CaOBaO对硼铝硅酸盐玻璃理化性能的影响研究毕业论文
2020-04-06 13:14:14
摘 要
本文主要探究RO-B2O3-Al2O3-SiO2系统硼铝硅酸盐玻璃中不同CaO/BaO(ω值)摩尔比值对硼铝硅酸盐玻璃理化性能的影响。硼铝硅酸盐玻璃的化学组成为:SiO2:65.65mol%,Al2O3:10.70mol%,B2O3:9.35mol%,RO:14.20mol%。研究通过六组不同的ω值下熔制硼铝硅酸盐玻璃试样的理化性能,即密度、硬度、化学稳定性、热膨胀系数、弹性模量的测量,确定相关玻璃理化性能变化规律以及最佳ω比值。
研究表明,随着玻璃试样中BaO含量的升高,即ω值的减小,玻璃试样的密度和摩尔体积呈上升趋势,密度从2.463g/cm3逐渐增加至2.562g/cm3,摩尔体积从26.586cm3/mol逐渐增加至27.456cm3/mol;玻璃试样的硬度呈下降趋势,硬度从692kgf/mm2逐渐降低至658kgf/mm2;玻璃试样的耐碱性逐渐减弱,单位面积失重则从0.88mg/cm2逐渐升高至2.23mg/cm2,耐酸性先增强后逐渐减弱,在BaO含量为1mol%时出现最优值,单位面积失重为5.56mg/cm2;玻璃试样的热膨胀系数大致呈上升趋势,热膨胀系数从37.157×10-7/K逐渐增加至39.716×10-7/K;玻璃试样的弹性模量先增加后减小,在BaO含量为1mol%时出现最大值79.72GPa,在BaO含量为4mol%时出现最小值74.64GPa后又有一个上升趋势。
综合玻璃理化性能要求,我们认为ω=7.15时,即BaO含量为1mol%时,玻璃的理化性能最佳。
关键词:硼铝硅酸盐玻璃 理化性能 碱土金属氧化物
Abstract
In this article, the effect of different CaO/BaO (ω) molar ratio on the physical and chemical properties of Boro-aluminosilicate glass in RO-B2O3-Al2O3-SiO2 system was studied. The chemical composition of Boro-aluminosilicate glass is: SiO2: 65.65mol%, Al2O3: 10.70mol%, B2O3: 9.35mol%, RO: 14.20mol%. The physical and chemical properties, including density, hardness, chemical stability, thermal expansion coefficient and elastic modulus, of Boro-aluminosilicate glasses fused by six groups of different ω were measured to determine the changes in the physical and chemical properties of the glass and the optimum ω.
In the result, with the increase of BaO content in the glass sample, with the decrease of ω, the density and molar volume of the glass sample was on the rise, the density increased from 2.463g/cm3 to 2.562g/cm3 gradually, the molar volume increased from 26.586cm3/mol to 27.456cm3/mol gradually; the hardness of the glass sample was on the declining curve, the hardness decreased from 692kgf/mm2 to 658kgf/mm2 gradually; the alkali resistance of the glass sample weakened gradually, the weightless of per unit area increased from 0.88mg/cm2 to 2.23mg/cm2 gradually, the acid resistance of glass sample increased first and then weakened gradually and the optimum value appeared when the content of BaO was 1mol%, the weightless of per unit area was 5.56mg/cm2; the thermal expansion coefficient of the glass sample showed an upward trend roughly, the thermal expansion coefficient increased from 37.157×10-7/K to 39.716×10-7/K gradually; The elasticity modulus of the glass sample increased first and then decreased, the maximum value occurred when the content of BaO was 1mol%, the maximum elasticity modulus was 79.72GPa, after the minimum value occurred when the BaO content was 4mol% it had a rising trend, the minimum elasticity modulus was 74.64GPa.
Considering the physical and chemical properties of glass, we think that when the content of BaO is 1mol%, when ω=7.15, the physical and chemical properties of glass are the best.
Key words:Boro-aluminosilicate glass,physical and chemical properties,alkaline earth metal oxides
目 录
第1章 绪论 1
1.1 硼铝硅酸盐玻璃简介 1
1.1.1 硼铝硅酸盐玻璃的结构 1
1.1.2 硼铝硅酸盐玻璃的性能 2
1.1.3 硼铝硅酸盐玻璃的应用 3
1.2 碱土金属氧化物对硼铝硅酸盐玻璃的影响 3
1.3 硼铝硅酸盐玻璃体系国内外研究现状 4
1.4 本课题的研究意义、研究目标及研究内容 5
1.4.1 研究意义 5
1.4.2 研究目标 6
1.4.3 研究内容 6
第2章 实验过程与测试方法 7
2.1 实验思路 7
2.2 实验原料和设备 7
2.2.1 实验原料 7
2.2.2 实验设备 8
2.3 玻璃结构和性能测试方法 9
2.3.1 红外光谱 9
2.3.2 密度 9
2.3.3 显微维氏硬度 10
2.3.4 化学稳定性 10
2.3.5 热膨胀系数 11
2.3.6 弹性模量 12
第3章 ω值变化对硼铝硅酸盐玻璃结构和性能的影响 13
3.1 前言 13
3.2 硼铝硅酸盐玻璃的制备 13
3.2.1 玻璃原料配制 13
3.2.2 玻璃烧成及退火 14
3.2.3 玻璃样品制备 15
3.3 硼铝硅酸盐玻璃结构和性能分析 15
3.3.1 玻璃红外光谱的分析 15
3.3.2 玻璃密度的分析 16
3.3.3 玻璃硬度的分析 17
3.3.4 玻璃化学稳定性的分析 18
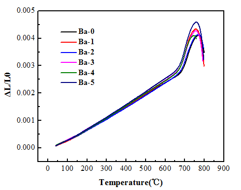
3.3.5 玻璃热膨胀系数的分析 20
3.3.6 玻璃弹性模量的分析 22
3.4 本章小结 23
第4章 结论与展望 24
4.1 结论 24
4.2 展望 24
致谢 25
参考文献 26
第1章 绪论
1.1 硼铝硅酸盐玻璃简介
硼铝硅酸盐玻璃和传统硅酸盐玻璃在组成和结构上有明显差异,导致两者在性能上也存在差异。传统硅酸盐玻璃结构简单,烧成制度和烧成工艺十分完善,广泛应用于大型基础设施和日常生活中。目前常见的传统平板玻璃的生产多采用浮法玻璃生产工艺[1]。硼铝硅酸盐玻璃与传统的钠钙玻璃体系相比,性能更加优越,硼铝硅酸盐玻璃结构稳定,化学性质稳定,轻质高强,适用于高尖端科技领域,目前多用于制作电子显示器的基板玻璃。硼铝硅酸盐玻璃中铝含量较高,使得玻璃具有较高强度和较大硬度,但同时也使得玻璃的烧成温度较高,给玻璃的烧成制度带来一定的挑战,但是随着玻璃烧成技术的不断提高,玻璃研究者对硼铝硅酸盐玻璃的研究不断深入,使得硼铝硅酸盐玻璃的应用更加广泛。
1.1.1 硼铝硅酸盐玻璃的结构
硼铝硅酸盐玻璃的化学组成为RO-B2O3-Al2O3-SiO2(R=Mg、Ca、Sr、Ba)。在硼铝硅酸盐玻璃体系中,存在着许多网络形成体,比如SiO2和B2O3;还有许多的网络中间体,比如Al2O3;以及一些网络外体,比如各种碱土金属氧化物[2]。碱土金属向硼铝硅酸玻璃中引入,虽然能改善玻璃结构,赋予玻璃更多的优良性能,但同时也会使得玻璃的熔制、澄清和成型过程变得困难。目前,随着玻璃烧成技术的不断提高,除SiO2、Al2O3、B2O3、RO这些主要氧化物外,玻璃研究者逐渐开始关注和研究稀土金属对硼铝硅酸盐玻璃结构和性能的影响[3]。对于硼铝硅酸盐玻璃体系而言,SiO2、B2O3、Al2O3是玻璃结构中的三种主要的氧化物,它们在玻璃结构中有着不可取代的作用。
SiO2是玻璃网络形成体,也是玻璃网络结构中的骨架。SiO2作为硼铝硅酸盐玻璃体系中的主要组成成分,在玻璃结构中以硅氧四面体[SiO4]的形式存在,有利于提升玻璃的强度、硬度、玻璃软化温度、化学稳定性。玻璃中的氧硅比对玻璃结构和性能影响显著,当玻璃结构中游离氧含量升高,氧硅比增大,玻璃网络结构遭到破坏,化学稳定性减弱,玻璃的流动性增大,黏度减小[4]。
B2O3也是玻璃网络形成体,在玻璃结构中主要以硼氧四面体[BO4]和硼氧三角体[BO3]这两种形式存在,通常玻璃中的B2O3由原料中的硼酸提供。在游离氧充足的情况下,硼氧三角体[BO3]倾向于结合游离氧成为硼氧四面体[BO4],使玻璃结构更加紧密,玻璃的化学稳定性提高。B2O3可以降低玻璃的高温粘度,提高玻璃的低温粘度。在高温时,B2O3不易于形成硼氧四面体[BO4],倾向于形成硼氧三角体[BO3],由此可以降低玻璃的高温黏度;在低温时,B2O3倾向于形成硼氧四面体[BO4],使玻璃的结构紧密,使得玻璃的高温黏度降低。
Al2O3是玻璃网络中间体,在玻璃结构中,有6配位,4配位多种存在形式。在没有足够的游离氧的情况下,Al3+配位数一般为6,类似于玻璃网络外体;在游离氧充足的情况下,Al3+配位数一般为4,参与玻璃网络的形成,类似于网络形成体。Al2O3的引入能提高玻璃硬度、强度、化学稳定性,但是Al2O3的存在也会使得玻璃的烧成温度升高,从而使得玻璃的熔制过程变得困难。在玻璃的结构中,Al2O3的作用特殊,既可以作为玻璃网络形成体也可以作为网络外体,取决于玻璃结构中游离氧的含量。
碱土金属氧化物作为网络外体存在于玻璃结构中,能明显地改变玻璃的结构和性能。碱土金属氧化物的引入,会向玻璃结构中提供游离氧,使得玻璃的网络结构发生断裂,玻璃的性质也由此发生改变。
1.1.2 硼铝硅酸盐玻璃的性能
和传统钠钙玻璃体系相比,硼铝硅酸盐玻璃具有许多优良的性能。在本次研究中,测量玻璃的理化性能包括密度、硬度、化学稳定性、热膨胀系数、弹性模量,涉及玻璃的化学性能、热学性能和力学性能。下面简要介绍玻璃的这三种性能。
(1)化学性能
硼铝硅酸盐玻璃的化学性能主要指玻璃的化学稳定性,也即玻璃抵抗酸碱溶液腐蚀的能力。硼铝硅酸盐玻璃的化学稳定性优于传统钠钙玻璃主要基于两点,第一,传统玻璃中会引入NaO用于改善玻璃结构,使得玻璃液的黏度降低,流动性增强,便于玻璃的烧制和成型,而硼铝硅酸盐玻璃体系中不含碱金属氧化物,所以玻璃的结构更加致密,阻碍了H 和OH-在玻璃结构中的扩散,降低了H 和OH-和玻璃骨架的接触概率,从而保护了玻璃骨架的完整性[5];第二,硼铝硅酸盐玻璃体系中虽然不会引入碱金属氧化物,但会加入碱土金属氧化物,用于改善玻璃性能,玻璃中的碱土金属阳离子R2 会和周围的阴离子发生静电作用[6],使玻璃的结构变得致密,从而提高玻璃的化学稳定性。
(2)热学性能
硼铝硅酸盐玻璃良好的热学性能主要表现为较低的热膨胀系数。硼铝硅酸盐玻璃结构中,SiO2和B2O3含量较高,高达75mol%以上。在玻璃结构中,硅氧四面体[SiO4]与硼氧四面体[BO4]相互连接,使玻璃的结构更加完整致密,在外界温度改变时,玻璃内部质点振动幅度较小[7],玻璃的热膨胀系数也较小。一般硼铝硅酸盐玻璃的热膨胀系数在36×10-7/K左右,与硅的热膨胀系数十分接近[8]。由于硼铝硅酸盐玻璃的热膨胀系数较低,使得其具有较高的使用价值和研究价值。
(3)力学性能
硼铝硅酸盐玻璃力学性能优于传统玻璃主要体现在它具有较高的抗折强度和较大的表面硬度。与传统玻璃相比,硼铝硅酸盐玻璃的结构更加完整致密,能抵抗更大的外部压力,而保持结构不会受到破坏。硼铝硅酸盐玻璃的密度较小,弹性模量较大[9],是典型的轻质高强材料,具有很大的使用价值。硼铝硅酸盐玻璃用于高层建筑领域,可以降低高层建筑物的质量,使建筑物的结构更加稳定,安全系数更高[10];用于电子玻璃领域,可以降低产品的质量和体积,使其更加轻便,方便使用。
1.1.3 硼铝硅酸盐玻璃的应用
硼铝硅酸盐玻璃性能优异,随着玻璃烧成技术的提高,硼铝硅酸盐玻璃的应用领域变得十分广泛。OLED基板玻璃和TFT-LCD基板玻璃均属于硼铝硅酸盐玻璃体系,由于硼铝硅酸盐玻璃密度小,热膨胀系数低,应变点高,硬度大,强度高,化学稳定性好等优良的性能,使其在TFT-LCD(薄膜晶体管液晶显示器)技术和OLED(有机发光二极管)技术上有普遍应用。
TFT-LCD基板玻璃作为TFT-LCD显示器面板的前后两片关键的玻璃材料[11],是显示器面板中的重要材料,用于制作薄膜晶体管阵列的底板和彩色滤光片,对玻璃性能要求较高,要求玻璃密度小、表面无缺陷、化学稳定性好、热稳定性好。TFT-LCD显示器具有一系列的优点,轻薄便捷,环保节能,分辨率高,逐步成为显示器市场上的主流产品[12]。TFT-LCD面板的性能和质量在很大程度上取决于基板玻璃的结构和性能,这也是目前基板玻璃的性能成为TFT-LCD发展的主要制约因素的原因之一。
OLED(有机发光二极管)是一种以有机物作为发光材料的新型显示技术[13]。OLED基板玻璃作为OLED技术中重要的基本材料,对玻璃的要求更高,玻璃除了要满足作为TFT-LCD基板玻璃的一系列要求外,还在收缩率指标上要求十分严格。与阴极射线管和液晶显示器相比,OLED具有很多的潜在优点。OLED可用价格便宜的塑料作衬底,比液晶显示器更加轻薄。目前,高亮度的有机发光二极管显示器已然成为显示器发展的主流。我国在全球OLED面板产能方面所占份额不多,但是随着技术的不断改进和资本的大幅度投入,我国OLED面板技术发展具有良好的前景和巨大的潜力。
1.2 碱土金属氧化物对硼铝硅酸盐玻璃的影响
在硼铝硅酸盐玻璃体系中,引入碱土金属氧化物的目的是改善玻璃结构和性能,减小玻璃液的黏度,增加玻璃液的流动性,使玻璃易于烧成和成型。因此在加热融化过程中,需要将玻璃原料加热到较高温度,在本次实验中,我们的玻璃烧成温度高达1640C。硼铝硅酸盐玻璃的化学组成为RO-B2O3-Al2O3-SiO2,其中RO是掺入到玻璃组成中的碱土金属氧化物,R= Mg、Ca、Sr、Ba。碱土金属氧化物的引入会破坏玻璃的网络结构,改变玻璃的理化性能。本次实验中引入的碱土金属氧化物包括MgO、CaO、BaO、SrO。
MgO可以提高玻璃液的黏度,提高玻璃的化学稳定性和机械强度,使玻璃结构更加致密完整。CaO虽然不参与玻璃网络结构的形成,但使它可以提高玻璃的化学稳定性和机械强度。Ca2+离子半径大,电价高,迁移能力小,不易扩散,在高温时具有较大的活性,可极化桥氧键和减弱硅氧键,降低玻璃的高温黏度。BaO相对分子质量较大,引入BaO能提高玻璃的密度和化学稳定性。SrO对玻璃结构和性能的影响介于CaO和BaO之间[14]。当向玻璃中引入2种或3种碱土金属氧化物时,会产生混合碱土效应[15] (双碱效应或三碱效应),可以充分利用混合碱土效应,提高玻璃性能。
以上是毕业论文大纲或资料介绍,该课题完整毕业论文、开题报告、任务书、程序设计、图纸设计等资料请添加微信获取,微信号:bysjorg。
相关图片展示:







您可能感兴趣的文章
- 利用污泥和低质粉煤灰制备高强度陶粒外文翻译资料
 - 注蒸汽井中硅含量对水泥石抗压强度的影响外文翻译资料
 - 碳纳米管和二氧化锰纳米粒子修饰的少层石墨烯在高性能超级电容器中的应用外文翻译资料
 - 高能MnO2纳米线/石墨烯和石墨烯不对称电化学电容器外文翻译资料
 - 影响立式辊磨机性能的操作参数外文翻译资料
 - 水泥行业立式辊磨机及其性能参数研究进展外文翻译资料
 - 立式辊磨机遇滚磨机基于能量的比较外文翻译资料
 - 一种工作在500℃以下用于固体氧化物燃料电池的铌和钽共掺杂钙钛矿阴极外文翻译资料
 - 层状钙钛矿A位缺陷的理解: 促进质子陶瓷电化学电池水氧化和氧还原的双反应动力学外文翻译资料
 - 基于细菌纤维素/木质素的柔性高石墨化碳气凝胶: 无催化剂合成及其在储能装置中的应用外文翻译资料
 

        
            
