ITER电磁兼容测试线圈的分析、设计与优化毕业论文
2020-02-18 11:02:47
摘 要
由于ITER要求的磁场很特殊,不仅非常均匀且强度极大,故在对产生磁场线圈的选取上需要采取不同于以往的设计。本文主要对ITER线圈(大口径高强度均匀磁场发生线圈)进行设计,目前广泛采用的产生大尺寸强通电线圈有螺线管线圈等,当磁场强度要求较高时,受散热和浇注限制,螺线管线圈不能满足要求。对比螺线管线圈、Helmholtz线圈、Maxwell线圈的优缺点,本文提出的新型线圈设计方案。这项设计会对于未来托卡马克装置相关部件与系统在高强度稳态及瞬变磁场环境下的电磁兼容性研究和测试有相当的实用性。
针对这种问题,在前人研究的基础上,本文在结构上对多个方线圈进行组合,提出了具有创新性的电磁兼容线圈设计方法,这种设计的提出不仅能满足电磁兼容线圈的性能指标如磁场强度与均匀度;同时,由于方线圈的高度对称性,这使得计算效率高,可以减少运算过程。论文主要从以下几个方面展开的工作:
首先,对方两线圈模型产生磁场的机理进行理论分析,从而得到在空间内计算各个点的磁场强度的表达式,随后再结合实际情况对线圈的基本参数范围进行界定,最后在此基础上完善在空间内求取磁场强度设计算法。
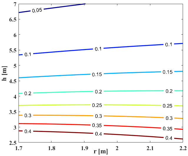
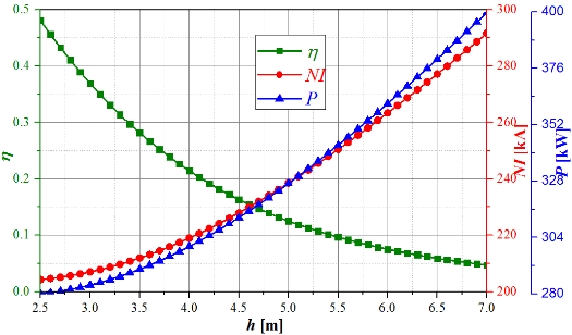
其次,用方线圈的高度对称性,对给定空间的点进行预处理,从而大大减小程序遍历空间中各处的时间。紧接着,对线圈参数进行优化的过程中,我们给定精度Criteria,由于磁场强度不会突变,我们选择从两端逼近的方式进行寻优,程序将不断循环直到满足该精度的条件。再次,将方形两线圈模型的应用推广到多线圈模型,由于多个线圈完全可以视为径向的双线圈模型,只是在参数优化环节,双线圈的二维矩阵将变为多维矩阵。然后,基于上述分析,编写线圈参数优化分析程序,可计算得到不同线圈间距d条件下的线圈优化参数线圈边长a、线圈高度h和线圈总电流I。
最后,得到技能满足ITER线圈需求,又能做到损耗和材料尽可能小的线圈。
关键词: ITER; 方线圈设计; 参数优化; 托卡马克
Abstract
ITER requires a very special magnetic field, which is not only very uniform but also extremely strong. Therefore, it is necessary to adopt a different design for the selection of magnetic field generating coil. ITER coil (large diameter and high strength uniform magnetic field generating coil) is designed in this thesis .Currently, the widely used coil producing large size and strong current has solenoid coil, etc. When the magnetic field strength is required to be high, the solenoid coil cannot meet the requirements .By comparing the advantages and disadvantages of solenoid coil, Helmholtz coil and Maxwell coil, this thesis proposes a new coil design scheme .This design will be useful for the future research and testing of electromagnetic compatibility of relevant components and systems in tokamak devices under high intensity steady and transient magnetic fields.
To solve this problem, on the basis of previous studies, this thesis combines multiple square coils structurally and proposes an innovative design method for electromagnetic compatibility coils. This design can not only meet the performance indexes of electromagnetic compatibility coils, such as magnetic field intensity and uniformity .At the same time, due to the high symmetry of the square coil, the calculation efficiency is high and the operation process can be reduced .This thesis mainly focuses on the following aspects:
Firstly, the mechanism of magnetic field generated by the two-coil model is theoretically analyzed, so as to obtain the expression for calculating the magnetic field strength of each point in space. Then, the range of basic parameters of the coil is defined according to the actual situation. Finally, the design algorithm for calculating the magnetic field strength in space is improved on this basis.
Secondly, the point set of the given space is preprocessed with the height symmetry of the square coil, thus greatly reducing the time for the program to traverse all the places in the space .Then, in the process of optimizing the coil parameters, we give the precision Criteria. Since the magnetic field strength will not change suddenly, we choose to optimize by approximating from both ends. The program will keep repeating until the condition of the accuracy is met.
Thirdly, the application of the square two-coil model is extended to the multi-coil model. Since the multiple coils can be regarded as the radial double-coil model, the two-dimensional matrix of the double-coil will be changed into a multi-dimensional matrix only in the link of parameter optimization .Then, based on the above analysis, the coil parameter optimization analysis program is written to calculate the coil optimization parameters under the condition of different coil spacing d: coil side length a, coil height h and coil total current I.
Finally, the coils that can meet the ITER coil requirements and keep the loss and material as small as possible can be obtained.
Key words: ITER; Square coil design; Parameter optimization;Tokamak
目 录
摘 要 I
Abstract II
第1章 绪论 1
1.1论文研究背景、目的及意义 2
1.2强磁场干扰问题研究现状 5
1.2.1相关测试标准及测试平台 6
1.2.2线圈结构设计及应用 7
1.3本文研究内容 9
第2章 常用线圈性能对比分析 11
2.1螺线管线圈 11
2.2Helmholtz线圈 13
2.3 Maxwell线圈 14
2.4球面线圈 15
2.5本章小结 16
第3章 ITER线圈设计及参数优化研究 18
3.1模型分析 18
3.11模型构建 18
3.12参数设计 20
3.2双线圈极小值求解算法 20
3.21取值区域原则 20
3.22取值区间的界定 21
3.23线圈参数优化 22
3.24程序流程图 23
3.3多线圈寻优算法 23
3.3.1理论推导 23
3.3.2寻优过程 26
第4章 线圈方案分析 27
4.1 方形双线圈方案 27
4.2方形三线圈方案 28
4.3方形四线圈方案 28
4.4方形五线圈 30
4.5方形六线圈 31
4.6本章小结 32
第5章 总结与展望 35
5.1全文总结 35
5.2展望 35
参考文献 37
致 谢 40
第1章 绪论
随着磁约束聚变研究的发展,托卡马克装置运行参数越来越高,下一代托卡马克装置的等离子体电流都将达到或超过10MA级别。如此高的等离子体电流将在托卡马克装置周围产生极强的空间磁场,另外一方面,在等离子体破裂过程中,等离子体电流迅速衰减,将在其周围产生极高的瞬变磁场。以ITER托卡马克装置为例,ITER组织针对ITER托卡马克装置的多种运行模式(主要包括15MA/36ms的垂直位移事件和17MA/41ms的主破裂,如图1.1所示)进行了空间杂散磁场分析,分析结果表明,装置周围的最大稳态磁场将超过200mT [1](如图1.2所示),最大磁场变化率将超过7T/s [2]。
图1.1 ITER托卡马克装置41ms主破裂等离子体电流波形

图1.2 ITER托卡马克装置周围的磁场分布
1.1论文研究背景、目的及意义
为满足下一代托卡马克装置长脉冲、高参数、准稳态运行的需求,现代托卡马克装置磁体电源需具备高参数输出、长时稳态运行能力,同时,为满足高可靠性要求,非同相逆并联桥臂结构得以采用,这导致现代托卡马克装置磁体电源的电磁环境也十分恶劣。以ITER极向场电源为例,其额定输出电流高达55kA,对其磁场环境的初步分析结果表明,额定运行条件下变流器周围磁场以直流场和工频场为主,直流磁场高达3.7mT,工频磁场有效值高达11.4mT(如图1.3所示),磁场峰值约20mT,且谐波磁场含量丰富,1kHz左右的谐波磁场幅值高达0.2mT,最大磁场变化率高达20T/s[3,4]。如图1.4所示为ITER极向场变流器触发板处典型的各向磁场及磁场变化率在一个周期内的波形。此外,根据系统设计要求,ITER极向场变流器在180kA短路电流条件下仍需保持正常触发,并持续工作80ms[5]。在这种情况下,变流器周围磁场强度峰值将达到170mT,最大磁场变化率也将超过100T/s[3,4]。

图1.3 ITER极向场变流器周围工频磁场分布(有效值)
图1.4 ITER极向场变流器触发板稳态运行时各向磁场波形图
图1.5 ITER极向场变流器触发板故障态下各向磁场波形图
由此,可将托卡马克及聚变磁体电源的磁场环境典型参数总结如下表所示。
表 1.1 托卡马克及聚变磁体电源磁场环境典型参数
托卡马克装置 | 聚变磁体电源 | |
稳态 | 200mT / 直流 | 20mT(峰值) /工频 |
暂态 | 7T/s / 50ms | 170mT(峰值) / 四个周期 /工频 |
ITER组织规定,对环境磁场超过5mT的所有电力、电子设备都必须进行电磁兼容测试。ITER托卡马克装置周围远超过5mT的高强度的空间杂散磁场将会影响其主机大厅中的测控、电源、诊断、水冷和主机内部部件等聚变装置相关的部件和系统的稳定运行,进而影响其系统的运行稳定性与可靠性。例如,较低的磁场会将会导致电机负载加重,引起电流增大和发热问题,磁场继续增大还会引起电机可用转矩降低,若磁场达到100mT以上,还可能导致电机闭锁停转;磁场还会干扰高速旋转设备,如磁约束核聚变中常用的真空泵,磁场会导致其转子上产生涡流,引起发热问题,而转子的冷却手段非常受限,涡流发热将导致转子发生膨胀,从而缩短转子与定子间距,引起泵的机械损坏。同时根据楞次定律,涡流将产生一个与真空泵转动方向相反的力,阻碍旋转,如高斯的磁场就会导致一些真空泵旋转速率下降25%;磁场可能导致高频变压器铁芯饱和,漏磁通增大,并成为新的干扰源;基于电磁感应原理工作的电子设备如滤波器、振荡器、继电器、传感器等,将受到磁场严重的干扰,而这些电子设备在电源系统和信号调节系统中被大量使用。由此可见,强磁场干扰问题是未来大型托卡马克聚变装置可靠、稳定运行的潜在威胁,是未来聚变研究所必然面临的问题。对ITER设备在投入使用前进行磁场抗扰度测试是保证其在特殊磁场环境下可靠运行所必须的操作。
综上所述,拟建设磁场抗扰度测试平台以对敏感设备进行测试以保证其运行可靠性,本论文主要完成测试平台主体部分—测试线圈的分析与设计工作。根据ITER目前磁场环境,考虑未来托卡马克运行参数提升的需求以及一定的裕度,测试平台所需的两个线圈的主要参数如表1.2所示。
表 1.2 托卡马克及聚变磁体电源磁场环境典型参数
磁场需求 | 测试区尺寸 | 磁场不均匀度 | |
直流稳态测试线圈 (工频稳态及暂态测试) | 500mT /稳态 40mT峰值/工频稳态 350mT峰值/工频暂态 | 2.1m | 1.4 |
直流暂态测试线圈 | 500mT/稳态 30T/s.14T/s、50ms/暂态 | 1m | 1.03 |
1.2强磁场干扰问题研究现状
目前,国内外针对大尺寸待测设备的高等级磁场兼容性测试方面相关研究少、已有平台更少,仅有的一些平台也远不能满足未来托卡马克装置相关部件的测试需求。为了弥补上述这一领域的空白,本次毕业设计将主要完成大口径高强度均匀磁场发生线圈的设计,以便用于未来托卡马克装置相关部件与系统在高强度稳态及瞬变磁场环境下的电磁兼容性研究和测试,为相关部件和系统的优化设计及电磁兼容性升级提供输入,满足托卡马克装置运行的高稳定性和高可靠性要求。项目的设计和建设,一方面,对于保证托卡马克装置正常运行及物理实验的开展具有重要的意义;另一方面,随着变流器容量的提高和非同相逆并联结构的应用,强磁场电磁干扰问题在工业中也日渐凸显,该平台的成功建设也可为工业中相关的电磁兼容测试提供必要的手段;同时还可为电磁对设备扰动影响成因及对策的研究提供可靠平台。
1.2.1相关测试标准及测试平台
针对现代托卡马克装置及其磁体电源系统所面临的强磁场干扰问题的测试标准问题,根据IEC 61000-4系列为国际电工委员会颁布的电磁兼容测试标准,与磁场电磁兼容测试相关的标准为IEC 61000-4-8、IEC 610004-9和IEC 61000-4-10。IEC 61000-4-8为工频磁场测试标准,标准规定的最高长时耐受测试等级为0.126mT,最高短时耐受测试等级为1.26mT(1s~3s),远低于现代托卡马克磁体电源所产生的工频磁场分量[6]。IEC 61000-4-9和IEC 61000-4-10分别为脉冲磁场测试标准和阻尼振荡磁场测试标准,最高测试等级脉冲磁场峰值分别为1.26mT和0.126mT,也远低于现代托卡马克装置及其磁体电源的环境磁场[7, 8]。由此可见,现有的工业标准无法用于现代托卡马克装置及其磁体电源的强磁场干扰的测试。此外,对于稳态磁场的干扰测试,到目前尚无相关工业标准。
早在2003年,ITER组织便开始评估高强度磁场引起的干扰问题,并打算展开相关的测试工作。由于不存在适用标准,ITER组织参考了IEC 61000-4-8对工频磁场电磁兼容测试的定义,制定了直流稳态磁场的测试标准,标准规定:对于任意环境磁场(标称磁场),其测试磁场的最小值需达到标称磁场的1.4倍,以考虑一定的工程裕度;测试磁场的最大值不能超过标称磁场的2倍,即测试磁场需满足一定的均匀性条件,以保护被测设备[9]。标准中定义的测试等级如下表所示。根据ITER现场敏感设备的实际尺寸,被测设备最大尺寸被定义为2.1m,每次测试的最短测试时间规定为5min。
以上是毕业论文大纲或资料介绍,该课题完整毕业论文、开题报告、任务书、程序设计、图纸设计等资料请添加微信获取,微信号:bysjorg。
相关图片展示:







您可能感兴趣的文章
- 一种确定磁探针集总电路参数的标定方法外文翻译资料
- 一种人体可接触的大气压低温等离子体射流装置研究(适合电气B方向)毕业论文
- 氩氧中大气压DBD放电特性研究(适合电气B方向)毕业论文
- 大气压氩等离子体射流放电影响因素的仿真研究(适合浦电气B方向)毕业论文
- 含氧高活性均匀DBD改性聚合物薄膜研究(适合浦电气B方向)毕业论文
- 反应器结构对气液两相DBD放电特性的比较(适合浦电气B方向)毕业论文
- 南京某公司研发楼电气设计毕业论文
- 金帆北苑地块经济适用住房——02栋商住楼电气设计(适用于浦电气1004~06A方向学生)毕业论文
- 扬州人武部大楼电气设计毕业论文
- 金帆北苑地块经济适用住房——04栋商住楼电气设计(适用于浦电气1004~06A方向学生)毕业论文


