效应 7
2.2.2 克尔效应 8
2.2.3 光整流效应 10
2.2.4 普克尔效应 10
第3章 外加电场下仿真模型的建立 11
3.1 临界点模型 11
3.1.1 第一性原理计算锗的能带结构 11
3.1.2 临界点模型公式推导 13
3.1.3 Matlab仿真结果 14
3.2 F-K模型 18
3.3 模型总结 20
第4章 实验测量方案 21
4.1 光纤镀锗膜方案 21
4.2 基于石墨烯的测量方案 22
第5章 总结与后续工作 23
5.1 论文完成工作总结 23
5.2 存在的问题 23
参考文献 24
致 谢 25
第1章 绪论
1.1 锗材料的光学性质与应用
锗作为一种典型的半导体,在红外波段(λgt;1900nm)几乎透明,并且有着非常理想的光学性质,因此锗在光学器件中有着广泛的应用,特别是红外光学领域。锗在中红外波段,具有红外折射率高、红外透过波段范围宽、吸收系数小、色散率低等优点,主要用于制造军用红外装置的窗口、透镜、棱镜与滤光片的材料。在近红外波段,锗对近红外光又具有较强的吸收,可以用于制造红外探测器和红外成像仪的材料。
由于锗的光学常数受外界物理场的影响较大,常被用于制作光学传感器件,根据其温度与折射率的关系可以制作出温度传感器;根据其压力与折射率的关系可以制作出压力传感器。根据已有文献报道,锗的光学性质易受电场的影响,这就导致基于锗的光学传感器在某些应用场景里无法正常使用,比如对输变电设备进行监测,而且目前对锗的光学性质随外电场变化的研究较为缺乏,因此对锗在强电场环境下的光学常数进行研究具有重要意义。
锗也应用在通信领域,随着科技的发展,光导纤维的应用越来越多,光纤具有损耗低、容量大的特点,在信息传递中起到重要的作用。由于光纤通信的主要传输波长为1550nm,因此基于光纤的各种传感器大多都集中在这一波段,而锗的吸收边刚好位于1550nm波长附近,所以本文的主要工作是对锗在吸收边附近的光学常数的研究。
1.2 锗的电光效应研究现状
在外加电场的条件下,锗的折射率,吸收系数等光学常数会发生一定变化,这种现象称为锗的电光效应。电光效应主要分为两大类,一是电场直接使锗材料的介电常数发生变化,其中涉及到的效应有普克尔斯(Pockels)效应,克尔(Kerr)效应等等;二是电场间接使锗材料的光学常数,比如光学折射率发生变化,主要涉及到弗朗兹-凯尔迪什(F-K)效应,以及等离子体色散效应等[1-3]。
关于锗材料的电光效应,其理论研究十分匮乏,特别是对于吸收边附近,相关的论文报道比较少。虽然人们在很早就发现,锗材料中存在F-K效应和载流子色散效应,但是最初人们关注的只是掺杂的浓度和外加电场对锗的吸收率的影响,并且做了大量实验,来测量不同外加电场下和不同的掺杂浓度下,锗材料的光学吸收谱。之后由于硅基材料运用的兴起,人们研究了关于硅的F-K效应以及载流子色散效应等[4-5],而关于锗的电光效应的研究,在很长的一段时间里处于空窗期。近年来,以锗材料制备的一些光学调制器件开始进入人们的视野,引起了人们的兴趣,但是,锗材料的电光效应的相关理论支撑却十分匮乏[6-9]。
2012年,M.Schmid等人利用硅基锗PIN管测量了锗在0.6eV到1.2eV,即其直接带隙附近,不同温度下的F-K效应[10],文中得到的结论是锗的吸收系数改变量Δα与光子能量E的关系是成周期性变化的,这种变化符合艾里函数分布,也就是说,在光子能量小于能带宽度时,吸收系数的变化量随着光子能量的增加呈现指数增长的现象;当光子能量大于能带宽度时,吸收系数的改变量随着光子能量的增大呈现正弦衰减的现象。而且吸收系数的改变量随着外加电场强度的增大而增大。
2015年,M.Nedeljkovic等人通过第一性原理,进行了相关计算,得到自由载离子的吸收对锗材料折射率变化量的影响,但理论上载流子色散效应并不仅仅是自由载离子的吸收引起的,还包括本征吸收、激子吸收、晶格吸收等吸收机制。锗材料的吸收系数和折射率的改变与这些效应和机理都可能有关,而这些影响结果会在锗材料吸收光谱中体现,但是目前,还未有基于具体实验测量的锗的吸收谱,锗材料的折射率受F-K效应和载流子色散效应影响的报道。
2017年,吉林大学王琦等人根据前人的文献报道中的锗材料的吸收光谱数据,计算了锗材料的折射率变化量[11],涉及到的效应有F-K效应和载流子色散效应,最后给出了锗材料折射率的变化量随外加电场和载流子浓度改变和变化的公式。文章表明,在锗的间接带隙所对应的吸收边附近,F-K效应的影响并不是很明显,电场对于锗材料折射率的影响相对较弱,但在这材料的直接带隙所对应的吸收边附近,电场对于锗材料折射率的影响十分显著。
1.3 第一性原理计算分析方法
本论文用到的一个重要的仿真手段就是第一性原理计算。第一性原理计算,是根据物质内部原子核和电子之间的相互作用的原理和基本的运动规律,从研究目的出发,运用量子力学的原理,以及一些近似的计算直接对薛定谔方程进行求解的一种算法,可以求出研究物质的物理化学性质,我们通过对其的合理运用,可以模拟锗材料在外加不同电场的情况下,其能带结构的变化以及相关物理性质的改变。
目前,运用第一性原理计算方法计算半导体的光学性质的做法已经有先例。2009年,刘芳等人运用第一性原理计算,对少量锗掺杂硅的内部电子结构和光学性质进行了研究,结果表明在锗材料中掺杂硅之后,其静态的介电常数和吸收系数都有一定的增大,吸收的带宽会变窄。2015年,M.Nedeljkovic等人通过第一性原理计算,得到了自由载离子的吸收对锗材料折射率变化量的影响。
本文将会用到第一性原理计算方法,来得到在外加不同电场的情况下,锗材料的能带变化,具体会用到的软件有CASTEP,它是第一性原理计算软件Material studio 中的一个模块,它可以对半导体、金属、陶瓷等的内部电子结构,晶体结构和物化性质等等进行模拟。运用这个软件,对锗在外加电场的情况下,其能带结构、吸收系数、折射率等进行模拟仿真。
1.4 本论文的主要研究工作及意义
1.4.1 具体工作
本论文的研究方向,就是研究在外电场条件下,锗在吸收边附近的一系列电光效应。具体的工作如下:
1、建立临界点模型,首先运用第一性原理计算软件,模拟出不同电场下,锗材料的能带结构,跃迁强度等数据,再通过仿真计算出来的数据以及文献中的结果,建立临界点模型,求出介电函数随电场与入射光波长的关系式,再进一步求出折射率和消光系数的表达式,并用matlab对介电函数、折射率、消光系数、吸收系数这四个参数进行仿真。
2、建立弗朗兹-凯尔迪什模型,结合参考文献所给的数据,利用K-K关系,经过进一步的分析推导得出在外加电压的条件下,锗在吸收边附近的折射率、吸收系数等光学常数与外加电场的关系。得出吸收系数和折射率的表达式,并用matlab进行仿真。
3、查阅相关的文献,提出测量锗膜折射率的两种实验方案,一种是利用光纤端面镀锗膜的方案,另一种是利用石墨烯作为电极的方案。
1.4.2 研究意义
锗是常用的红外光学材料,也是性能优异的敏感材料。关于锗在吸收区和透明区光学性质的研究已经有很多,但是吸收边附近的光学参数的理论模型和实验数据都非常缺乏,尤其对于外加电场下锗的光学参数的研究。一般认为,理想半导体内部的电子在导体和价带之间稳定存在的可能性几乎为0,但是从量子力学的角度来看,由于存在隧穿效应,导带和价带之间每一点都存在电子或空穴的概率,只是这个概率很小而已。F-K效应认为,在半导体材料上施加电场,电子发生隧穿的几率会有很大程度的提高,即在能带之间发现电子和空穴的概率增加,特别是在吸收边附近。从光子协助电子跃迁的角度来看,这意味着低于能带宽度的光子在外加电场的协助下,也能够引发电子跃迁,从而影响半导体材料的吸收边,将使半导体材料的吸收光谱向低能量方向移动,或者产生明显的吸收带尾。因为对这种周期性变化规律的原理并不了解,所以在外加强电场的条件下锗材料的折射率和吸收系数存在一定未知性,这种未知性成为进一步研究半导体薄膜在强电场环境中应用的阻碍。
通过研究在外电场条件下,锗吸收边附近的光学常数的变化规律,我们就能合理的利用外加电场,将锗的吸收波长红移,从而对锗在红外探测器件的应用有着一定意义。锗的吸收边正好在1550nm附近,故研究出锗在吸收边的电光效应更有利于锗在通信方面的应用。另外半导体的电光效应是研究半导体性能的重要部分,而且本次研究是在前人很少研究的领域,即在吸收边附近,锗的光学常数受电场的影响,通过此次研究可以对半导体的性能有更加全面的了解。
除此之外,研究半导体的电光效应对于电光器件的设计十分重要,电光器件的一个重要特点是:可以利用相关的电光效应原理,改变电场强度,从而来调节传输光的光强度和相位信息。我们对锗的吸收边附近的电光效应的研究,对于电光调制器,电吸收调制器的相关设计有着非常重要的意义。
第2章 锗材料的电光效应
2.1 锗材料的晶体结构和能带结构
2.1.1 锗的晶体结构
锗的晶体结构决定了其能带结构和光学性质,在研究其相关性质之前必须对其结构有深入了解。
如下图2.1所示,为锗晶体中原子排列的一个单元结构,称之为晶胞[12],锗的晶胞属于立方对称型,可以看作两个面心立方的晶胞结构沿着立方体体对角线位移了四分之一对角线之后套构形成的,是一个闪锌矿型结构的晶胞,是由相同的原子组成的复式格子结构。
晶胞的各个边长为晶格常数,不同的晶体有不同的晶格常数,锗材料的晶胞结构为一个立方体,晶格常数只有一个,记为
,
=0.5658nm。原子之间形成的是共价键,共价半径为0.122nm,共价键上面的电子处于束缚状态,但是处于束缚态的价带电子可以通过吸收外界光子的能量,跃迁到导带上,成为自由电子,这就是能带之间的电子跃迁。 

图2.1 锗的晶体结构
2.1.2 锗的能带结构
根据查阅参考资料,锗的能带结构最经典的是第一布里渊能带结构图,这是1966年Cardona M,Pollak F H等人得到的[13],如下图2.2所示,这个图是利用微扰法计算得到的。从图2.2中能够看出来,能够满足电子从价带跃迁到导带的能带有很多,我们在分析过程中只考虑直接能带的跃迁,而忽略掉间接能带的跃迁,因为间接带隙的跃迁强度远远低于直接跃迁的跃迁强度。主要跃迁能带及其对应能带宽度如下表2.1所示。

图2.2 第一布里渊区锗的能带图
在后面我们用到第一性原理计算,模拟锗的能带结构的时候,会以图2.2这个经典的能带图作为一个检验误差的标准。
表2.1 主要跃迁能带对应能带宽度表[14]
能带名称  | 
  | 
  | 
  | 
  | 
  | 
  | 
能带宽度(eV)  | 0.68  | 0.80  | 2.10  | 3.12  | 4.43  | 5.82  | 
理论上来说,在
和
这两个能带处,所对应的电子的跃迁强度是最大的,此时对相应的能量的光的吸收系数最大。接下来对跃迁强度做进一步解释,为后面建立临界点模型打下基础。
在量子力学里面,发生跃迁要满足两个条件,一是入射光的能量要刚好等于能带的宽度,二是要满足波矢守恒的定律。从前人的研究中可以发现,在不考虑跃迁时间的情况之下,对跃迁几率有影响的有两个因素,一是导带和价带之间含有可以发生跃迁的电子总数,也就是电子态密度,二是跃迁的方式,查阅相关文献,我们得到在某个时刻t,电子发生跃迁的概率表达式如下:
以上是毕业论文大纲或资料介绍,该课题完整毕业论文、开题报告、任务书、程序设计、图纸设计等资料请添加微信获取,微信号:bysjorg。
相关图片展示:














        
            
