柴油-天然气RCCI发动机数值模拟研究毕业论文
2020-02-18 10:42:20
摘 要
反应活性控制压燃(Reactivity Control Compression Ignition,RCCI)技术作为发动机中低温燃烧(Low Temperature Combustion,LTC)控制手段的一类,具有着火始点及燃烧相位可控,NOx及碳烟排放量较低的优点。并且,天然气作为低活性燃料,虽绝热火焰温度较高,放热率较大,但其辛烷值较高,燃烧无碳烟排放生成,市场价格较为低廉。因此,针对柴油-天然气RCCI发动机的工作特性以及控制手段的研究逐渐得到重视。
为探究柴油-天然气RCCI发动机在中负荷状态下的工作特性,本文利用计算流体力学(Computational Fluid Dynamics,CFD)软件对柴油-天然气在不同控制参数下的特性表现进行模拟研究与分析。首先,本文采用CONVERGE软件,耦合柴油-天然气双燃料化学动力学机理进行计算,在Z6170双燃料发动机的基础上建立数值计算模型,并通过模型预测值与台架试验数据对比进行验证。随后,本文在模拟过程中分别控制柴油-天然气RCCI发动机的第一次喷油始点(First Start of Injection,SOI1)为630~670 °CA,第二次喷油始点(Second Start of Injection,SOI2)为690~710 °CA,涡流比(Swirl Ratio,SR)为1.0~2.2,低活性燃料比例(Low Reactivity Fuel Ratio,LRFR)为50%~90%。研究结果表明随着第一次喷油始点和涡流比的改变,缸内的着火特性、燃烧特性以及排放特性均会呈现阶段性的变化趋势。并且,随着缸内反应活性分层的加强,缸内低温着火时刻提前,而燃烧和排放物生成过程将主要由缸内柴油及预混工质的相对分布状态决定。
关键词:反应活性控制压燃;喷油策略;涡流比;低活性燃料比例;化学动力学
Abstract
As a kind of low temperature combustion(LTC) control method, reactivity control compression combustion(RCCI) technology has the advantages of controllable ignition starting point and combustion phase, low NOx and soot emissions. In addition, natural gas, as a low active fuel, has a relatively low market price with its higher octane number, pure soot emission and higher octane number, although it has a higher adiabatic flame temperature and higher heat release rate. Therefore, more and more attention has been paid to the working characteristics and control methods of the diesel-natural gas RCCI engine.
In order to explore the numerical simulation of the diesel-natural gas RCCI engine under middle load, the Computational Fluid Dynamics (CFD) software was used to simulate and analyze the characteristics of the diesel-natural gas engine under different control parameters. Firstly, a CFD software, CONVERGE, was adopted in this paper to establish a numerical calculation model on the basis of Z6170 diesel engine with the chemical dynamic mechanism of coupling diesel-natural gas dual and compare it with simulation and experiment data for validation. Then, this paper respectively in the process of simulation control diesel oil - gas RCCI engine fuel Injection starting point for the first start of injection(SOI1) timing is 630~670 ° CA, the second start of injection(SOI2) timing is 690~710 ° CA, the swirl ratio(SR) is 1.0~2.2, the low reactivity fuel ratio (LRFR) is 50%~90%.The results show that the ignition characteristics, combustion characteristics and discharge characteristics of the cylinder will change in stages with the change of the starting point of the first start of injection and the swirl ratio. Moreover, with the strengthening of the reaction activity stratification in the cylinder, the low-temperature ignition time in the cylinder is advanced, and the Combustion and emission generation process is mainly determined by the relative distribution of diesel and premix charge in the cylinder.
Key Words:RCCI; injection strategy; swirl ratio; ratio of low reactivity fuel; chemical kinetic
目 录
第1章 绪论 1
1.1 研究背景及意义 1
1.2 RCCI技术的提出 1
1.3 柴油-天然气RCCI研究现状 2
1.4 本文研究内容与目的 4
第2章 柴油-天然气RCCI数值计算模型的建立与验证 6
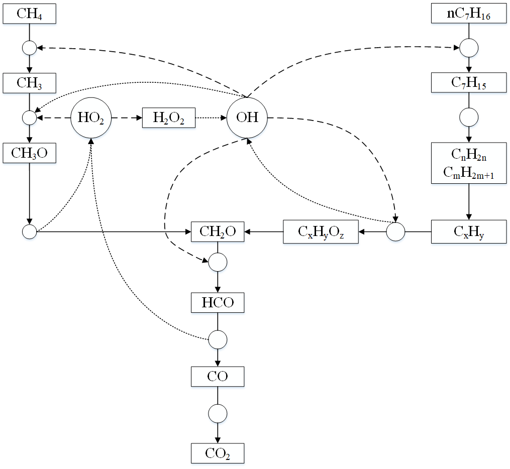
2.1 柴油-天然气双燃料化学动力学机理 6
2.2 三维数学模型基础 7
2.2.1 基本控制方程 7
2.2.2 湍流模型 9
2.2.3 燃烧模型 9
2.2.4 排放模型 9
2.3 原型机的基本参数 10
2.4 数值计算模型的验证 13
第3章 柴油-天然气RCCI发动机工作过程模拟 16
3.1 第一次喷油始点对燃烧与排放的影响 16
3.1.1 着火特性分析 17
3.1.2 燃烧特性分析 19
3.1.3 排放特性分析 21
3.2 第二次喷油始点对燃烧与排放的影响 23
3.2.1 着火特性分析 23
3.2.3 燃烧特性分析 25
3.2.3 排放特性分析 27
3.3 涡流比对燃烧与排放的影响 29
3.3.1 着火特性分析 30
3.3.2 燃烧特性分析 32
3.3.3 排放特性分析 33
3.4 低活性燃料比例对燃烧与排放的影响 35
3.4.1 着火特性分析 36
3.4.2 燃烧特性分析 38
3.4.3 排放特性分析 39
第4章 全文总结及展望 42
4.1 全文总结 42
4.2 工作展望 43
参考文献 44
致 谢 46
第1章 绪论
1.1 研究背景及意义
内燃机作为目前交通工具的主要动力来源,有着输出功率大、工作稳定的特点。在内燃机中,柴油机的热效率相比汽油机约高45%,在大型车辆以及各类船舶中均被广泛使用[1]。然而,一方面,全球石油能源储量不断下降,而石油需求量每日增长170万桶,石油消费量仅每日增长60万桶,按照此水平,石油储量仅足够世界使用50.2年[2]。另一方面,目前,船舶排放问题逐渐得到重视。国际海事组织(International Maritime Organization,IMO)于2011年7月15日通过了MARPOL公约附则Ⅵ,对海上行驶的多类船舶进行了排放限制,国内也于2016年8月22日提出了GB 15097-2016标准,进一步限制了船舶发动机污染排放物的排放量[3,4]。因此,在当代采用合适的发动机燃烧技术以及后处理方式进而降低污染物排放成为了主流的船舶发动机研究方向。
船舶发动机的大气污染排放物主要包括NOx、碳烟、HC、SOx以及CO等。为降低此类排放物质,国内外学者通过稀薄NOx捕集技术(Lean NOx Trap,LNT)和选择性催化还原技术(Selective Catalytic Reduction,SCR)降低NOx排放量,并通过颗粒捕集器(Diesel Particulate Filters,DPF)有效降低碳烟排放量[5,6,7]。但此类后处理技术有着系统复杂、占用空间较大或是使用范围有限的缺点[8]。于是,部分学者不断探索发动机的新型燃烧模式,通过改善缸内燃烧进程有效降低缸内排放。
1.2 RCCI技术的提出
目前,在船舶主要排放物中,NOx排放主要表现为热力型NO。此类NOx排放主要是由于柴油机燃烧过程中局部燃烧温度较高,局部当量比偏大影响N2快速氧化所导致的[9]。此外,燃烧进程中,局部温度较低,当量比较小,易导致缸内反应升程的碳烟前驱物氧化进程减缓,形成碳烟颗粒内核,进而生长、凝结,形成大量碳烟排放[10]。由此可见,在针对发动机排放特性的控制策略上,NOx与碳烟的控制策略表现出相对制约的关系[11]。
1979年,Onishi等人[12]提出了活化热氛围燃烧(Active Thermo-Atmosphere Combustion, ATAC)技术,此技术可使低负荷下工作的二冲程汽油机排放大幅降低。1983年,Najt等人[13]推出了均质充量压燃(Homogeneous Charge Compression Ignition,HCCI)技术,通过压缩缸内均质燃料使其着火,强化缸内燃烧强度,降低污染物排放。在ATAC与HCCI的燃烧模式的研究基础上,国内外研究学者为提高燃烧模式的可控性,提出了预混充量压燃(Premixed Charge Compression Ignition,PCCI)技术,使缸内充量在压缩至上止点前充分预混,发生着火[15]。2009年,Reitz等人[16]提出了RCCI技术。在RCCI燃烧模式下,低活性燃料通过歧管喷射器注入进气歧管中,充分预混后在进气阶段进入缸内。随后,在接近上止点处,高活性燃料通过缸内直喷进入缸内,与缸内低活性燃料形成较大的反应活性梯度,实现分层燃烧[17]。

图1.1 各类燃烧模式下Φ-T分布示意图[18]
如图1.1所示,以上提及的HCCI、PCCI与RCCI均为LTC技术,此技术可有效降低燃烧室内的燃烧温度,有效降低NOx排放。同时,由于缸内混合气混合充分,也使碳烟排放随之降低[13,14,15,16]。目前,在以上三类低温燃烧手段中,RCCI燃烧模式可以通过燃油比例,高活性燃料的喷射策略等合理地控制火相位和燃烧速率。并且,由于缸内燃烧过程更为稳定,不易出现爆燃现象,具有一定的研究价值。
在RCCI燃烧模式中,天然气相比汽油,有着更高的低位热值,因而可以更有效的拓宽发动机工作负荷,并抑制缸内的碳烟生成[18,19,20]。由于天然气清洁高效,且抗爆性良好,更多的研究学者将重心投向了将天然气作为低活性燃料的RCCI发动机中。2015年,Walker等人[21]在单缸重型柴油机上将柴油-天然气RCCI发动机与汽油-天然气RCCI发动机的工作性能进行对比。结果表明,在均不使用废气再循环(Exhaust-Gas Recirculation,EGR)技术且维持相同燃烧相位时,相比于柴油-汽油RCCI发动机,柴油-天然气RCCI发动机可将工作负荷提升约130%。因此,采用天然气作为RCCI发动机的低活性燃料可以提升发动机工作性能,也可以有效缓解世界能源现状。
1.3 柴油-天然气RCCI研究现状
目前,RCCI发动机研究的主要趋势可分为针对RCCI燃烧模式下化学动力学及反应机理的研究、针对RCCI发动机燃烧特性及排放特性受边界条件、燃料特性或喷油策略的影响的研究以及针对其合理运行的控制手段与策略的研究。
张永鑫[22]针对RCCI发动机的控制策略,分别将正庚烷和甲烷作为柴油和天然气的替代物,运用多种简化手段和合并手段,建立柴油-天然气零维简化机理。随后,利用AVL FIRE软件在中高负荷(Indicated Mean Effective Pressure,IMEP=13.5 bar)的条件下对柴油-天然气RCCI发动机进行模型验证和模拟分析。研究结果表明,RCCI发动机主要根据缸内反应活性控制燃烧速率和强度。并且,由于高活性燃料的反应开始时间早于低活性燃料,且高活性燃料的快速消耗时刻晚于低活性燃料,所以RCCI发动机的燃烧过程中,高活性燃料和低活性燃料按照顺序先后燃烧。
Ansari等人[23]在使用SCR的轻型柴油-天然气双燃料发动机中在不同的负荷(IMEP=3~12 bar)条件下测定柴油-天然气RCCI燃烧模式与传统柴油机模式的性能表现与排放水平。并在研究过程中,利用实验数据得出在可控变量对于发动机的排气温度和排放量的影响经验公式。实验结果表明,RCCI发动机在较低负荷下的碳氢化合物(HC)和CO排放量较大,而NOx和碳烟排放在各运行工况下表现良好;中高负荷下RCCI模式的燃料和尿素消耗相比传统柴油机模式降低30-35%。通过经验公式的整理得出,在此轻型双燃料发动机上,在较低负荷(IMEP=0~7 bar)时,采用传统柴油机模式有更好的整体表现;而当工况处于中高负荷(IMEP=7~12 bar)时,采用柴油/天然气RCCI模式有更优的工作性能和排放表现。
Mikulski等人[24]通过数值模拟研究对有无采用EGR技术与不同负荷(IMEP=3.2~18.5 bar)的条件下不同天然气的掺混比对柴油-天然气RCCI发动机工作性能与排放特性的影响。研究结果表明,通过缸内直喷引入低活性燃料可以改变缸内传播过程且减少燃烧室中心的燃料份额,从而在低负荷状态优化缸内燃烧,提高燃烧效率。另一方面,由于掺混低活性燃料会降低反映区域的氧气份额与区域温度,所以这也会增长着火延迟时间并缩短燃烧持续期从而降低采用EGR技术时的高负荷状态下发动机的燃烧效率。此外,掺混低活性燃料会提升缸内的最高温度,造成NOx排放增加,HC排放减少。
Poorghasemi等人[25]通过CONVERGE软件对中等负荷(IMEP=4~6 bar)下的轻型RCCI发动机的工作性能与排放特性受发动机喷射参数及策略的影响展开模拟研究。模拟结果表明,柴油喷射策略会直接影响缸内充量的反应活性分布。随着第一次喷射压力的降低或喷雾锥角的增大,指示平均热效率会有所增加,燃烧相位会有所延迟。此外,第一次喷射提前角的延迟会造成缸内会增大缸内混合气当量比,从而提升燃烧温度;第二次喷射提前角的延迟直接造成着火时刻的延迟,从而缩短燃烧持续期并降低缸内温度。
Ebrahimi等人[26]通过人工神经网络对柴油/天然气RCCI发动机的燃烧模型进行学习和优化。研究过程中,发动机的IMEP被控制在9.4 bar,通过改变发动机的进气温度/进气压力/单次喷射提前角从而影响发动机运行状态,辅助人工神经网络进行学习。结果表明,通过人工神经网络可以有效稳定RCCI发动机负荷范围,并预测发动机失火、爆震的发生,从而提升其工作稳定性。
从上述国内外研究现状可以得出,一方面RCCI燃烧模式在低负荷区域HC与CO排放略高,在使用EGR的条件下,高负荷表现较差;另一方面,RCCI模式的NOx和碳烟排放较低,热效率表现良好,且发动机工作稳定可控。总体而言,在考虑能源经济性与排放清洁性的条件下,RCCI技术在低温燃烧技术中具有较大的发展前景。
1.4 本文研究内容与目的
本课题将针对柴油-天然气RCCI发动机展开。基于CFD软件CONVERGE,以双燃料发动机作为原型机,建立柴油-天然气RCCI发动机数值计算模型。经过RCCI控制规律验证后,本课题将根据模拟所得的流场分布和性能参数和排放特性,研究RCCI发动机的主要控制策略,分析各类控制参数对RCCI发动机流动、燃烧和污染物形成过程的影响,并结合发动机运行参数进一步提出控制变量的使用范围以及控制建议,优化RCCI发动机的工作状态与污染排放。
本研究拟采用的技术路线图如图1.2所示。第一步,本课题将初步建立CONVERGE数学计算模型。将原型机的三维立体模型导入CONVERGE软件后,自动化生成离散化网格。模拟过程将从进气门关闭后开始,随后活塞压缩至上止点,缸内发生着火-燃烧过程,直至排气阀开启结束。此外,根据原型机运行参数设定,选择相应的柴油-天然气双燃料化学动力学机理。基于CONVERGE软件的数值求解器,选择合适的湍流模型、喷雾模型、燃烧模型、排放模型等子模型。
以上是毕业论文大纲或资料介绍,该课题完整毕业论文、开题报告、任务书、程序设计、图纸设计等资料请添加微信获取,微信号:bysjorg。
相关图片展示:








        
            
