基于多目标的供应链网络多级库存优化模型研究毕业论文
2020-04-04 12:47:15
摘 要
随着供应链管理思想的发展,库存管理也有了新的发展空间。作为供应链各级企业连接的节点,库存对供应链的发展起着至关重要的作用。因此对基于多目标的供应链网络多级库存优化模型进行研究,在当前环境下显得十分有必要。
传统的库存控制一般是单个企业以自己的库存最优为目标,独立的制定库存控制策略。但在单个企业库存成本最小的情况下,供应链整体的经济效益并不一定最大。因此,供应链环境下的库存优化模型应该要考虑到供应链整体的效益,体现全局优化的思想。
本文以包括“供应商—制造商—分销商—零售商”的多级库存网状结构为研究对象,在提前期固定,但需求随机的情况下,采用集中式多级库存控制策略与(t, R, S)库存订购方法,建立基于多级库存系统总成本和库存周转时间最优的多目标多级库存优化模型。通过对相关文献的分析,并根据本文所建模型的特点,选择用遗传算法进行优化求解,并通过MATLAB遗传算法工具箱加以实现。从而得出在满足一定客户需求的基础上,使供应链上的总库存成本最小且总库存周转时间最低的最优解。最后,本文选择以制造企业为核心的供应链多级库存系统作为算例,对本文所建立的优化模型及设计的求解算法的有效性和合理性进行验证。
关键词:库存控制;供应链网络;多级库存;多目标优化;遗传算法
Abstract
With the development of supply chain management, inventory management also has a new development space. As a node connecting enterprises at all levels of the supply chain, inventory plays a crucial role in the development of the supply chain. Therefore, it is very necessary to study multi-level inventory optimization model based on multi-objective supply chain network in the current environment.
The traditional inventory control is that a single enterprise sets the inventory control strategy independently with its own optimal inventory as its goal. However, the economic benefits of the supply chain as a whole are not necessarily the greatest when the cost of inventory of individual enterprises is minimal. Therefore, the inventory optimization model under the supply chain environment should take into account the overall benefit of the supply chain and reflect the overall optimization idea.
This paper takes a multi-level inventory network structure including "Supplier-Manufacturer-Distributor-Retailer" as the research object, adopts the centralized multi-level inventory control strategy and (t, R, S) inventory ordering method, and in the case of random demand and fixed lead time, establishes a multi-objective multi-level inventory control model based on the optimal total cost and inventory turnaround time of multi-level inventory system. Therefore, the optimal solution of minimum total inventory cost and minimum total inventory turnaround time in the supply chain is obtained on the basis of satisfying certain customer needs. Finally, this paper chooses a multi-level inventory system with manufacturing enterprise as the core as a case, and validates the validity and rationality of the optimization model and design algorithm.
Key words:inventory control;supply chain network;multi-echelon inventory;multi-objective optimization;Genetic Algorithm
目录
摘 要 I
Abstract II
第1章 绪论 1
1.1 研究背景 1
1.2 研究目的及意义 1
1.3 国内外研究现状 1
1.3.1 国外研究现状 2
1.3.2 国内研究现状 2
1.4 基本内容和拟采用的技术方案 3
1.4.1 研究的基本内容 3
1.4.2 拟采用的技术方案 4
第2章 库存管理的基本理论与方法 5
2.1 传统的库存管理理论与方法 5
2.1.1 ABC分类管理法 5
2.1.2 经济订货批量模型 5
2.1.3 定量订货管理法 6
2.1.4 定期订货管理法 7
2.2 供应链环境下的库存控制理论与方法 8
2.2.1 供应商管理库存 8
2.2.2 联合库存管理 8
2.2.3 合作、计划与补给 8
2.3 供应链环境下多级库存多目标控制的核心问题 8
2.3.1 多级库存控制的目标 9
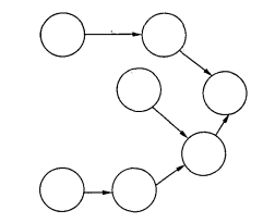
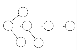
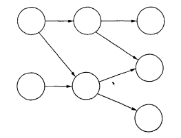
2.3.2 多级库存控制的结构类型及范围 10
2.3.3 多级库存控制的库存控制策略 12
2.3.4 多级库存控制的库存控制方法 14
第3章 基于多目标的供应链网络多级库存优化模型 16
3.1 问题描述 16
3.2 假设条件 16
3.3 符号及变量说明 17
3.4建立多目标优化模型 18
3.4.1 库存系统成本模型 18
3.4. 2 库存系统时间模型 22
3.4. 3 库存系统多目标模型 23
第4章 模型算法设计及实现 24
4.1 遗传算法 24
4.1.1 遗传算法的基本原理 24
4.1.2 遗传算法的求解步骤 24
4. 2 多级库存多目标优化模型算法设计 25
4. 2.1 染色体编码 25
4. 2. 2 初始种群 26
4. 2. 3 适应度函数 26
4. 2.4遗传操作 26
第5章 案例验证 27
5.1 公司背景介绍 27
5. 2 数据确定 27
5. 3 建模与求解 29
5. 4 结果分析 33
第6章 总结与展望 34
6.1 全文总结 34
6. 2 经济性与环保性分析 34
6. 3 研究展望 34
参考文献 36
致 谢 38
附 录 39
第1章 绪论
1.1 研究背景
库存是一个古老的课题,体现于社会经济生活的各个方面。人类为了维持正常的生产、生活或军事活动,而储备的一定量的资源都可以叫做库存。
二战后,伴随着运筹学的不断发展和应用,库存管理理论逐渐兴起,国内外学者开始全面地分析和解决库存问题。在此之后的一段时间内,库存控制主要考虑单个企业的库存成本、效率以及利润,强调自身的库存最优、最合理。经济订货批量、物料需求计划、及时化生产等作为该时期出现的管理模式及方法,往往只注重企业内部的资源最优应用,着眼于单个企业的优化和局部的最优。
随着供应链思想的提出与广泛应用,传统单个企业之间的商业竞争已经扩大到了供应链级别。运用传统的库存控制方法,从单个企业对库存进行优化已经不能给企业带来更多的竞争优势。因此,20世纪90年代以后,越来越多的学者开始研究供应链环境下的多级库存管理。
1.2 研究目的及意义
企业设置一定适量的库存,有利于公司的稳定运营,可以保证一定的顾客满意度,提高企业的利益。但是,若库存量过多,虽可以保证供应,降低机会损失,同时也会因库存持有量过高,而导致库存物资占用大量资金成本,影响企业的资金周转,增加企业的风险。因此,确定一个合适的库存水平,一直是企业库存管理的重心,也是国内外学者研究的一个重要课题。
当前环境下,供应链管理是企业发展的新机遇,对于企业竞争力的提升起着至关重要的作用。库存管理作为连接供应链上企业的纽带,更是重中之重。其管理的优劣将会直接影响到整条供应链的竞争力,影响供应链上各节点企业的经济效益。
传统的库存控制侧重于单个企业内部的优化,多根据自身的预测,确定独立的库存控制策略。但是,由于牛鞭效应的存在,各级节点企业设置的安全库存逐渐累加,导致整条供应链的库存水平升高,整体的经济效益下降。所以,在供应链环境下,库存控制应该注重供应链的全局优化,而不是只考虑供应链上某一节点企业的利润最大。
1.3 国内外研究现状
20世纪60年代初,Clark和Scarf[1]首先提出了“级库存”的概念。此后,供应链环境下的库存管理逐步成为了国内外学者研究的重点。迄今为止,关于供应链多级库存的控制,已有不少的研究成果。
1.3.1 国外研究现状
研究早期,二级供应链的库存管理问题是大多学者关注的焦点。随着对集成供应链愈发深入的研究,三级及以上的供应链库存管理问题逐步成为了海内外学者关注的热点。
RM Hill以一对一(单一供应商与单一零售商)的二级供应链系统为研究对象,建立了联合生产库存模型[2]。
Moizadeh以一对多(一个供应商、多个零售商)的二级供应链系统为研究对象,采用(Q,R)订购方法,构建了一对多(一个供应商、多个零售商)的二级分销系统库存控制模型[3]。
Ilaria amp; Pierpaolo以三级串行系统为研究对象,分析了一种基于模糊集合理论的供应链库存控制策略,并在Clark与Scarf所提出的级库存概念的基础上,引入了级库存费率,建立了平均总库存成本的模型[4]。
Panos Seferlis等以三级网状系统为研究对象,建立了供应链多级库存模型,并采用双层规划的方法求解模型[5]。
JM Chen amp; TH Chen以一对多(一个供应商、多个零售商)的二级供应链分销系统为研究对象,对集中式和分散式库存控制策略进行了对比,通过案例证明集中补货决策优于分散补货策略[6]。
RJ Olsson amp; RM Hill以一对多的两级供应链库存系统为研究对象,在零售商需求随机,供应商不存货,并以固定的生产时间按订单先到先得的顺序进行生产的背景下,对二级供应链库存控制问题进行了研究[7]。
Ben-Daya M讨论了由单一供应商,单一制造商和多个零售商组成的三级供应链环境下的联合经济批量问题(JELP),并以整个供应链的总成本最小为目标,建立了供应链多级库存模型[8]。
SF Besheli等针对多级供应链中的多项目多周期问题,假定需求率是模糊值,并以最大限度地提高客户满意度的同时最大限度地降低总成本为目标,提出了一个模糊混合整数非线性规划模型[9]。
1.3.2 国内研究现状
徐贤浩、马士华以供应链网状结构为研究对象,以供应链总库存费用最低为目标,在引入供应率与需求率的基础上,对多级库存优化模型中最佳订货批量和最佳订货周期的确定方法进行了研究[10]。
彭禄斌,赵林度在需求与前置时间都为随机的前提下,以供应链网状结构为研究对象,以总的库存费用最低为目标,对最佳订货批量和订货点进行了优化[11]。
高丽芳,杜秀华以包括分销商和零售商的二级分销网络为研究对象,以成本最低为目标,建立了多级库存控制优化模型[12]。
白少布,薛恒新以多级供应链串行系统为研究对象,在需求率确定的情况下,对多级库存进行了研究[13]。
卫忠,徐晓飞以多级供应链复杂网络拓扑结构为研究对象,同时以需求满足率、时间、成本为优化目标,建立了供应链多级库存多目标协同优化模型[14]。
郑志宽以三级供应链制造分销系统为研究对象,在采用非中心化库存控制策略地基础上,建立了供应链库存优化模型[15]。
黄丽燕以供应链分销系为研究对象,以时间和成本最小为优化目标,研究了当分销商与零售商分别采用(s, S)订货方法(R, Q)订货方法时的多级库存优化模型[16]
白云以包括全局供应链的网状结构为研究对象,引入级库存和供应链内成本的思想,在需求随机、产品多样的前提下,以总库存成本最小为控制目标,建立了多级库存优化模型[17]。
冒玮以基于小世界模型的供应链网络为研究对象,给出了需求随机前提下的多周期库存模型[18]。
通过对国内外研究现状的总结,我们可以看出,早期对供应链多级库存的研究主要集中在两级或三级分销系统,并且主要研究的是单一目标且提前期和需求都固定的情况下的库存控制问题。而实际上,供应链多级库存系统是一个包含多个层级节点企业的复杂网络系统。因此,为了更贴近实际情况,对多级库存控制问题进行研究时,应该更多的考虑随机提前期、随机需求、多个目标共存情况的网状供应链多级库存系统。
综上所述,本文以包括“供应商—制造商—分销商—零售商”在内的多级供应链网络库存系统为研究对象,在供应链系统总库存成本最小的基础上,添加时间为另一优化目标,建立基于多目标的供应链网络多级库存优化模型。根据本文所建模型的特点,选择遗传算法,运用MATLAB软件进行求解,并结合实例验证模型和算法的可行性。
1.4 基本内容和拟采用的技术方案
1.4.1 研究的基本内容
第一章:绪论。对选题的研究背景、目的及意义以进行概述,并对国内外研究现状以及未来的发展趋势进行总结分析,同时,对本文的研究方法及章节安排进行了阐述。
第二章:基本理论。对传统的库存管理理论与方法以及供应链环境下的库存管理理论与策略进行简单的介绍,并明确本文多目标优化的相关核心问题。
第三章:构建模型。根据优化目标,在理论分析的基础上得出模型函数,建立合适的数学模型。
第四章:遗传算法。根据所建模型,选用遗传算法,在MATLAB 软件下,对其进行优化求解。
第五章:实例验证。在上文的基础上,选择某一实例为研究对象,在MATLAB软件下,验证模型及算法的可行性。
第六章:总结展望。对本文的主要内容进行总结,并根据本研究的不足,对下一步的研究进行展望。
1.4.2 拟采用的技术方案
(1)文献研究
阅读大量国内外在供应链、多级库存及优化算法等方面的文献,了解选题的研究现状及动态,深入把握研究方向。重点研究供应链环境下多级库存的多目标优化模型,在对国内外相关文献分析的基础上,准确掌握选题相关的理论基础与未来的展趋势。
(2)数学建模
本文通过分析,将供应链环境下的多级库存多目标优化过程中相关影响因素之间的相互关系用符号与函数进行描述,并通过数学公式进行表达,建立数学模型。
(3)优化分析
系统分析,并选择合适的优化算法。本文中选择遗传算法,并利用MATLAB软件对所建模型进行优化分析,求出最优解。
(4)案列验证
通过对某一现实实例的建模仿真与优化,验证所建模型的可行性。
第2章 库存管理的基本理论与方法
2.1 传统的库存管理理论与方法
2.1.1 ABC分类管理法
ABC分类管理法,即按照仓库中物品的种类与其所占的价值作为判断依据,将其分为A、B、C 三类,并采用不同的管理方法进行管理。具体的分类标准及管理办法如图2.1所示:
物资  | 占品种总数的比例  | 占价值总数的比例  | 控制方法  | 
A类  | 5%~15%  | 60%~80%  | 实行重点管理。经常检查、盘点,适当缩短订货间隔,增加订购次数,以降低库存,减少资金占用。  | 
B类  | 20%~30%  | 20%~30%  | 实行一般管理。定期进行概括性的检查,盘点的周期也要比A类长一些,以节省储存于管理成本。  | 
C类  | 60%~80%  | 5%~15%  | 实行简便管理。尽可能的延长盘点周期,减少盘点次数,适当的增加订货批量,减少订购次数。  | 
图2.1 库存的ABC分类
2.1.2 经济订货批量模型
以上是毕业论文大纲或资料介绍,该课题完整毕业论文、开题报告、任务书、程序设计、图纸设计等资料请添加微信获取,微信号:bysjorg。
相关图片展示:








        
            
