水泥回转窑内氮氧化物减排的分析毕业论文
2020-04-20 13:52:27
摘 要
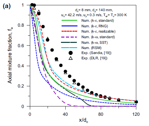
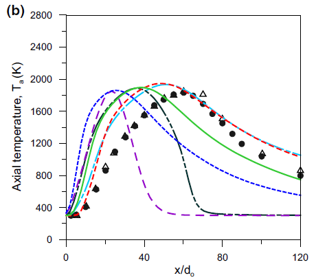
多年来,我国水泥生产及消费量一直高居世界首位。随着大型水泥预分解窑的广泛应用,由水泥窑排放的氮氧化物已成为大气NOx的第三大来源[1]。水泥工业废气NOx的排放污染已经成为生态环保突出的问题。本文针对回转窑产生的NOx,利用商业软件FLUENT建模模拟,对设计工况下水泥生产过程中NOx的生成进行了模拟,研究了窑内气相流场分布、温度场分布、氧气摩尔分数分布、一氧化碳摩尔分数分布图、二氧化碳摩尔分数分布图以及热力型、燃料型、总的NOx摩尔分数分布图分布,为控制回转窑内的氮氧化物提供理论依据。
关键字:回转窑、NOx、数值模拟、燃烧器。
Numerical simulation of nitrogen oxides in cement rotary kiln
Abstract
Over the years, China's cement production and consumption has consistently ranked first in the world. With the wide application of large cement precalcining kiln, nitrogen oxides produced by cement kilns have become the third largest source of atmospheric NOx. The emission pollution of NOx in cement industry has become a prominent problem in ecological environment protection[2]. The NOx produced in the rotary kiln accounts for about 30% of the total amount of nitride produced in the cement production process. In this paper, the NOx generated by rotary kiln is simulated by commercial software FLUENT. The generation of NOx in cement production process under design conditions is simulated. The gas field flow field distribution, temperature field distribution, oxygen mole fraction distribution, The carbon monoxide mole fraction distribution map, carbon dioxide mole fraction distribution map, and thermal, fuel type, and total NOx mole fraction distribution maps provide a theoretical basis for controlling nitrogen oxides in the rotary kiln.
Keywords: rotary kiln, NOx,Numerical simulation, burner.
目 录
第一章 绪 论 1
1.1水泥产业现状。 1
1.2回转窑简介 2
1.3NOx生成与控制方法 5
第二章 数学模型和数值算法 7
2.1基本控制方程 7
2.2湍流模型 9
2.3化学反应模型 10
2.4辐射模型 10
2.5煤粉燃烧模型 10
2.6 NO生成模型 11
第三章 几何建模 13
3.1模型假设 13
3.2CFD建模 14
第四章 模拟结果与分析 18
4.1速度场 18
4.2温度场 20
4.3气体场 22
第五章 总结与展望 28
5.1总结 28
5.2展望 28
参考文献 30
- 绪 论
 
1.1水泥产业现状。
水泥是当今世界各国使用的重要基础原材料,因其使用方便、环境亲和性好及其多项优良指标,至今仍广泛应用于基础建设、交通等各个行业,是不可替代的工业原料[3]。
多年来,我国的水泥生产及消费量高居世界首位。由于大型水泥预分解窑的广泛应用,水泥窑生产的氮氧化物等已成为大气NOx的第三大来源[1]。水泥工业废气NOx的排放污染已经成为生态环保突出的问题[4-6]。图1-1为2006-2018水泥工业废气NOx的排放统计图,从图中可以看出2006-2011年NOx排放量逐年增长,2011-2018年NOx排放量逐年下降[7]。

图1-1 2006-2018水泥工业废气NOx的排放

图1-2 2014年我国各行业NOx排放比例
2012年全国有多达1500多条的水泥新型干法生产线,年产量达20.63亿吨,同比增长16.1%,在世界各国水泥产量排名中位居首位[7, 8]。
。
图1-3 2001-2018年我国水泥年产量
但是,我国水泥工业还面临着结构性矛盾突出、经营粗放、低生产集中度和低劳动生产率、高能耗、重污染等突出问题。国家统计局资料显示出:十年来,我国每年能源消耗平均增长11.43%,超过年均GDP增长速度[7, 8]
以上是毕业论文大纲或资料介绍,该课题完整毕业论文、开题报告、任务书、程序设计、图纸设计等资料请添加微信获取,微信号:bysjorg。
相关图片展示:







您可能感兴趣的文章
- 利用污泥和低质粉煤灰制备高强度陶粒外文翻译资料
 - 注蒸汽井中硅含量对水泥石抗压强度的影响外文翻译资料
 - 碳纳米管和二氧化锰纳米粒子修饰的少层石墨烯在高性能超级电容器中的应用外文翻译资料
 - 高能MnO2纳米线/石墨烯和石墨烯不对称电化学电容器外文翻译资料
 - 影响立式辊磨机性能的操作参数外文翻译资料
 - 水泥行业立式辊磨机及其性能参数研究进展外文翻译资料
 - 立式辊磨机遇滚磨机基于能量的比较外文翻译资料
 - 一种工作在500℃以下用于固体氧化物燃料电池的铌和钽共掺杂钙钛矿阴极外文翻译资料
 - 层状钙钛矿A位缺陷的理解: 促进质子陶瓷电化学电池水氧化和氧还原的双反应动力学外文翻译资料
 - 基于细菌纤维素/木质素的柔性高石墨化碳气凝胶: 无催化剂合成及其在储能装置中的应用外文翻译资料
 

        
            
