三元锂离子电池健康状态仿真毕业论文
2020-02-18 10:41:06
摘 要
近年来,为了解决能源短缺与环境污染,世界上许多国家都逐渐提高了对燃油车排放的限制,同时鼓励以锂离子电池汽车为代表的新能源汽车的发展。锂离子电池是新能源汽车的主要能源储备装置,它的性能保障对整车的可靠性与安全性而言十分关键。为了防止因为电池性能退化而导致的设备失效,需要对电池的健康状态(State of health,SOH)监测以及剩余使用寿命(Rest Useful Life,RUL)进行预测,以便于及时对电池进行维护或者更换。
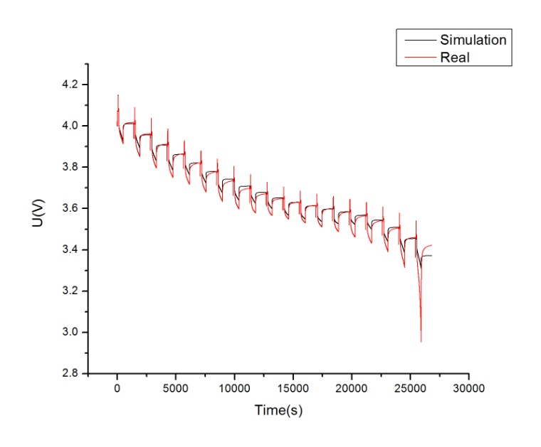
本文首先对18650电池进行实验,并根据数据建立了模型。实验在不同循环次数,不同环境温度,不同充放电倍率下对锂离子电池进行的混合动力脉冲能力特性(Hybrid PulsePower Characteristic, HPPC)实验以及循环实验。利用cftool对HPPC实验脉冲的搁置阶段进行拟合,可以得到各个容量下的电池内部参数:欧姆内阻R0,极化电阻R1、R2,电容C1、C2以及开路电压Uocv。根据二阶Thevenin模型的状态方程,利用Simulink建立出仿真模型,对模型输入HPPC实验电流以及放电实验电流可以得出仿真曲线。对比仿真曲线与实际电压-时间曲线,结果表明误差在2%以下,模型有效。需要注意在电量即将耗尽的阶段,HPPC实验无法测得其内部参数,而实际上电池内部参数有较大的变化,模型中该阶段的参数采用的前一电量下对应的参数,所以曲线末端会有较大的误差。
接着需要探究不同循环次数,不同环境温度,不同充放电倍率对电池SOH的影响。根据SOH的定义,本章将用剩余容量Qres与额定容量的比值来表征SOH。根据研究得到循环次数是锂离子电池健康状态衰退的主要原因。
最后通过利用SIMULINK模型对锂离子电池进行健康状态的仿真。本章使用欧姆内阻来表征SOH。首先通过循环实验与HPPC实验确定循环次数、SOH与均值欧姆内阻的关系,拟合出关系函数。仿真利用中通过欧姆内阻来表征计算SOH。实验结果表明拟合函数的方法有一定的误差。
关键词:锂离子电池;健康状态;HPPC实验;循环实验;二阶Thevenin模型
Abstract
In the recent years, in order to tackle the problem of the energy shortage and environment pollution, many countries in the world gradually rise the standard of vehicle emission and encourage the development of new energy car which is represented by Lithium-ion battery vehicle. As the main energy source of new energy vehicle, it plays a critical role in the reliability and safety. To prevent devices failure because of the degeneration of battery, it is necessary to monitor Lithium-battery’s State of Health (SOH) and predict battery’s Rest Useful Life effectively, so that the maintenance and replacement can be conducted.
This paper firstly conduct HPPC and cycle experience of 18650 Lithium battery under different cycles, environment temperature and Charge-discharge ratio. Cftool was used to fit HPPC experimental pulse, so that we can get the internal parameters of the battery at each SOC (State of Charge): R0, polarization resistance R1, R2, polarization capacitance C1, C2 and open-circuit voltage Uocv. According to the second-order Thevenin model’s state equations, we use Simulink to build the simulation model and apply HPPC current and cycle experience current to it. By comparing the simulation curve and real curve, it turns out that average error is under 2%, model is effective and precise. However, It should be noted that in the phase when the battery is about to run out, the HPPC experiment is unable to measure its internal parameters, while in fact, the internal parameters of the battery vary greatly. The parameters of this stage in the model are the corresponding parameters under the previous battery level, so there will be a large error at the end of the curve.
Then the paper discuss about the influence of cycling times, charge-discharge ratio and temperature to SOH values. According to definition, ratio of Qres to Qn represents SOH. It turns out that cycling times is the main reason of SOH degration.
At last the paper conduct SOH simulation with SIMULINK model. This time Ohm resistance represents SOH. According to HPPC and cycling experience data, functions among R0, cycling time and SOH are derivated. The outcomes shows that the fitting curve method is not very precise.
Key Words:Lithium-ion Battery; State of Health; HPPC Experience; Cycling Experience; second-order Thevenin model
目录
第1章 绪论 1
1.1.研究的背景,目的以及其重要意义 1
1.2.国内外研究现状分析 1
1.3.课题研究内容、预期目标 3
1.4.拟采用的技术方案和措施 3
第2章 锂离子电池的工作原理和影响因素分析 4
2.1 锂离子电池的工作原理 4
2.1.1 实验设备与实验用电池 4
2.1.2 锂离子电池的电化学原理 4
2.2 锂离子电池健康状况影响因素分析 5
第3章 电池内部参数的识别与SIMULINK等效电路模型的建立 8
3.1 锂离子电池模型的选择 8
3.2 锂离子电池模型的建立 8
3.3 模型参数的识别 9
3.3.1识别开路电压 10
3.3.2 识别欧姆内阻 12
3.3.3识别极化内阻和极化电容 13
3.4 SIMULINK模型的建立以及仿真结果分析 15
3.4.1 HPPC实验仿真 16
3.4.2 恒流放电实验仿真 18
3.5 本章小结 19
第4章 环境温度、循环次数及充放电倍率对锂子电池健康状况的影响 20
4.1 锂离子电池健康状态SOH的定义 20
4.2不同充放电倍率对锂离子电池健康状况的影响 20
4.2.1单次循环中充放电倍率对锂离子放电容量的影响 20
4.2.2多次充放电循环后不同充放电倍率对锂离子电池健康状况的影响 21
4.3 不同环境温度对锂离子电池健康状况的影响 23
4.3.1 电池健康状况与环境温度的关系 24
4.3.2 损失容量与环境温度间的关系 25
4.4循环次数对锂离子电池健康状况的影响 25
4.5本章小结 26
第5章 锂离子电池健康状况仿真以及剩余可用寿命预测 27
5.1实验安排 27
5.2实验数据处理 28
5.3 锂离子电池健康状态仿真 30
5.4 本章小结 31
第6章 结论 32
致谢 33
参考文献 34
第1章 绪论
1.1 研究的背景,目的以及其重要意义
随着环境污染的加剧,近年来雾霾危机激起了人们的安全与健康意识,而内燃机汽车是空气污染的重要污染源。研究表明,PM2.5是雾霾产生的元凶针,而PM2.5中尘埃颗粒的产生主要来源于化石燃料燃烧后的排放气体。而内燃机汽车是世界上化石燃料最主要的消耗设备。在这样的背景之下,针对内燃机排放污染,世界上各个国家已经开始对内燃机的生产制造实施排放限值,销售限值,甚至是禁售令;另一方面,大力加强对各类新能源汽车的研发与推广;改善能源结构,加大核能、风能、水能、太阳在国家能源结构中的占比。例如,美国加州的发言人声明会在2030年禁售燃油车;荷兰表示将在2025年后紧跟其他国家的步伐实行燃油车禁令;挪威的禁售计划暂定于2025年实行;印度和德国计划将在2030年全面禁售燃油车;英国和法国的禁售时间则定在2040年。
在我国,针对内燃机排放污染,自2020年7月1日起,我国将启用国六标准进一步限制内燃机排放,即施行《轻型汽车污染物排放限值及测量方法(中国第六阶段)》与《重型柴油车污染物排放限值及测量方法(中国第六阶段)》。同时,我国大力支持新能源汽车的发展,自2016到2018年, 我国对新能源汽车的补贴政策推广到了全国范围, 精细化分档补贴政策、严格控制新能源汽车技术指标。[21]
伴随着新能源汽车的快速发展,纯电动汽车以其极为优秀的动力性,低保养成本与舒适的驾驶体验等优点而受到了电动汽车巨头特斯拉的大力发展,在全美大范围铺设充电基础设施,研发了功能强大的锂离子电池管理系统。三元锂离子电池作为电动汽车的核心,具有能量密度高,稳定性好,自动化生产技术成熟等优点。但传统锂离子电池组对温度十分敏感,一致性较差,当单体锂离子电池出现故障如果不加以维护,则会带垮整个锂离子电池组。因此,对三元锂离子电池荷电状态(State of Charge,SOC)与电池健康状态(State of Health,SOH)准确估计,对剩余可用寿命(Rest Useful Life,RUL)的有效预测有着十分重要的意义。[4]
1.2 国内外研究现状分析
锂离子电池作为电动汽车的主要能量源,其新能的优劣对电动汽车的发展有着重要的影响。在选择电池时,对其各方面的性能都有着严格的要求,尤其是要求有较好性能的稳定性,以保证行车安全。因此需要锂电池较高比能量,较长的循环寿命,以及良好的大电流放电功能。使用三元锂离子动力电池作为电动汽车主要能量来源是合适的选择。[3]
锂离子电池的的健康状况包含了电池的SOH包含容量、内阻以及功率的等性能参数。通常SOH表示在标准条件下完全充电后测定容量与额定容量的比值,是电池寿命的一种表现形式。查询IEEE标准1188.1996,当锂离子电池的SOHlt;80%的时候可以判断无法正常发挥性能,电池失效,应更换电池。锂离子SOH衰退的原因多样,较为复杂。一般来说,具体的因素有下列所述:界面膜的形成,正极材料的溶解,电解质溶液的分解,自放电,过充电,锂离子正常脱嵌时正极材料的相变化,集流体腐蚀,环境温度,充放电截止电压,充放电倍率,放电深度,生产设备、过程、工艺的差异等。考虑到这么多的原因,对于锂离子电池的仿真分析,目前大致有以下所述方法:
一、基于模型的方法。具体来说有衰退机理模型,等效电路模型(电阻表示压降,电容,电感,电流源和电压源等描述电池特性的变化)和经验衰退模型(粒子滤波法Particle Filter, PF和卡尔曼滤波法Kalman Filter, KF等改进方法)。庞辉利用了扩展单粒子模型研究了一种锂离子电池参数识别策略。[15]张锋,张金等人实现了粒子滤波算法来预测锂离子电池健康状态。[18][19]哈尔滨工业大学的杨金星验证了基于自回归滑动平均模型(ARMA)与粒子滤波法(PF)的锂离子电池剩余寿命预测的可行性。[20]A. El Mejdoubi等人使用自适应观察机根据电池表面温度变化,利用扩展卡尔曼过滤法同时观测SOC情况与估计SOH。[23]
二、基于数据驱动的方法。目前有时间序列模型(自回归模型AR),人工神经网络模型(ANN),和支持向量机(SVM)等方法。
北京理工大学董汉成等人时应用支持向量回归机(SVR-PF)改进标准粒子滤波算法具有粒子贫化效应的缺点,准确地对电池SOH进行了估计。[11]张任,胥芳,陈教料,潘国兵通过PSO-RBF神经网络法进行了锂离子电池健康状态预测。[5]张洋等人提出多核相关向量机模型能够更为准确的对锂离子电池的健康状况进行估计,对剩余寿命进行预测。[9]大连理工大学的玥锌,刘淑杰等人对电池容量退化服从非线性维纳过程建立状态空间模型,利用共轭分布性质简便地估计了电池参数,根据粒子滤波进行了剩余寿命预测。[10]J. Meng等人进行了短期脉冲实验,利用支持向量机实现了对支持向量机的预测。[26]L. Caid等人使用支持向量退化和遗传算法来更加有效地预测了电池SOH。[25]X. Tang等人对经验循环数据进行处理,对容量增加进行分析,提出了一种新的、很有计算效率的SOH预测算法。[24]H. Dong等人利用支持向量粒子退化过滤器的混合方法锂离子电池健康状况进行监测和剩余可用寿命进行了预测。[22]
本论文的目的是对三元锂离子电池的健康状况进行仿真,同时研究环境温度、充放电倍率和循环次数分别对锂离子健康状况的影响。本文将进行混合动力脉冲能力特性实验(Hybrid Pulse Power Characteristic Experience, HPPC)以获取锂离子电池在某个条件下的充放电过程中电压、内阻、容量等参数;利用充放电循环实验获取锂离子电池在不同充放电倍率,环境温度下进行充放电循环时,其电池容量随着充放电倍率和环境温度变化的规律。实验目的如下:
- 利用实验中所获取的参数,根据二阶Thevenin等效电路模型的状态方程,通过MATLAB/SIMULINK来建立仿真模型。模型完成之后将进行仿真,根据混合动力脉冲能力特性实验以及充放电循环实验的实验电流以及实验时间,利用仿真模型进行仿真,对仿真曲线和实际曲线进行对比分析,对仿真曲线的精度进行评估,验证模型的有效性。
- 根据实验所获得的电池内部参数的数据,利用控制变量的方法对实验数据进行处理与研究,分别了解环境温度对电池健康状态的影响、充放电倍率对电池健康状态的影响,循环次数对电池健康状况的影响。最后对电池均值内阻数据进行处理,利用一种拟合的方法对锂离子电池健康状况进行仿真。
1.3 课题研究内容、预期目标
1.查阅文献,学习锂离子的电池结构、工作特性以及锂离子电池健康状态评估方面的各种方法,了解国内外研究现状;
2.通过实验辨识建立等效电路模型中所需的电池内部参数,获得电池在不同的充放电倍率和不同环境温度下,锂离子电池健康状况特征参数的变化规律。
3.建立锂离子电池等效电路模型,通过SIMULINK仿真,使用一种SOH估计的方法进行仿真分析,根据仿真结果与实验结果之间的拟合程度进行评价。
1.4 拟采用的技术方案和措施
1.采用HPPC实验方法测出锂离子电池的欧姆内阻R0、极化内阻R1、R2,极化电容C1、C2,开路电压Uocv与充放电倍率以及环境温度变化的关系。
2.根据所辨识的参数在MATLAB/SIMULINK软件建立锂离子电池的等效电路模型,验证电池模型的有效性
3.根据电池模型对不同循环次数和不同放电温度下的电池健康状态进行评估,总结规律,得出结论。
第2章 锂离子电池的工作原理和影响因素分析
2.1 锂离子电池的工作原理
2.1.1 实验设备与实验用电池
以上是毕业论文大纲或资料介绍,该课题完整毕业论文、开题报告、任务书、程序设计、图纸设计等资料请添加微信获取,微信号:bysjorg。
相关图片展示:









