外转子交替极飞轮储能电机的研究毕业论文
2020-02-18 10:52:05
摘 要
近年来,飞轮储能技术因为功率密度高、寿命长、充放电迅速、对环境友好等诸多优点,一直是人们研究的热点。飞轮储能技术在许多领域有着广阔的应用前景。本文针对功率200kW,储能1kWh的飞轮储能系统进行了研究与设计。
本文采用的电机结构为外转子交替极电机。针对给定的指标,对电机进行详细的设计,最后仿真验证了设计电机的合理性。
高速下,转子机械强度的分析非常重要。文章中首先对转子结构进行了简化,再基于材料力学经典理论,对转子进行不同条件下的应力分析,最后仿真验证了转子的机械强度可以达到要求。
轴承系统是飞轮储能系统的一个重要部分。本文针对交替极电机的特殊结构,进行了无轴承结构的设计。文章首先阐述了交替极电机的悬浮力产生机理,再建立悬浮力的数学模型,最后仿真验证了无轴承结构的可行性。
关键词:飞轮储能;交替极;应力分析;无轴承结构
Abstract
In recent years, flywheel energy storage technology has been a hot topic of research because of its high power density, long life, rapid charge and discharge, and environmental friendliness. Flywheel energy storage technology has broad application prospects in the field of uninterruptible power supply, aerospace, electric vehicles, power grid peaking, etc. Researching flywheel energy storage technology is of great significance for solving energy problems. This paper studies and designs a flywheel energy storage system with a power of 200kW and a storage capacity of 1kWh.
As the core component of energy conversion in the flywheel energy storage system, the performance of the motor has a direct impact on the performance of the whole system, so the design of the motor is the most important. The motor structure used in this paper is an outer rotor consequent pole motor. The outer rotor structure is beneficial to increase the power density of the system, The consequent pole structure can save the permanent magnet material and increase the weak magnetic performance of the motor. For the given indicators, the motor was designed in detail. Finally, the motor model was established by Ansys Maxwell simulation software to verify the rationality of the design of the motor.
Since the flywheel energy storage motor operates at high speeds and uses the structure of the outer rotor, the analysis of the mechanical strength of the rotor is very important. Firstly, the rotor structure is simplified. Based on the classical theory of material mechanics, the stress analysis of the rotor under different conditions is carried out. Finally, the simplified model and the actual model are established by Ansys Workbench. The simulation proves that the mechanical strength of the rotor can meet the requirements.
The bearing system is an important part of the flywheel energy storage system. With the development of research, the structure of bearings is increasing, such as mechanical bearings, magnetic bearings, bearingless structures and so on. In this paper, the design of the bearingless motor structure is carried out for the special structure of the consequent pole motor. Firstly, the mechanism of the suspension force generation of the consequent pole is expounded, and then the mathematical model of the suspension force is established. Finally, the suspension force characteristics are simulated by Ansys Maxwell simulation software, and the feasibility of the bearingless structure is verified.
Keywords: flywheel energy storage; consequent pole; stress analysis; bearingless structure
目 录
摘 要 I
Abstract II
第1章 绪论 1
1.1 课题的研究背景与意义 1
1.2 飞轮储能系统的基本原理与关键技术 2
1.2.1 飞轮储能系统的基本原理 2
1.2.2 飞轮储能系统的关键技术 3
1.3 国内外研究现状 4
1.4 论文内容安排 7
第2章 外转子交替极电机的基本原理与数学模型 8
2.1 引言 8
2.2 外转子交替极电机的基本结构与基本原理 8
2.2.1 外转子交替极电机基本结构 8
2.2.2 外转子交替极飞轮储能电机基本原理 9
2.2.3 电枢反应原理 10
2.3 外转子交替极电机的数学模型 10
2.3.1 气隙磁导函数 11
2.3.2 电枢绕组磁动势 12
2.3.3 电压方程与磁链方程 12
2.3.4 坐标变换 13
2.3.5 转矩方程与运动方程 14
2.4 本章小结 15
第3章 飞轮储能电机的设计与仿真 16
3.1 引言 16
3.2 飞轮储能系统性能指标 16
3.3 飞轮储能电机的设计 17
3.3.1 电机主要尺寸公式 17
3.3.2 定子铁芯的设计 18
3.3.3 转子结构的设计 20
3.3.4 飞轮尺寸与材料的选择 23
3.3.5 电机主要参数 23
3.4 有限元仿真 24
3.4.1 空载性能仿真 24
3.4.2 电枢反应 28
3.4.3 电磁转矩 31
3.5 本章小结 32
4 外转子机械强度分析 33
4.1 引言 33
4.2 转子轭与磁极应力分析 33
4.3 基于Ansys的有限元仿真验证 36
4.4 交替极外转子结构有限元仿真 41
4.5 本章小结 44
5 飞轮储能电机无轴承结构的设计 45
5.1 引言 45
5.2 交替极无轴承电机的基本原理 45
5.3 外转子交替极无轴承电机的悬浮力模型 46
5.4 外转子交替极无轴承电机的仿真 49
5.4.4 外转子交替极无轴承电机的转矩特性 52
5.4.5 外转子交替极无轴承电机的悬浮力特性 53
5.4.6 转子偏心时外转子交替极无轴承电机的悬浮力特性 54
5.5 本章小结 56
6 总结与展望 57
6.1 总结 57
6.2 展望 57
参考文献 59
致谢 61
第1章 绪论
1.1 课题的研究背景与意义
一直以来,能源问题都是人们讨论的热点。人们对生活质量的要求逐渐提高,这不仅对能源供应的考验越来越大,而且对能源的经济化和可持续化发展也有越来越高的要求。为了解决能源问题,不断有新的能源形式应运而生。例如风能,太阳能等等,它们不仅是可再生能源,而且对环境友好,无污染,是非常理想的电力供应方式。然而,这些新型清洁能源都存在着一些缺陷,由于这些能源随着自然环境而变化,存在着不稳定性,这与用户侧要求高质量、高效率、高可靠性的能源供应存在着矛盾。传统电力供应方式规模大,且持续供电,但是由于用电侧的电力需求并不持续,导致了传统电力供应方式的效率较低,能源浪费严重。
为了提高能源的利用率,解决新型清洁能源并网的问题,提高电能质量,能量存储技术是一种可靠而高效的方式。在用电侧的负荷处于低谷时,电网为能量储存装置充电,将能量存储在储能装置中;在用电侧的负荷处于峰值时,储能装置转变状态,将能量转换为电能,给电网侧供电。因此,能量存储技术增加了传统电力供应的经济性、安全性、灵活性和可靠性。
能量存储技术的种类繁多,根据类别可以分为:机械储能、电磁储能、化学储能。机械储常见的方式有飞轮储能、抽水储能等等。电磁储能常见的有超导储能。化学储能常见的有钠硫电池、锂离子电池等。不同储能方式之间的效率、寿命、环境影响等等方面的性能差异较大,如表1.1所示。
从表1.1可以看出,抽水蓄能、压缩空气储能技术发展较成熟,但是效率比较低,而且响应时间长,均对环境造成比较大的影响;蓄电池储能的方式效率不高,寿命较短,对环境的污染不可避免;超导纯能与超级电容储能方面仍然处于研究阶段,技术不够成熟,且超级电容储能的维护周期很短,不利于长期投入使用。综合比较下,飞轮储能的优越性比较突出:由于采用储存能量为机械能,具有对环境友好的特点;充放电时间短,能迅速投入系统;飞轮储能系统空间利用率高,占地空间小;飞轮储能系统寿命非常长,维护周期长;随着飞轮储能电机的允许转速的升高以及飞轮材料技术的进步,储能密度逐渐增加。
飞轮储能的诸多优点吸引了越来越多的研究人员对这一形式的储能方式进行研究,具有广阔的应用前景。飞轮储能技术在电网调节方面具有重要的应用价值,此外,飞轮储能在许多领域都有广阔的应用,例如不间断供电设备电源UPS、电动汽车、航空航天等领域,因此对于飞轮储能系统的研究对社会具有重要的意义。
表1.1 不同储能方式的比较
储能方式 | 抽水蓄能 | 压缩空气储能 | 飞轮储能 | 蓄电池储能 | 超导储能 | 超级电容储能 |
功率(MW) | 0~5000 | 0~300 | 0~5 | 0~20 | 0~10 | 0~1 |
效率% | 约60 | 小于50 | 90以上 | 约70 | 约90 | 约90 |
储能密度 | - | - | 高 | 中 | 高 | 高 |
响应时间 | 分-小时 | 分-小时 | 毫秒 | 秒 | 毫秒 | 毫秒 |
维护周期 | - | - | 10年以上 | 半年以上 | - | 经常 |
寿命 | 40-60年 | 20-40年 | 15-20年 | 约1千次 | 约1万次 | 约10万次 |
环境影响 | 高 | 高 | 无 | 高 | 低 | 低 |
成熟度 | 商业应用 | 商业应用 | 商业应用 | 商业应用 | 研究阶段 | 示范应用 |
1.2 飞轮储能系统的基本原理与关键技术
1.2.1 飞轮储能系统的基本原理
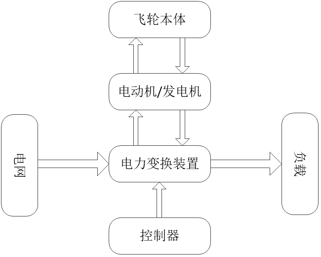
飞轮储能系统基本组成框图如图1.1所示,主要部件有:电力变换装置与控制器、电动机/发电机、飞轮本体。电力变换装置与控制器控制飞轮储能系统工作的状态;电动机/发电机为实现电能和机械能相互转换的核心部件,是控制器的主要控制对象;飞轮本体为储能能量的载体,储能容量与飞轮的材料以及飞轮的转速密切相关。
充电时,电机由电力电子变换器驱动,带动飞轮本体高速旋转,使飞轮达到一定的转速;在电机达到一定转速后,转速不再升高,此时电机既不从外界吸收电能也不向外界释放电能,以恒定的转速旋转,该过程处于能量保持的状态;放电时,电机作为发电机,飞轮转速逐渐下降,机械能转换为电能,最后将电能释放到负载侧。

图1.1 飞轮储能系统基本结构框图
1.2.2 飞轮储能系统的关键技术
(1)飞轮复合材料
作为飞轮储能系统的主要能量载体,飞轮是系统设计的关键部件之一。由于飞轮储能电机运转在高速状况下,若超过飞轮材料的线速度许可范围,飞轮本体就会发生一定程度的破坏,因此飞轮储能密度很大程度上取决于飞轮材料的特性。目前,用于制造飞轮的材料多种多样,从最初的铝合金材料到现在的高强度碳纤维复合材料,飞轮材料技术的发展,提高了飞轮储能系统的储能密度。
(2)轴承系统
传统的机械轴承系统存在着非常大的缺陷,高速运动的转子与轴承之间发生磨损,轴承的寿命较短。由于摩擦生热,会造成电机的部件发热,造成较大的损耗,降低系统的效率,还会造成机械振动与噪音。为了克服机械轴承的缺陷,磁轴承系统应运而生。磁轴承系统的原理是通过产生磁场将转子悬浮在空中,从而克服了摩擦和磨损,因此磁轴承使得飞轮系统的损耗大大降低,且极大的延长了轴承的寿命。然而,磁轴承仍然存在不可避免的问题:为了实现电机的悬浮控制,一般电机装有径向磁悬浮装置以及轴向磁悬浮转置,因此磁悬浮装置在轴向占有较大的空间,使得整体系统体积较大,如何提高电机输出功率成了难点;磁悬浮装置要求控制器的精度高,性能高,并且需要多个位移传感器,材料成本高,因此难以广泛应用。
为了在磁轴承的基础上进行改善,研究人员又提出了一种新型的轴承方式:无轴承电机。无轴承电机不是指电机不需要轴承支撑,而是在定子槽中加入悬浮绕组,替代了径向磁轴承。产生电磁转矩的磁场与产生悬浮力的磁场在气隙中合成,通过研究二者之间的耦合关系,可以实现转矩与悬浮的独立控制。无轴承电机除了有磁轴承电机的优势,还具有以下特点:节省了用于放置径向磁悬浮装置的空间,整体系统体积小,相同轴长下的输出功率更高;减少了磁悬浮装置的数量,降低了成本,并且结构更加简单,电能损耗减小。
轴承系统的发展使得飞轮系统的转速越来越高,体积越来越小,效率越来越高。
(3)高速电机
作为飞轮储能系统中实现能量转换的核心部件,高速电机的设计是重中之重。一般对于飞轮储能系统中的电机有以下的要求:高可靠性、效率高、损耗小、能量密度高、调速范围宽等等。
飞轮储能电机主要有三类:感应电机、开关磁阻电机和永磁电机。感应电机控制策略成熟、容量大、可靠性高,但由于存在转差率,高速旋转下转子中会产生较大的涡流损耗,导致效率不高;开关磁阻电机的材料成本低,价格便宜,但高速下有较大的转矩脉动与噪声,并且控制系统复杂。永磁电机结构简单,无励磁绕组,转矩大,功率密度高,非常适合高速电机的应用场合。
交替极电机是在永磁电机的基础上衍生出来的,采用永磁极和铁芯极交替分布的形式,利用永磁体将铁芯极磁化从而呈现出类似永磁电机的N-S交替磁极分布。交替极电机的优势有:节省了永磁体用量,对永磁体的利用率更高,材料成本降低;通过改变铁芯极与永磁极的极弧系数可以改善电机性能;交替极电机的输出性能与传统永磁电机几乎相同;交替极电机有更好的弱磁能力。
以上是毕业论文大纲或资料介绍,该课题完整毕业论文、开题报告、任务书、程序设计、图纸设计等资料请添加微信获取,微信号:bysjorg。
相关图片展示:







您可能感兴趣的文章
- 一种确定磁探针集总电路参数的标定方法外文翻译资料
- 一种人体可接触的大气压低温等离子体射流装置研究(适合电气B方向)毕业论文
- 氩氧中大气压DBD放电特性研究(适合电气B方向)毕业论文
- 大气压氩等离子体射流放电影响因素的仿真研究(适合浦电气B方向)毕业论文
- 含氧高活性均匀DBD改性聚合物薄膜研究(适合浦电气B方向)毕业论文
- 反应器结构对气液两相DBD放电特性的比较(适合浦电气B方向)毕业论文
- 南京某公司研发楼电气设计毕业论文
- 金帆北苑地块经济适用住房——02栋商住楼电气设计(适用于浦电气1004~06A方向学生)毕业论文
- 扬州人武部大楼电气设计毕业论文
- 金帆北苑地块经济适用住房——04栋商住楼电气设计(适用于浦电气1004~06A方向学生)毕业论文


