扬州某研发中心办公楼设计(方案一)毕业论文
2020-04-23 20:07:59

毕业设计计算书
课题名称 | 扬州某研发中心办公楼设计(方案一) |
院 (系) | 土木工程学院 |
专 业 | 土木工程 |
姓 名 | 马蕴颖 |
学 号 | 1801150103 |
起讫日期 | |
指导教师 | 王曙光、唐明怡、 |
2019 年 5 月 31

Abstract
This graduation design topic is practical Engineering Application topic, located in Yangzhou, the project is reinforced concrete frame-shear wall structure system. The total height of the house is 22.2 meters, a total of 6 floors. The standard layer of the building is 3.6m high and the floor height is 4.2m. The building adopts a frame-shear wall structure.

Key words: Seismic design shear Wall structure design
目录
第一章 结构选型与布置
1.1 工程概况
工程名称:江苏省扬州市某研发中心办公楼设计

层粉土:灰黄色,湿,中密~密实,顶部为素填土,含植物根系。厚度3.50~5.00m,顶板标高20.00~20.80m。
层粘土:软塑~可塑,夹粉土层。厚度3.10~3.40m,顶板标高15.50~15.70m,推荐承载力基本容许值,钻孔桩桩侧土摩阻力标准值。
层淤泥:灰色,流塑,局部为淤泥质粘土,夹软塑~流塑状粘土层。厚度4.20~7.90m,顶板标高12.30~17.30m,推荐承载力基本容许值,钻孔桩桩侧土摩阻力标准值。
4层粘土:灰黄色,细砂层,杂蓝灰色条带。厚度7.30~18.10m,顶板标高7.50~9.40m,推荐承载力基本容许值,钻孔桩桩侧土摩阻力标准值。
5层中砂、粗砂:锈黄色、灰黄色,饱和,密实,分选性较差,含小砾石,夹细砂颗粒,局部夹粉质粘土层。厚度6.20~9.40m,顶板标高-10.60~-5.40m,推荐承载力基本容许值,钻孔桩桩侧土摩阻力标准值。
6层粉质粘土:黄灰色、蓝灰色,可塑~硬塑,含铁锰质结核及钙质结核,土质不均,混较多砂质颗粒。厚度2.95~5.65m,顶板标高-16.80~-14.80m,推荐承载力基本容许值,钻孔桩桩侧土摩阻力标准值。

第二章 确定计算简图
2.1 确定计算简图
柱子的高度底层为:,二至六层柱高为:,三跨的计算长度分别为:。计算简图如图2-1所示。

图2-1 计算简图

(a) (b)
图2-2 荷载计算简图
(a)永久荷载作用下结构计算简图;(b)活载作用下结构计算简图
(1)永久荷载(图2-2a)
屋面永久荷载标准值 | |
厚架空隔热 | |
防水层 | |
厚水泥砂浆找平层 | |
厚钢筋混凝土现浇板 | |
厚纸筋石灰粉平顶 | |
屋面永久荷载标准值 | |
梁自重 | |
梁跨 | |
梁侧粉刷 | |
梁自重 | |
作用在顶层框架梁上的线恒荷载标准值为 | |
梁自重 | |
板传来的荷载 | |
(2)活荷载(图2-2b)
作用在顶层框架梁上的线活荷载标准值为 |
2.楼面横梁竖向线荷载标准值
(1)永久荷载(图2-2a)
厚水泥砂浆面层 | |
厚钢筋混凝土现浇板 | |
厚板底粉刷 | |
楼面永久荷载标准值 | |
梁自重 | |
作用在楼面层框架梁上的线恒荷载标准值为 | |
梁自重 | |
板传来荷载 | |
(2)活荷载(图2-2b)
楼面活荷载 |
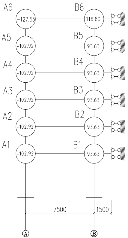
3.屋面框架节点集中荷载标准值(图2-3)

图2-3 恒载顶层集中力
(1)永久荷载
边跨纵向框架梁自重 | |
粉刷 | |
高女儿墙 | |
粉刷 | |
纵向框架梁传来屋面自重 | |
顶层边节点集中荷载 | |
中柱纵向框架梁自重 | |
粉刷 | |
纵向框架梁传来屋面自重 | |
顶层中节点集中荷载 | |
(2)活荷载
4.楼面框架节点集中荷载标准值(图2-4)

图2-4 恒载中间层节点集中力
(1)永久荷载
边柱纵向框架梁自重 | |
粉刷 | |
钢窗自重 | |
窗下墙体自重 | |
粉刷 | |
窗边墙体自重 | |
粉刷 | |
纵向框架梁传来楼面自重 | |
中间层边节点集中荷载 | |
柱传来集中荷载 | |
框架柱自重 | |
中柱纵向框架梁自重 | |
粉刷 | |
内墙自重(门窗按墙重量) | |
粉刷 | |
纵向框架梁传来的楼面自重 | |
中间层边节点集中荷载 | |
柱传来集中荷载 | |
框架柱自重 | |
(2)活荷载
迎风面为,背风面为,因结构高度(从室外地面算起),取风振系数,计算过程见表2-1,风荷载图如图2-5所示。

图2-5 横向框架上的风荷载
风荷载计算 表2-1
层次 | |||||||
6 | 1.0 | 1.3 | 21.6 | 1.256 | 0.40 | 18.6 | 12.15 |
5 | 1.0 | 1.3 | 18.0 | 1.19 | 0.40 | 21.6 | 13.37 |
4 | 1.0 | 1.3 | 14.4 | 1.114 | 0.40 | 21.6 | 12.51 |
3 | 1.0 | 1.3 | 10.8 | 1.021 | 0.40 | 21.6 | 11.47 |
2 | 1.0 | 1.3 | 7.2 | 1.0 | 0.40 | 21.6 | 11.23 |
1 | 1.0 | 1.3 | 3.6 | 0.9 | 0.40 | 21.6 | 10.11 |

雪载: | |
板上荷载: | |
层面永久荷载 | |
梁自重: | |
横向梁 | |
纵向梁 | |
柱自重: | |
隔墙自重: | |
横墙 | |
纵墙 | |
(忽略内纵墙的门窗按墙重量算) | |
钢窗 | |
女儿墙: | |
2)集中于标准层处的质点重力荷载标准值
楼面活载: | |
板上荷载: | |
楼面永久荷载 | |
梁自重: | |
横梁 | |
纵梁 | |
柱自重: | |
隔墙自重: | |
横墙 | |
纵墙 | |
钢窗 | |

横梁、柱线刚度 表2-2
杆件 | 截面尺寸 | 相对刚度 | ||||||
边框架梁 | 250 | 800 | 30.0 | 7500 | 1 | |||
中框架梁 | 250 | 800 | 30.0 | 3000 | 3.33 | |||
底层框架柱 | 600 | 600 | 30.0 | 3600 | 1.402 | |||
中层框架柱 | 600 | 600 | 30.0 | 3600 | 1.402 | |||
框架柱横向侧移刚度D值 表2-3
项目 | 根数 | ||||
层 | 柱类型及截面 | ||||
边框架边柱 | 0.713 | 0.263 | 21.92 | 4 | |
边框架中柱 | 3.088 | 0.607 | 50.58 | 4 | |
中框架边柱 | 0.713 | 0.263 | 21.92 | 18 | |
中框架中柱 | 3.088 | 0.607 | 50.58 | 18 | |
1 | 边框架边柱 | 1.426 | 0.562 | 46.83 | 4 |
边框架中柱 | 6.176 | 0.817 | 68.08 | 4 | |
中框架边柱 | 1.426 | 0.562 | 46.83 | 18 | |
中框架中柱 | 6.176 | 0.817 | 68.08 | 18 | |
相关图片展示:









