染料敏化太阳能电池冷却结构的研究毕业论文
2020-02-19 20:30:12
摘 要
染料敏化太阳能电池作为取代传统硅电池得新型太阳能电池,有着制造成本低,生产容易,原材料丰富且对环境污染小等众多优点,随着人们不断的研究,不断提升它的光电转换效率,希望有朝一日能被人们应用于生活中,虽然经历了近二十年的发展却仍有着许多的问题,其中温度就显得格外重要,温度过高不仅会影响他的工作效率,就连使用寿命也会有影响。而本文就为了解决这一问题,来研究它的冷却结构,希望能解决掉温度过高的问题。
本文3D建模软件ANSYS以及计算流体温度场软件FLUENT对染料敏化太阳能电池进行三维建模,并对其工作时的温度变化曲线进行了模拟计算,而后,对其增加了两种不同类型的肋片(矩形肋片和三角形肋片),再分别模拟计算增加肋片后的温度变化曲线,并将其放在一起作为对比,所得结果对于染料敏化太阳能电池冷却结构的研究有着重要的意义。
论文主要研究了由于长时间在太阳光下工作,太阳能电池的温度会升高逐渐影响它的工作效率以及使用寿命,故而需要一个合适的冷却结构来解决这个问题,而肋片的添加就能很好的解决太阳能电池温度过高的问题。
研究表明,肋片的使用,增大了电池的散热面积,并使得大量的热能转换到了肋片是,有着明显得散热作用,且三角形肋片是设计简单且最接近于理想肋片得,其散热效率比矩形肋片要高,是较为理想的散热肋片。
本文主要是使用了控制变量法的原则,在模拟的环境中,将其光照强度等参数均设为相同,仅改变有无肋片以及肋片的形状,这样就能直接了当的从结果得出结论。
关键词:染料敏化太阳能电池;冷却结构;肋片;热效应
Abstract
As a new type of solar cell that replaces traditional silicon cells, dye-sensitized solar cells have many advantages such as low manufacturing cost, easy production, abundant raw materials and little environmental pollution. With the continuous research, people continue to improve its photoelectric conversion efficiency. One day, people can be used in life. Although they have experienced nearly two decades of development, there are still many problems. Temperature is particularly important. If the temperature is too high, it will not only affect his work efficiency, but also the service life. influences. In order to solve this problem, this paper studies its cooling structure and hopes to solve the problem of excessive temperature.
The 3D modeling software ANSYS and the computational fluid temperature field software FLUENT modeled the dye-sensitized solar cell in three dimensions, and simulated the temperature change curve during its operation. Then, two different types of ribs were added to it. Pieces (rectangular ribs and triangular ribs), respectively, simulate the temperature curve after adding ribs, and put them together for comparison. The results obtained are of great significance for the study of the cooling structure of dye-sensitized solar cells.
The paper mainly studies that the temperature of solar cells will increase gradually affecting its working efficiency and service life due to working in sunlight for a long time. Therefore, a suitable cooling structure is needed to solve this problem, and the addition of ribs can be very A good solution to the problem of excessive solar cell temperature.
Studies have shown that the use of ribs increases the heat dissipation area of the battery and allows a large amount of thermal energy to be transferred to the ribs, which has a significant heat dissipation effect, and the triangular ribs are simple in design and closest to the ideal ribs. The heat dissipation efficiency is higher than that of the rectangular ribs, and it is an ideal heat dissipation fin.
This paper mainly uses the principle of the control variable method. In the simulated environment, the parameters such as the light intensity are set to be the same, and only the shape of the ribs and the ribs are changed, so that the result can be directly obtained from the result. Conclusion.
Key Words:DSSC;Cooling structure;Rib;Thermal effect
目 录
第1章 绪论 1
1.1 引言 1
1.2电池的基本组成 2
1.3电池的工作原理 4
1.4电池的发展事记 4
1.5电池的温度影响研究现状 5
1.6本文的研究内容 5
1.7文章结构 6
1.8章节小结 6
第2章 太阳能电池的热效应 7
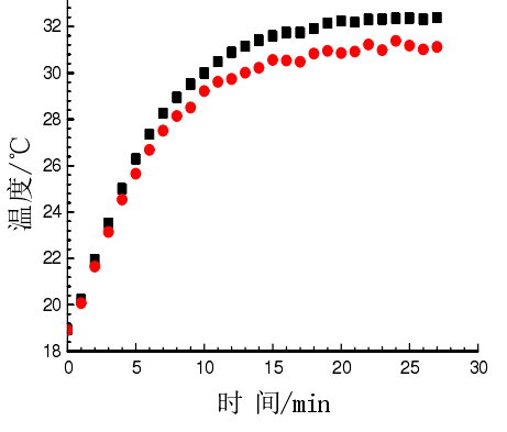
2.1实验与数据采集 7
2.2热效应的模拟 9
2.2.1模拟软件 9
2.2.2电池热过程分析 11
2.2.3建立数学模型 12
2.2.4几何模型的建立 14
2.2.5网格划分 15
2.2.6模拟设置 15
2.3章节小结 17
第3章 电池冷却结构的探究 18
3.1冷却类型选择 18
3.2单块电池冷却 18
3.3矩形肋片 19
3.4三角形肋片 22
3.5结果分析 24
3.6结论 25
第4章 结论与展望 26
第1章 绪论
1.1 引言
随着现代社会科技的高速发展,这个世界发生了天翻地覆的变化,飞机汽车火车等代步工具的大量使用,人们逐步认识到了能源的重要性,社会发展到现在的状况,与化石能源的大量投入是密不可分的,换句话说,能源是社会现代化的基础,是国家发展的经济命脉,但是地球上储存的化石能源是有限的切不可再生,随着人类不断地大量消耗,终究会用尽,据统计地球上的不可再生能源将很有可能在本世纪末被消耗殆尽,同时化石能源的使用会产生大量的烟尘等污染物,所造成的环境污染问题也是我们急需解决的话题,所以,寻找一个能够替代化石能源的新型能源迫在眉睫,该能源需具备能大量生产以及对环境污染小且方便使用等优点,这些要求不是凭空想象出来的,这是为了人类能够更好的在地球上生存下去所必需的,所以科学家们相继发现了风能,地热能,核能等等,而太阳能就是众多新型能源中最满足条件的一项。
随着当前社会的高速发展,我们对于能源的需求越来越大。在众多的电池中,太阳能电池具有通用性,无污染,产量大,持久耐用,安全性高等众多优点,而本次的研究对象就是太阳能电池的其中一种 - 染料敏化太阳能电池(DSSC)。
传统的太阳能电池通常为硅电池,以硅作为基体材料,利用硅的半导体特性,让太阳光照射到半导体的p-n结上,形成空穴-电子对,在电场的作用下,分别让光照产生的空穴流向p区,电子流向n区,这样在一个回路里就会产生电流,这就是晶体硅太阳能电池的工作原理。
而染料敏化太阳能电池主要是一种运用半导体的光电效应模仿植物光合作用原理而开发出来的的新型太阳能电池。该电池具有使用寿命长,且结构和制造工艺都很简单,这样就使得我们制备容易,方便大规模的生产该类电池,使更多的人们使用到它,不仅制造工艺简单,其生产的成本也很低,仅为传统的硅太阳能电池的五分之一到十分之一,生产的过程中也不会产生有毒物质来污染环境,对于保护人类生态环境有着非常重要的意义,还有就是制备电池所消耗的能源少,使得能源回收周期更短,更早的为我们提供电能,其电池各方面不仅是从性能还是从生产难易程度等等各方面都要由于传统的晶体硅太阳能电池。
生产染料敏化太阳能电池所用的只要原料是二氧化钛和染料敏化剂,这两样东西的成本较低,所以就方便了人们的大规模生产,其中的染料敏化剂吸收光能发生氧化还原反应产生电能,其过程类似于植物的光合作用原理。
染料敏化太阳能电池凭借着诸多的优点,使得人们相信它能很好的解决掉目前我们所面临的能源以及环境污染危机问题,这个靠模拟自然界中植物光合作用原理来完成光电转换的新型太阳能电池,也正因此吸引着越来越多的来自世界各地科研人员的目光,成为了目前重点的研究对象之一。
1.2电池的基本组成
染料敏化太阳能电池大致是由以下各部分组成:以导电玻璃作为基底,导电玻璃为半透明结构,太阳光照可以直接穿过它,导电玻璃上镀有一层二氧化钛薄膜,其中二氧化钛薄膜为多孔介质,而结合在二氧化钛薄膜上的染料敏化剂,而后,与染料敏化剂想接触的就是电解质,电解质的上方是不透明的碳膜以及更上方的钛板,其中染料敏化剂吸附在二氧化钛薄膜上形成电池的光阳极,而碳膜与钛板的组合被称作对电极,由名字大致可以推断出,光阳极是可以吸收光,而对电极则是已经转换为电能的一端。
在染料敏化太阳能电池中的每一部分都有着重要的作用,我认为其中最重要的就是光阳极,光阳极由二氧化钛薄膜和染料敏化剂共同组成,二者一起吸收太阳光照,选择二氧化钛的原因是他资源丰富,产量充足,发生光电效应时稳定等优点,在吸收了太阳光照后很容易激发出电子,但是也有一个缺点就是他所能吸收的太阳光光谱较窄,有很大程度上波带范围内的太阳光无法被吸收,为了避免资源被浪费,同时提高它的光电转换效率,这个时候就需要添加一种吸收波带比它更宽的材料来吸收多余的太阳光,这里选择染料敏化剂作为该材料,让染料敏化剂分子吸附在二氧化钛薄膜上,使得光电极能够吸收的波带变宽,同时要使二氧化钛薄膜表面与它体积的比尽可能大,这样可以在二氧化钛薄膜一定量时,它的表面积足够大,用以吸附更多的染料敏化分子,从而激发出更多的电子,提高光电转化效率,还有就是,二氧化钛薄膜需要是多孔结构,只有这样才能尽可能多的吸附染料分子,使得光电转化效率达到预计所需的要求,并且多孔结构也使得电解质能在二氧化钛薄膜内部更好的渗透,这样就使得被氧化的染料敏化分子更好的发生氧化还原再生,通过研究可知孔隙率在0.5至0.6之间最佳。
染料敏化剂的作用就是与二氧化钛薄膜一起吸收太阳光照,同时,他需要有着比二氧化钛薄膜吸收的太阳光的波带更宽,不仅仅吸收的波带要宽,吸收太阳光的能力也要更强,否则就没有该材料存在的价值,而该染料分子在吸收了太阳光照之后,发生氧化反应,激发出电子,并在连接的外电路中形成电流,这就完成了光能向电能的转换,同时为了保证染料敏化剂正常的发挥作用,它需要紧密的结合在二氧化钛薄膜上,不能发生脱落,染料被吸附在二氧化钛膜上,同时电池是一个封闭的环境,所以作为液体染料敏化剂并不会流出,染料敏化剂两面分别与FTO和二氧化钛薄膜紧密的接触,形成两个耦合面,这样才能保证激发出的电子能够稳定的运输至对电极中去,如果接触的不紧密,会导致电子运输出现问题进而影响电池的光电转换效率。染料敏化太阳能电池主要利用光阳极来吸收太阳光,以发生光电效应,它接收太阳光并被激发,发射电子和使自生变为氧化态,这就要求了染料分子的化学性质稳定,只接受光子能量激发出电子,而不会与和它相接触的材料发生反应,同时该分子具有比电解质中的氧化还原对更高的氧化还原能力,只有这样才能使得氧化态的染料分子迅速的被还原,染料分子迅速的被再生,有助于提高光电转换效率,加快电子生成的速度。
电解质也是电池的重要组成之一,其主要的作用是传输电池中的电子以及使染料敏化剂分子还原再生,同时对电池的光电转化效率,稳定性以及对二氧化钛薄膜和氧化还原对的能级等都有较大的影响,电解质一般分为液态,准固态以及固态电解质,其中使用最多的是拥有较高电导率的液态电解质,离子在其中的扩散速率高,对二氧化钛薄膜的渗透率也好,虽然液态电解质电导率高,但是对电池的封装要求也更高,很容易发生渗漏和挥发,而固态电解质,工艺简单且稳定性良好,但却不能和多孔二氧化钛薄膜上的染料敏化剂分子充分接触,由此可见,准固态电解质成为了最佳的选择,这就加强了人们对准固态电解质的开发与研究,用以解决这些问题,提高电池性能。
对电极的好坏是决定着一个电池性能是否高效的重要因素,由于它的作用是将激发出的电子导出,所以它需要具有良好的导电性,同时由于对电极与电解质接触,而电解质的作用还有使氧化态的染料分子还原,要想使电池变得高效,那么最好对电极还具有一定的催化效果,加速氧化还原反应的发生,使得染料分子的再生以及电子的激发速度更快,而铂这种金属就完美的符合了这一点,被广泛地应用于染料敏化太阳能电池的对电极,但是铂是一种稀有金属,造价过高使得不能大规模的生产且大大的提高了电池的制造成本,所以低成本的碳质材料作为取代铂的替代品才会被研究,另外碳质材料的多孔性,使得电解质能够紧密吸附在对电极上,这样大大提高了对电极的催化效果,并且碳质材料的电荷转移电阻较低,这就使得电子的运输效率高,也能大大提升电池效率,所以选择碳质材料为对电极,不仅能大大减少成本,同时对于光电转化效率的提高也有着很大的帮助。
1.3电池的工作原理
染料敏化太阳能电池在被太阳光照射后,二氧化钛薄膜与吸附于其上的染料一起接受光子能量,染料接受更宽波带的光照,使得自身的能量上升,变为氧化态,被激发出电子,然后电子通过二氧化钛的运输,转到电线然后通过环路将其运输到相反的电极,最终在电解质中遇见氧化态的染料分子以及氧化还原对,在碳质材料的催化下发生还原反应,生成全新的染料分子,从而完成一次光能到电能的转换。
但是在光电转化的过程中,二氧化钛材料在运输激发态的电子时,虽然正常状态下的染料分子化学性质稳定,不会与之发生反应,但是激发出电子使得自身处于氧化态的染料分子就很容易于二氧化钛发生氧化还原反应了,另外也有可能与电解质发生氧化还原,这两种现象都减少了激发态的电子流入对电极,造成光电流的损失,因此可以通过有效的抑制这两种情况的发生,使激发态的电子更多的流入对电极以提高光电转化效率。
1.4电池的发展事记
自1839年起,科学家首次发现了光电现象,使得光电转换成为了可能,起初是由金属材料发现光电现象,而后将目光转向了半导体,研究发现,吸附了染料的半导体在某特定的条件下会产生电流,这就是基于光电转换的电池的基础,而到了1980年,经历了一百多年的发展,科学家们将光电现象的研究重心逐渐转移到了植物光合作用的模拟上,因为这是自然界中最为直观的对于光能转换为其他能量的现象,而后科学家们研究各类染料敏化剂,将其涂在半导体电极或平面上,仅在表面涂上薄薄的一层,可以发生光电转换,但是其效率小于1%,这就是最早的染料敏化电池。
随着时间的推移,人们不断的对于染料,电极等各个方面进行优化,不断地提升染料敏化电池的光电转换效率,目前最高的已经达到了13%,但是这种电池仍有极大的提升空间,不仅在效率上,对于它的稳定性,使用寿命等等都能继续提高,同时,由于这类电池的结构简单,不需要像传统的硅电池一样,所以它的形状,颜色,结构都可以根据自身的需求来进行设计,使得电池多样化,显然,比传统的太阳能电池有着更为广泛的应用前景,但是要想真正的使用它现在还为时过早,要想使它真正的进行产业化大批量的生产,使之产生的电能服务于人类,还需要各国科学家们不懈的努力才行,相信在不久的将来,这种新型的电池能够真正的走入我们的生活被我们所使用。
1.5电池的温度影响研究现状
从瑞士的Gratzal教授的研究小组首次发现染料敏化太阳能电池至今二十多年的时间里,他的光电转化效率已经高达13%,但实际上影响其光电转化效率的因素仍存在着很多,比如电池的温度过高就是很直接的影响。
尽管这种新型的太阳能电池有着诸多的优点,但是仍有许多影响电池性能的因素需要被克服,目前影响最为严重的就是电池的温度过高导致的电池性能降低,这样就显得对于染料敏化太阳能电池的温度控制显得至关重要。为了使电池高效且长久的工作,我们就一定要做好它的冷却结构,使它的温度不能过高。
据了解,不论在多不利的条件下,染料敏化太阳能电池的工作温度都在零至一百摄氏度的区间,根据Petterson的研究结果表明,当电池的温度处于50度以下时,温度对于它的工作效率没有影响,但是如果温度继续升高,电池的效率就会随着温度的升高而不断下降,另外,其他实验结果显示,当温度高达了85度之后,将直接影响其转化效率,但是温度降低后,它的转化效率又会回升,这就表明电池的工作效率与温度的高低呈现负增长且该过程可逆,同时过高的温度不仅仅影响其工作效率,过高的温度会影响电池的热应力,使其使用寿命减少,甚至会使得电解质发生化学变化,进而影响其性能。
1.6本文的研究内容
利用建模软件来进行电池的热效应分析,首先分析染料敏化太阳能电池的热效应,得出使其温度升高的原因,建立数学模型和理论公式。然后,利用仿真软件对模型进行仿真,将计算得出的数据绘制成表格或曲线,能反映出电池在该设定条件下的温度变化情况,同时实验的结果也能验证计算结果,并用于模型的利用。在分析了染料敏化太阳能电池的温度变化之后,可以得出染料敏化太阳能电池的温度场与其外部环境温度,电池材料的传热系数,太阳辐射强度和电池的初始温度是相关的,可以采取控制变量的方法,将某个影响因素设置为变量,其他为常量,并将温度绘制成图表,这样就能对比得到各种影响因素的影响下电池温度的变化情况。根据不同因素对正交试验影响不同因素的定理,可以根据定理得到电池温度与影响因子之间的等式,最后,冷却结构的设计非常重要,在这里设计了两种分别为三角形肋片以及矩形肋片的冷却结构,研究这两种冷却结构的实际冷却效果,得出电池的温度变化情况,这样才能方便以后选择最为合适的冷却结构提供帮助。
本课题基于其工作原理分析电池热效应过程,建立数学模型,研究电池温度分布和变化情况,并探索在单块电池下表面增加不同肋片结构的冷却效果。
1.7文章结构
- 太阳能电池的结构组成和工作原理以及发展现状进行了介绍。介绍了染料敏化太阳能电池是怎么被发现的,它具有什么样的研究价值,太阳能作为一个安全可靠且产量巨大的新型能源,只要我们合理的利用它,未来就能解决掉能源的危机问题。
- 主要分析了太阳能电池的热效应,并且对于所要使用的软件进行了一个简单的介绍和说明,以及软件使用过程中需要注意的一些问题。
- 介绍了两种不同的肋片,并且从原理上说明了肋片的作用,以及通过仿真模拟计算求出太阳能电池在三种情况下的温度变化曲线图,做出比较,得出相应的结论。
- 对于全文进行一个大致的总结,有哪些收获。
1.8章节小结
本章节主要介绍了染料敏化太阳能电池的发展历程,其基本组成以及工作原理,还有人们为何要发展新型能源,与传统的晶硅太阳能电池相比他的优势,还有目前在温度这一块科学家们对于该太阳能电池的研究现状。
第2章 太阳能电池的热效应
上世纪九十年代,科学家们首次发现了染料敏化太阳能电池,由于它不仅可以很好的解决能源危机问题,同时也可以减少化石燃料对于环境的污染,对比于传统的硅电池,这么多优点的发现瞬间吸引了科学家们深入的研究。染料敏化太阳能电池的性能与自身的温度有着紧密的联系,太阳能电池上的导电玻璃接受光照,开始进行光电转化,此时会产生多余的热能,使得电池本身的温度升高,温度太高的话会导致电池的光电转化效率降低,产生的电能减少,所以我们要使电池保持一个高的工作效率,我们就必须将它的冷却结构设计好,使它的温度始终在一个适合工作的范围内,才能充分的使吸收的光能转换为电能。
以上是毕业论文大纲或资料介绍,该课题完整毕业论文、开题报告、任务书、程序设计、图纸设计等资料请添加微信获取,微信号:bysjorg。
相关图片展示:









