纳米孔内二氧化碳驱油的分子动力学模拟研究毕业论文
2020-02-18 10:37:26
摘 要
在经过一次和二次采油之后,油藏中仍有50%原油未被开采,在二次采油以后将二氧化碳注入油田可以有效的提高采油率。而非常规油藏中蕴藏着大量纳米孔,有40%的原油都被吸附于纳米孔中。因此二氧化碳在纳米孔内驱替原油的机理和界面性质的研究非常重要,对于提高原油的采收率有重大意义。本文采用分子动力学模拟的方法,对二氧化碳-烷烃气液体系和岩石-烷烃固液体系进行了模拟研究。在研究中对二氧化碳-烷烃气液体系内的相平衡和气液界面的界面特性进行了探究,分析了这些物理特性随温度和压力的变化规律,发现界面随着压力增大而趋于消失。同时我们对比了水、二氧化碳两种物质和正辛烷之间的界面张力,结果表明二氧化碳和正辛烷的界面张力明显更低,证明了二氧化碳的驱油效果要更好。在模拟中,使用界面张力消失法成功预测出了正辛烷和原油的最小混相压力。此外,在固液体系的模拟中,本文还研究了岩石和孔径对模拟的影响,对比了加入二氧化碳前后孔隙内密度分布的变化,发现二氧化碳可以取代吸附于壁面的烷烃并将其驱替至孔的中间。
关键词:纳米孔;二氧化碳驱油;分子动力学模拟;界面
Abstract
After primary and secondary oil recovery, 50% of the crude oil in the reservoir still stays in a trapped state. Injecting carbon dioxide into the oilfield after secondary oil recovery can effectively increase the oil recovery rate. Due to the abundant distribution of nanopores in unconventional oil reservoirs, 40% of the crude oil is adsorbed in the nanopore. Therefore, the investigation on the interfacial properties of the CO2-oil system and the mechanism of displacement of oil by injecting CO2 into nanopores is essential and important for improving the recovery of crude oil. In this paper, the molecular dynamics simulation method is used to simulate the carbon dioxide-alkanes gas-liquid system and the rock-alkane solid-liquid system. In the study, the phase equilibrium in the CO2-octane gas-liquid system and the interface properties of the gas-liquid interface were investigated. The changes of these physical properties with temperature and pressure were analyzed. It was found that the interface tends to disappear with the increase of pressure. Meanwhile, we compared the interfacial tension between water/carbon dioxide and n-octane. The results show that the interfacial tension between carbon dioxide and n-octane is significantly lower, which proves that the oil displacement effect of carbon dioxide is better. In the simulation, the minimum miscibility pressure of n-octane and crude oil was successfully predicted using the interfacial tension disappearance method. In addition, in the simulation of solid-liquid system, the influence of rock and pore size on the simulation is also studied. The variation of density distribution in the pores before and after the addition of carbon dioxide is compared. It was found that carbon dioxide can replace the alkanes adsorbed on the wall and drive them to the center of the pore.
Keyword:nanopores;carbon dioxide enhanced oil recovery;molecular dynamics simulation;interface
目录
摘要 I
Abstract II
目录 III
第1章 绪论 1
1,1 研究背景及意义 1
1.2 国内外研究现状 1
1.3 本文的研究内容和研究方法 3
1.3.1 研究内容 3
1.3.2 研究方法 4
第2章 力场建立与验证 5
2.1力场建立 5
2.2力场验证 7
2.3 本章小结 9
第3章 气液体系的分子动力学模拟 10
3.1 体系建立与模拟细节 10
3.2 二氧化碳-正辛烷体系 10
3.2.1 二氧化碳-正辛烷体系相平衡 11
3.2.2 二氧化碳-正辛烷体系的界面特性 12
3.3 二氧化碳-原油体系 15
3.4 本章小结 18
第4章 液固体系的分子动力学模拟 19
4.1 固液体系的建立 19
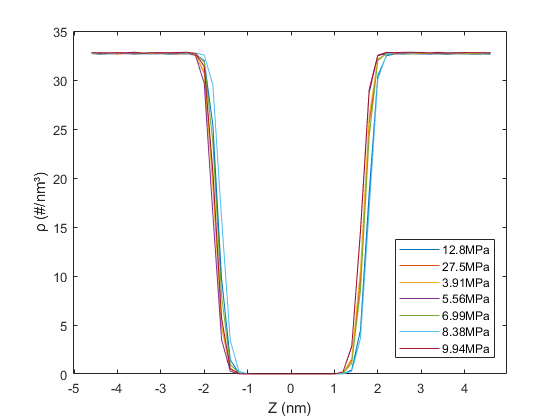
4.2 不同孔径的模拟 20
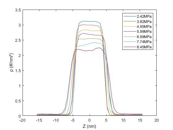
4.3 5nm纳米孔内二氧化碳驱油模拟 21
4.4 5nm孔内50%填充时的模拟 22
4.5 本章小结 24
第5章 结论与展望 25
5.1 结论 25
5.2 展望 26
致谢 27
参考文献 28
第1章 绪论
1,1 研究背景及意义
近年来,全球能源消耗日益增加,石油是目前最重要的二次能源之一,其消耗量也在不断增长,与此同时,原油的开发力度和难度也越来越大,促使原油开采技术不断更新,但仍然不足以满足人们在生产生活中的日常消耗。此外,随着工业的发展,二氧化碳这类温室气体的排放也成为了我们必须面对的一大问题。近年来,中国已经超越美国成为了世界第一碳排放大国,二氧化碳的捕集、利用与封存已被提上日程。
世界上绝大多数大型油田都属于成熟油田。在一次和二次采油后,超过50%的原油仍处于油藏中未被开采。为了提取未被开采的余油,人们开发了许多提高采收率(EOR)的技术。二氧化碳驱油是将二氧化碳注入地层以提高采油率的技术,是近年来采油工程技术进步的代表之一。由于二氧化碳容易获取且价格低廉,这项技术受到了广泛关注。将二氧化碳注入地层,一方面实现了二氧化碳的地质封存,解决了全球都在面临的二氧化碳排放问题,另一方面提高了石油的开采率,对油田的增产有重度大意义,缓解了石油资源紧缺的问题。
二氧化碳驱油技术,利用二氧化碳注入原油,使其体积发生膨胀,促进岩石孔隙中原油的流动,提高采油率。在地层中未被开采的余油受二氧化碳膨胀的驱动,余油获得了较好的流动状态。二氧化碳的注入降低了原油的粘度,增加了原油的流动性。原油黏度越高,注入二氧化碳后下降幅度越大,开采效果越好。
二氧化碳驱油技术是一种非常有前景的提高石油采收率的技术,同时有效的做到了二氧化碳的封存与利用。将二氧化碳在二次采油之后作为工质对油藏进行三次采油,可以使原油的采收率提高8%-16%。然而,在非常规油藏中存在着丰富的纳米孔,大约40%的原油都被吸附在纳米孔内。因此对于二氧化碳-原油的界面性质的研究以及对二氧化碳在纳米孔内驱替原油的机理研究非常重要。为了进行这些纳米尺度下的研究,需要一种纳米尺度的研究工具。正是考虑到这些情况,本课题以二氧化碳为主要对象,采用分子动力学模拟的方法,研究二氧化碳驱替不同岩石纳米孔隙中石油的驱替过程,分析驱替机理,以寻获最优工作条件。
1.2 国内外研究现状
由于工业在美国和欧洲一些国家的发展较早,二氧化碳排放的影响在这些国家比较早地受到了关注,因此二氧化碳驱油技术在这些国家和地区的研究开始的比较早,技术相较国内也更成熟。
从上世纪20年代开始二氧化碳驱油的研究工作就有记载,美国大西洋炼油公司[1] 在1952年得到第一个二氧化碳驱油的专利,从此二氧化碳驱油技术逐渐成为了石油化工领域学者的研究重点,这对提高油田的原油采收率做出了巨大的贡献。
而美国则是二氧化碳驱油技术发展得最快的国家。自上世纪80年代以来,美国的二氧化碳驱项目不断增加,目前美国有64个正在实行的二氧化碳混相驱项目。加拿大也对二氧化碳驱进行了大量实验研究,并获得了很大成功,在实验中验证了二氧化碳溶解在石油中可以降低粘度。
最近,一些学者用分子模拟的方法来研究纳米孔中二氧化碳驱油的微观结构、动力学和采收率,这些在实验中是很难测量的。Le[2,3]等人研究了限制在狭缝状二氧化硅孔隙中的二氧化碳-正丁烷混合物的结构和动力学,其结果与吸附等温线定性一致。与对纳米孔中的CO2和轻质烃(如甲烷、丁烷)或它们的混合物的广泛分子模拟研究相比,对纳米孔中的CO2和长链烃(如癸烷)的混合物的研究很少。曹[4]等人利用分子动力学模拟研究了温度、孔径和油密度对蒙脱石纳米孔中正辛烷扩散系数的影响。王[5]等人描述了温度、驱动力和孔径对纳米孔中CO2和正辛烷流体流动的影响。然而,在这些研究中,不是在没有CO2的情况下研究正辛烷,就是CO2和正辛烷分别被填充进纳米孔,纳米空中CO2和长链烃混合物的微观结构和动力学特性尚不清楚,但两者对于理解二氧化碳驱油的机理都很重要。最近,桑托斯等人观测到了CO2取代了吸附在方解石表面的烃类(甲烷、正丁烷和正辛烷),并发现温度、孔径、二氧化碳分数和正烷烃长度是选择性吸附CO2的关键因素。
在二氧化碳驱油中,二氧化碳溶解于原油的过程中界面性质发生的变化是理解驱油机理的关键。Gallegos[6]等人测量了二氧化碳在正辛烷和正癸烷中的溶解度,并使用彭-罗宾逊状态方程[7]将这些数据联系起来,这可用于预测其他温度下的溶解度。Nagarajan[8]等人和Shaver[9]等人获得了CO2和正癸烷的界面张力和相组成。Georgiadis[10]等人给出了二氧化碳-烷烃混合物在几种高温高压下界面张力的实验和SAFT模拟数据。Moltos[11]等人进行了分子动力学模拟,计算了CO2在423.15 K温度和65 MPa压力下在多种碳氢化合物中的扩散系数。结果表明,所有烷烃中CO2的扩散系数均明显偏离Stokes-Einstein关系。Neyt[12]等采用了两阶段法蒙特卡罗和吉布斯系综蒙特卡洛模拟方法预测二氧化碳-丁烷的界面张力,模拟结果与实验结果定性一致。这里定性而不是定量一致可以归因于这样一个事实:尽管二氧化碳和烷烃的力场可以单独预测单一组分系统的基本性质非常接近实验测量,标准Lorentz-Berthelot规则计算不同物质之间的相互作用,不可能准确描述二氧化碳和油之间的交互,从而导致偏离实验。因此,有必要对二氧化碳和烷烃之间的相互作用进行修正。Rommerskirchen[13]等人使用耐压蓝宝石电池测量最小混相压力(MMP),这比细管实验更快,成本更低。这些基础数据为更好地理解二氧化碳驱油奠定了基础。然而,非常规储层中广泛分布着纳米孔并表现出超低的渗透性[14]。在这样的条件下,达西定律不适用,与传统储层相比,流体性质也发生了很大变化。Pathak[15]等人发现纳米孔中烃类流体的沸点压力低于体相区的沸点压力。Alfarge[16]等人观察到页岩纳米孔中最主要的流动是扩散流动。Majumder[17]等人和Whitby[18]等人通过多壁碳纳米管测量了己烷和癸烷的流动。他们观察到流速比传统理论的预测快4~5个数量级。为了进一步研究纳米限制的影响,近年来已经使用分子动力学(MD)模拟。 Wang[19]等人还分别观察到有机纳米孔中CO2和正辛烷的快速迁移,比无滑动Poiseuille方程的预测快1~3个数量级。Santos[20]等人和之前的工作[21]中观察到,由于二氧化碳的吸附较强,烷烃被方解石和石英表面的二氧化碳置换。大量研究[21,22]发现,二氧化碳可以增强纳米狭缝中烷烃的扩散系数,这有助于油更容易通过纳米狭缝和纳米孔。Wan[23]等人的研究表明,循环注气通过提高油层的扩散系数,可以提高页岩油油藏的采收率。
虽然前人的工作对石油吸附和二氧化碳提高采收率机理的认识有了较大的加深,但仍有一些问题有待解决。比如如何通过MD模拟准确预测二氧化碳和原油的界面性质。与实验相比较,采用MD模拟的方法获得体系的物理性质更为经济有效。在之前的工作中,Mejia[24]等人通过实验对气液界面的性质进行了预测,并利用MD模拟和统计关联流体理论(SAFT)状态方程对预测结果进行了补充。他们指出MD模拟结果的准确性非常依赖于使用的力场。王[21]等人的工作表明,使用合适的组合规则可以更好地耦合不同的力场,这将在本工作中得到进一步验证。准确的模拟预测还可以使我们更好地了解二氧化碳在石油中的溶解过程和界面的变化过程。
1.3 本文的研究内容和研究方法
1.3.1 研究内容
本次工作主要针对理论模拟,利用分子动力学模拟的方法,构建了二氧化碳-正辛烷和二氧化碳-石油的气液界面模型、石油-岩石的固液界面模型,模拟二氧化碳驱替岩石孔隙石油的驱替过程,从分子尺度上分析其驱替机理。
在本工作中,我们建立了二氧化碳和正烷烃的力场并进行了验证,建立了二氧化碳-烷烃气液体系进行分子动力学模拟,研究了气液两相平衡组分和气液界面中的一些物理性质,如摩尔分数和界面张力。同时还模拟了水-正辛烷体系,将水和正辛烷之间的界面张力与二氧化碳和正辛烷的界面张力进行了对比。在后来的工作中进一步模拟了二氧化碳-原油的气液体系,通过界面张力消失法拟合出原油在不同条件下的最小混相压力。此外,我们还选择了石英、方解石两种岩石,模拟了烷烃-岩石液固体系,通过对不同岩石和不同大小孔径的模拟对比了岩石种类和孔径大小对烷烃分布的影响。同时还分析了岩石纳米孔隙内烷烃的吸附现象以及填充二氧化碳后吸附现象的变化,然后讨论了纳米孔内二氧化碳驱油的机理。
1.3.2 研究方法
分子动力学(MD)和蒙特卡洛(MC)是分子模拟技术的两大类,MD相对于MC的明显优势在于,它提供了一种获得系统动力学特性的途径:输运系数、对扰动的时变响应、流变特性和光谱。分子动力学主要依靠计算机来模拟分子和原子的运动,通过模拟体系内的分子和原子在一段时间内的运动来考察系统随时间的变化。根据原子的初始坐标和每个原子受到的力可以用牛顿运动方程计算出每个时刻的坐标从而得到原子的轨迹。原子受到的力可以由力场和相互作用势能函数得到。模拟结束后,我们可以从保存下来的能量文件和轨迹文件中计算得到需要的参数,如温度、压力、密度、扩散系数和界面张力等。
常用的分子动力学模拟软件有AMBER,CHARMM,Gromacs,LAMMPS,NAMD。Gromacs[25]最初主要用于蛋白质和脂类等生化分子的模拟,但现在很多课题组也把Gromacs用于非生物系统的模拟,如本文要模拟的二氧化碳-石油系统,Gromacs也同样适用。与其他分子动力学模拟软件相比,Gromacs在算法上进行了大量的优化。Gromacs计算原子间相互作用的速度非常快,是其他软件的3-10倍。此外,Gromacs可以使用有损压缩的坐标写入方式,这提供了一种非常紧凑的存储轨迹的方式,压缩的精度可以由用户自行设定。
第2章 力场建立与验证
2.1力场建立
在开始模拟之前,我们需要建立一个适合我们体系的力场,合适的力场能够准确的描述原子间的相互作用。Gromacs中的力场由两部分组成:(1)一组被称为势函数的方程式,用来产生势能,还有它们的导数,力;(2)这组方程式中用到的参数。
粒子之间的相互作用势由两部分组成:非键相互作用和键相互作用。
非键相互作用包括库仑势和范德华势,库仑势由以下公式计算:
(2.1)
范德华势用Lennard-Jones势描述,由以下公式计算:
(2.2)
(2.3)
(2.4)
其中为L-J相互作用势,ε是描述相互作用强度势能阱的深度,σ是互相作用的势能正好为零时的两体距离。
键相互作用包括键的伸缩能、键角的弯曲能、二面角的扭转能。
键的伸缩能由以下公式计算:
以上是毕业论文大纲或资料介绍,该课题完整毕业论文、开题报告、任务书、程序设计、图纸设计等资料请添加微信获取,微信号:bysjorg。
相关图片展示:









