基于CHEMKIN的甲烷燃料对冲火焰数值模拟研究毕业论文
2020-02-19 20:29:50
摘 要
人类面临着困难的能源形势和日益严重的环境污染问题。减少使用石油燃料,如汽油和柴油,以及大力发展清洁替代燃料是解决能源危机和环境污染的有效方法。天然气具有良好的防爆能力、低排放和低价格等优势,所以是一种理想的清洁替代燃料。传统是通常使用扩散燃气轮机燃烧室的燃烧,火焰温度1800-2000℃,产生氧化氮物的含量高,所以,全力发展使用天然气为燃料的燃气轮机发电技术成为重中之重。为了促进燃气轮机和气化炉等高压下的燃烧技术的发展,为其提供充分的理论依据,因此本文研究了压力对甲烷燃料层流燃烧特性的影响。
利用气相化学动力学软件CHEMKIN探究了压力对甲烷燃料层流燃烧特性的影响,计算了不同初始条件下,结合火焰结构分析,敏感性分析和质量反应速率分析,解释了压力对层流燃烧速度和天然气燃料的熄灭极限的影响。结果表明,随着压力的增加,甲烷的层流燃烧速度逐渐降低,在1-2atm之间增大趋势最大,随后增大幅度慢慢变小;甲烷的熄灭极限随着初始压力的增加呈现非线性变化,特别是当压力低于10 atm时,熄灭极限是有明显的先升高后降低的过程。
通过敏感性分析发现因为O、H和OH都是燃烧反应中对其质量燃烧速率影响很大的自由基。它们可以破坏大分子的分子键,触发引发链分支反应,加速燃料分解,释放热量。链终止反应R5(OH HO2=O2 H2O)的敏感性系数会随压力的增加而显著增加。特别是当压力超过5atm时,R5成为燃烧控制的主要反应。这种变化必然会导致近接近极限的火焰的化学动力学性质发生变化,从而改变混合气体的熄灭极限。
关键词:甲烷,高压,层流燃烧特性,CHEMKIN,熄灭极限,对冲火焰Abstract
Mankind is faced with the difficult energy situation and the increasingly serious environmental pollution problem. Reducing the use of fossil fuels, such as gasoline and diesel, and developing clean alternative fuels are effective ways to solve the energy crisis and environmental pollution. Natural gas has the advantages of good explosion-proof ability, low emission and low price, so it can be an ideal substitute for clean fuel. Tradition is usually use the diffusion of gas turbine combustor burning, the flame temperature of 1800-2000 ℃, produce the content of nitrogen oxide content is high, so the full development of using natural gas as fuel gas turbine power generation technology become a top priority. In order to promote the development of combustion technology under high pressure such as gas turbine and gasifier and provide sufficient theoretical basis for it, this paper studies the influence of pressure on the laminar flow combustion characteristics of methane fuel.
The influence of pressure on the laminar combustion characteristics of methane fuel was investigated by using the gas phase chemical dynamics software CHEMKIN, and the laminar combustion velocity and the extinction limit of natural gas fuel were explained by sensitivity analysis and mass reaction rate analysis under different initial conditions. The results show that with the increase of pressure, the laminar flow combustion velocity decreases gradually, and the increasing trend is the largest between 1-2atm, and then the increasing amplitude decreases gradually. The extinguishing limit does not change monotonously with the increase of pressure, especially when the pressure is lower than 10 ATM, the extinguishing limit has an obvious process of increasing first and then decreasing.
Through sensitivity analysis, it was found that O, H and OH were free radicals which had great influence on the combustion quality in combustion reaction. They can break down the molecular bonds of large molecules, triggering a chain reaction that accelerates fuel breakdown and releases heat. The sensitivity coefficient of termination chain reaction R5 (OH HO2=O2 H2O) will increase significantly with the increase of pressure. Especially when the pressure exceeds 5atm, R5 becomes the main reaction of combustion control. This change will inevitably lead to a change in the chemical kinetics of the flame near the limit, which will change the extinguishing limit of the mixed gas.
Keywords: Methane fuel, high pressure, laminar combustion characteristics, CHEMKIN, extinction limit, counterflow flame
目 录
摘 要 I
第一章 绪论 1
1.1 研究背景 1
1.2 预混对冲火焰基本介绍 2
1.3 国内外研究现状 3
1.4 本文的主要研究内容 4
第二章 数值模拟方法及机理选择和验证 6
2.1 CHEMKIN简介 6
2.2 预混对冲火焰理论 7
2.3 初始条件的确定 9
2.4 化学机理 10
2.4.1 典型的化学机理 10
2.4.2 验证化学机理 11
2.5 本章小结 12
第三章 压力对甲烷层流燃烧特性研究 13
3.1 火焰温度 13
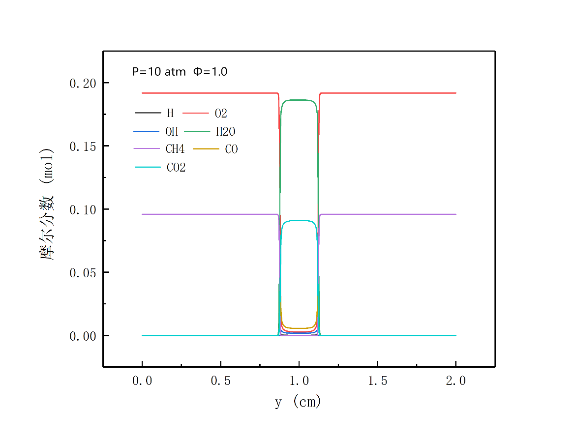
3.2 火焰结构分析 14
3.3 火焰传播速度 16
3.3.1 火焰传播速度的计算方法 16
3.3.2 压力的影响 17
3.4 质量燃烧速率 18
3.5 火焰熄灭极限 18
3.5.1 熄灭极限的计算方法 19
3.5.2 压力的影响 20
3.6 敏感性分析 20
3.7 本章小结 23
第四章 结论与展望 25
4.1 全文总结 25
4.2 工作展望 26
参考文献 27
致谢 30
第一章 绪论
1.1 研究背景
近年来,能源短缺和环境污染已成为人类面临的两大问题。天然气是世界公认的清洁能源,燃气轮机利用天然气发电,具有许多优势,如发电效率高,占地面积小,调峰性能好,建设周期短,水的消耗较少,设备启动和停止方便和运行可靠,在过去的20年中已被各国广泛选择。表1.1显示了2006年世界主要国家主要能源消耗的组成。
如表1.1所示,石油、煤炭和天然气在能源领域占主导地位,占三种成分的35.8%、28.4%和23.7%。中国虽然是世界上的第二大能源消费国,但是这一比例非常不均衡。我们的国家过度消耗初级能源,主要是用于生产诸如热能和钢铁等重型化学品,以及过度使用煤炭,这些都会导致我国环境污染的增加和巨大的外部损失。天然气作为一种清洁能源,在我国使用的比例不仅远远低于工业化国家,而且远低于世界平均水平。目前,全球天然气已经有100多年的历史了,在环境和减排的压力下,所有国家都逐渐将煤炭生产转变为天然气生产。随着我国的大气田的发现,天然气管道和液化天然气终端的建设,天然气消耗正在逐渐增加。利用天然气作为燃料的燃气轮机发电技术的充分发展必须是我国未来能源发展战略的重要组成部分。
传统的燃气轮机燃烧室通常使用扩散燃烧,火焰温度1800 – 2000 ℃,产生热氧化氮物的含量高,在燃料天然气时可达140至220 ppm,在燃油时会超过300 ppm。为了控制火焰温度,减少氮和氧的产生,第一种成熟技术的方法是将适当的水或蒸汽注入燃烧室 (燃料气体被水分稀释,稀释潮湿的空气和注入氨),这种方法能够减少氮氧化合物的含量至40 ppm (15%O2)。然而,这种方法的缺点是:一次性的水处理的运营成本很高,降低热设施和减少排放量的氧化氮是有限的,因此不满足排放标准日益严格的[2]。
目前,燃烧室的气体涡轮机使用的主要是新一代燃烧技术的低排放,即NOx燃烧燃料(预为天然气,通常与分类相关的燃料和空气分类技术);催化还原法和催化燃烧法。其中,燃料预混燃烧的方法,考虑到了NOx和CO排放指标,我们可以优化燃烧室的出口温度,提高火焰的燃烧效率,增加准确性,从而有助于缩小这些燃烧室的体积。现在,许多天然气公司都为之发展努力就是明证。
这项课题的主要目的是促进高压燃烧技术的发展,如燃气轮机和燃气管道,为这一目标提供适当的理论基础。因此我们在CHEMKIN中建立甲烷对冲火焰模型,研究甲烷/空气层流火焰在不同压力下的燃烧速度,以及火焰结构等因素的影响。准确理解高压下的层流对流火焰包括混合物部分的成分分布和温度。
1.2 预混对冲火焰基本介绍
作为一种基本的燃烧过程,层流对冲火焰可以用于研究参数的影响,如压力、应变率、入口速度等。如图所示描述了典型的甲烷/空气对冲火焰的结构示意图[3][4],即燃料和氧化剂相互对射产生火焰。由于这种火焰可以近似地被看作是一维的,还可以通过调节喷嘴之间的距离、入流速度等可以控制流场中的拉伸率,所以层流对冲火焰模型在实验和数值模拟中被广泛应用。对冲火焰模型的流场描述十分简单,外部的流场对于火焰的作用可以简化为火焰所受的拉伸率,即火焰面上速度梯度的负值。由于其流场的简单性,因此在模拟时,流动计算很简单,计算也很小,相应地,可通过数值模拟全面考察复杂的化学反应对火焰的作用规律。层流对冲火焰的一个重要的特征是,整个火焰表面是一个固定值的平面,因而反应标量(温度和组分浓
度)沿方向的分布是独立的,也就是说这种火焰几乎是一维的。
图1.1 预混对冲火焰模型图
1.3 国内外研究现状
国内外学者已经对层流对冲火焰进行了多项实验和数值的模拟研究。
Chelliah等人[5]通过实验和数值研究了庚烷空气对冲扩散火焰的结构。他们发现实验中的流动既不严格不旋转也不严格旋转。通过与详细反应机理的计算结果和实验结果比较发现,简化反应机理,推导出一种可以比较准确地模拟火焰结构的简化机理。
Dixon-Lewis等人[6] 对燃料和空气的扩散火焰的结构和特征进行了数值分析,并对H2和N2的不同组合进行了分析。他们发现H2和N2的不同组合对火焰的最高温度和熄火拉伸率有影响;当氧的摩尔分数小于某一数值时,就不会产生燃烧现象;中间成分总是出现在最高温度附近;主要的放热会出现在贫燃料侧,并且放热速度会随这拉伸速率的增加而增加。
Ribert等人[7]通过数值模拟研究了氢/氧对冲扩散火焰在亚临界和超临界压力下的条件下,压力和拉伸率对放热率,熄火极限和火焰结构的影响。他们发现,火焰厚度与压力和应变率乘积的平方根成反比,而放热率与压力和应变率乘积的平方根成正比。同时他们还发现,火焰的熄火极限拉伸率会随着压力的增加而线性增加。
Shih等人[8]通过数值模拟研究了天然气反扩散火焰的结构。他们将发射模型与计算模型相结合,并全力研究了气体成分,拉伸率,压力和稀释气体对火焰结构和熄灭极限的影响。他们发现,火焰温度和熄火拉伸率会随着氢含量和压力的增加而增大;火焰宽度会随着压力和拉伸的增加而减小;当加入CO2作为稀释气体时,火焰温度则会降低最多,熄火拉伸率也会降低最多。
Wang等人[9]通过数值模拟研究了在超临界压力条件下甲烷/氧气和氢气/氧气的层流对冲火焰的火焰结构。在处理S形曲线的奇点时,他们使用连续两个点的温度控制方法来研究整个S形曲线对应的燃烧状态。他们发现,由于压力的增加,火焰的区域会向甲烷方向移动,而由于氧气的增加,火焰的区域也向甲烷方向移动。
Pons等人[10]通过数值计算研究了跨临界氧气-甲烷层流对流火焰的结构。他们发现,当超临界氧气被注入超临界氧气时,质量转移速率是由传输数决定的,并与拉伸率的平方根成正比;在超临界氧和超临界甲烷的情况下,火焰是靠近氧气附近的低密度气体区域的,且密度梯度较高;在跨临界氧和跨临界甲烷的情况下,火焰是靠近氧气和甲烷之间的低密度气体区域的。
Liu等人[11]通过数值模拟研究了高压条件下正庚烷的层流对冲火焰的火焰结构。他们发现,在高拉伸率的条件下,扩散损失会抑制自动点火的产生;此外,压力的增加能显著提高反应速率,但与此同时,它也可以将反应从两步点火改变为一步低温反应,这可以减少由于更多的点火延迟时间前者的明显变化。
1.4 本文的主要研究内容
层流燃烧特性,包括层流燃烧速度、火焰熄灭极限等,是验证化学动力学机理以及进行湍流燃烧数值模拟所必需的数据。本课题旨在借助CHMEKIN PRO软件中的预混模型OFFIDF,结合已经公布的天然气氧化反应机理GRI 3.0,对甲烷的层流燃烧特性进行数值模拟研究,获得不同压力和不同当量比下的甲烷层流燃烧速度模拟值和熄灭极限,并通过基于质量燃烧速率的敏感性分析研究不同压力下各基元反应对火焰层流速度和熄灭极限的影响,分析引起这些差异的原因。
本文的内容如下:
- 搜集关于甲烷的燃烧机理,然后对搜集到的反应机理进行验证分析,针对本研究选择最合适的机理;
- 利用CHEMKIN软件建立层流对冲火焰模型,来模拟出甲烷/空气在不同压力和不同当量比下的层流燃烧速度和熄灭极限,并结合火焰结构分析和敏感性分析对压力的影响进行解释。
第二章 数值模拟方法及机理选择和验证
燃烧是一个涉及热力学、流体力学、化学反应动力学等方面的复杂过程,燃烧时火焰中存在大量的化学组分,进行着大量的化学反应。目前,对火焰的研究主要都是在常压下进行的,因此本文采用数值模拟的方法研究了压力对火焰特性的影响,以此来得到一般规律。本文主要采用CHEMKIN软件进行火焰模拟,因此本章将首先介绍用于燃烧化学数值计算的CHEMKIN应用程序和利用CHEMKIN进行数值模拟计算的方法。接着将分别介绍数值模拟的研究对象燃料与研究初始条件的选择。最后介绍目前已公布的甲烷氧化动力学机理,并结合相关实验数据对已公布的化学动力学机理的验证,选出本研究采用的反应机理。
2.1 CHEMKIN简介
本文的模拟计算采用的是CHEMKIN软件。CHEMKIN 软件是美国Sandia国家实验室开发的大型气相化学反应动力学软件,可以用来解决带有化学反应的流动问题,是燃烧领域中普遍使用的一个模拟计算工具。CHEMKIN有多种针对不同模型的应用程序,可以用来模拟多种反应器:对流扩散火焰(OPPDIF)、一维稳态层流预混火焰(PREMIX)、充分搅拌反应器(AURORA)、部分搅拌反应器(PASR)等。
在使用软件包进行计算之前,用户还需要导入三种类型的文件:气相输入文件(gas chemistry input file)、表面反应输入文件(surface chemistry input file)和程序应用输入文件(application input file)。
CHEMKIN具有界面友好的特点,使用时只需在选定应用程序界面上指定工作目录、输入文件以及数据库文件后直接运行即可,计算结果可以在界面上直接点击应用程序输出文件以文本方式查看。由于本文的主要研究对象是甲烷与空气混合气体的预混火焰的性质,因此,我们主要在CHEMKIN中使用OPPDIF子程序。OPPDIF可以模拟在绝热状态下的预混
对冲火焰,仿真模型如图2.1所示。
图2.1 对冲火焰模型图
以上是毕业论文大纲或资料介绍,该课题完整毕业论文、开题报告、任务书、程序设计、图纸设计等资料请添加微信获取,微信号:bysjorg。
相关图片展示:









