基于C# ASP.NET的儿童服装销售网站的设计与实现毕业论文
2020-02-16 22:00:35
摘 要
随着科技的进步、互联网的飞速发展,电子商务销售模式在生活中逐渐发挥着它至关重要的作用。电子商务具有的对市场变化反应灵敏迅速、高效、便捷、成本低等传统销售经营方式无法比拟的优势,打破了交易和交货形式的时空界限,降低了商家的销售成本,给消费者带来多样的购物方式。由此电子商务的发展是时代的选择,它满足着人们的生活需求。
本论文主要实现的是针对儿童服装销售网站的设计,旨在为客户提供儿童服装选购的平台,便于商家与客户交流,使购物与销售更加便捷。目前全球化经济的发展,使得企业与企业之间、企业与客户之间的联系更加紧密,同时给人们的消费观念带来了重大变化。
本系统采用ASP.NET技术进行开发,使用B/S架构,以IIS为载体,运用浏览器与服务器进行数据交换,采用计算机和SQL Server作为数据库服务器。模拟商家销售管理与客户购物支付过程,包括客户浏览商品、添加购物车、购买商品以及修改个人信息,后台管理系统所具有的发布新闻、管理商品、管理用户信息以及销售数据统计的功能,将购物与销售统一管理。
本论文的特色在于实现按照不同标准进行销售数据的分析,将库存与前台联系起来,具有实用性。实现的系统方便商家对于购物过程的管理,具有用户友好性。
关键词:ASP.NET;C#;童装销售网站;SQL SERVER
Abstract
With the advancement of technology and the rapid development of the Internet, the e-commerce sales model has gradually played a vital role in life. E-commerce has the advantage of being sensitive, rapid, efficient, convenient, and low-cost, which is incomparable to traditional sales management methods. It breaks the time and space boundaries of transactions and delivery forms, reduces the sales cost of merchants, and brings to consumers A variety of shopping methods. The development of e-commerce is therefore the choice of the times, which meets the needs of people's lives.
This paper mainly aims at the design of children's clothing sales website, aiming to provide customers with a platform for children's clothing purchase, which is convenient for merchants to communicate with customers, making shopping and sales more convenient. At present, the development of the global economy has made the connection between enterprises and enterprises, enterprises and customers more close, and has brought about major changes in people's consumption concept.
The system uses ASP.NET technology for development, uses B/S architecture, uses IIS as the carrier, uses browser and server for data exchange, and uses computer and SQL Server as database server. Simulate merchant sales management and customer shopping payment process, including customer browsing products, adding shopping carts, purchasing goods, and modifying personal information. The back-end management system has the functions of publishing news, managing goods, managing user information, and selling data statistics. Unified management with sales.
The characteristic of this paper is to realize the analysis of sales data according to different standards, and to link inventory with the front desk, which is practical. The implemented system is convenient for the merchant to manage the shopping process and is user-friendly.
Key Words:ASP.NET;C#;Children's clothing sales website;SQL SERVE
目 录
第1章 绪论 1
1.1 课题背景 1
1.2 研究内容 1
1.3 国外研究现状 2
1.4 国内研究现状 2
第2章 可行性研究 3
2.1 技术可行性 3
2.1.1 技术概述 3
2.1.2 SQL SERVER 3
2.2 操作可行性 3
第3章 系统分析 4
3.1 系统概述 4
3.2 功能需求分析 5
3.2.1前台功能需求分析 5
3.2.2 后台功能需求分析 10
第4章 系统设计 13
4.1功能模块设计 13
4.2数据库设计 16
4.2.1 概念结构设计 16
4.2.2 逻辑结构设计 18
4.2.3 数据库表设计 18
第5章 系统实现 22
5.1 技术介绍 22
5.1.1 ASP.NET技术 22
5.1.2 C# 22
5.2 系统功能 23
5.2.1 登录模块 23
5.2.2 首页 24
5.2.3 商品详情 25
5.2.4 购物车 26
5.2.5购买页 27
5.2.6 订单 28
5.2.7 商品管理 29
5.2.8 用户管理 30
5.2.9 新闻管理 30
5.2.10 页面设置 31
5.2.11销售数据统计分析 31
5.3系统测试 33
5.3.1 注册校验 33
5.3.2 登录 34
5.3.3 库存 34
5.3.4 后台 35
第6章 总结与展望 36
6.1 工作总结 36
6.2 展望 36
参考文献 37
致谢 38
第1章 绪论
1.1 课题背景
随着互联网的发展和科技的进步,人们获取信息的渠道可以通过多种多样的方式,传统的销售模式越来越难以满足人们的生活需求[1]。它给购物和销售的方式带来了局限,有着对时空的限制。然而新型电子商务销售方式伴随着计算机技术与信息技术的发展在生活中凭借着它不可比拟的优势得到了广泛的应用[2]。网络化销售管理系统作为当代电子商务的主要应用,它的建立不仅促进了商家之间的互相交流,更将商家与客户之间的沟通联系起来,提高了营销效率,降低了销售经营成本,从而使商家能够在商战中脱颖而出。它的出现大幅度提高了竞争力,对未来生产方式和销售方式的发展,将产生积极而深远的影响。除此之外,电子商务减少了商品流通的环节,使客户可以和商家直接沟通,节省了中间的大量开支。新兴的网络化销售模式将世界变小,使商品面对更多不同的消费群体,带来更大的商机。随着 Internet的发展, Internet上的网络建设成为 Internet上重要的问题之一[3]。本系统作为儿童服装销售网站,使购物与销售渠道更加便捷,易于管理。
1.2 研究内容
按照软件系统开发的原则、方法和步骤,运用软件工程学、数据库技术的知识来完成系统设计儿童服装网站销售系统主要实现以下功能:
(1)新闻管理模块:该模块将网站中的标题、链接以及需要变动的信息进行更改,将新闻、公告或者新品推出的信息等进行集中管理,可以编写和更改新闻,也可以上传图片加以阐述,最终将这些信息分类并通过后台系统发布到网站上。
(2)产品管理模块:该模块用于发布商品,展示商品信息,实际上是一套基于数据库的即时发布系统[4]。从前台用户可以查看商品的名称、图片、价格、颜色、产地、详细介绍等相关信息,后台管理员可以通过系统进行商品信息的修改、添加商品以及删除商品。
(3)会员注册/管理模块:该模块是将会员的身份信息整理起来,便于商家进行管理。本系统可以收集所有用户的信息,包括会员的信息,管理员可以通过后台进行搜索和修改。但是为保持公平性,会员身份是由算法计算系统自动开通,管理员不得更改。根据会员的等级不同会授予用户不同的权限,会员可以享受不同待遇。
(4)网上购物模块:该模块主要是模拟网上购物的流程。用户通过查看商品详情后将商品添加购物车,在购物车里用户可以勾选满意的商品进行付款,选择付款时可以选择货到付款以及在线支付两种购物方式,在购物完成后用户可以查看订单,也可以对订单进行删除操作。
(5)留言反馈模块:该模块的功能是用户在完成订单后可以对商品留言,留言将显示在对应的商品详情页,以供客户参考。
(6)信息检索模块:该模块用来方便客户快速便捷的查找想要的商品,可以按照分类、关键词等进行查询,搜索与关键字有关的商品。
(7)销售数据的统计分析模块:该模块用来为商家提供营销策略与销售方向,通过不同标准进行统计,例如分类、颜色、时间等,从不同角度提供更准确的数据分析。
1.3 国外研究现状
在西方信息化程度较高的国家和地区,例如美国,他们有着更加完善的网上购物流程以及物流体系。这为国外的网络化销售模式的生长提供了良好的环境[5]。经大量数据调查表明,人们已经开始接受网络化购物模式,愈加习惯于在家中上网购物。网络销售给商家节约了成本,省去了实体销售的中间流程,把商品的经营范围也扩展很多,面对不同的消费人群,给客户的购物方式提供更多选择。以欧美国家为例,在法、英等欧洲国家,就有二手类交易平台的营业额占整个电子商务的总营业额的1/8,在美国交易额占比则已高达1/6以上,二手交易平台在电子商务已占有较大份额,而欧美国家网络化销售模式的开展也不过才十几年的时间[6]。随着网络用户数量的增加,它为电子商务平台的发展创造了更加有利的条件。除此之外国外的购物网站的设计和流程已经越来越接近生活实际,为网络用户提供更多技术手段来判别商品的真实性和实用性,例如在线试穿、形成3D影像等技术来模拟用户的使用,让用户体验更加接近实际,感受也更加真实可靠。
1.4 国内研究现状
未来几年B2C在国内科技网络发展迅速的有利条件下,将在中国网络化购物市场迅速扩张并占有不可忽视的地位。2011年淘宝商城、京东商场等平台式购物网站融合了个人和个人之间、客户和个人之间电子商务的主要优势,将科技与生活相结合,给平台式购物带来重大机遇,使网络化购物经济迅速增长。
同时,各品种商品的网络购物市场经济发展速度不一,由此可知未来更多细分品类将在良好的生长环境下刺激更多需求,这将带来网络经济的快速增长。2011年,以图书音像和数码家电等生活用品和文化用品为代表的品类竞争尤为激烈。由于服装、鞋帽和箱包类产品没有严格的标准规范,管理界限并不明确,在购物过程中出现的图与实物严重不符的问题仍有待解决。在特定节日的气氛烘托和各大商家采取营销策略的推动下,商品销量大大增加,用户各方面的需求开始显现出来,在今后网络科技发达的时代,网络化的销售模式凭借着它的优势在人类生活中将占有重大地位。
第2章 可行性研究
2.1 技术可行性
2.1.1 技术概述
本系统采用了ASP.NET技术,不同于以往静态网页将所有网页内容固定,而是通过服务器取出内容后,由浏览器进行解析而动态生成的页面。浏览器展示的内容并不是固定的,不同时间、不同用户所显示的内容是不同的。
儿童服装销售网站系统采用B/S架构,它通过服务器和浏览器之间的数据交换使得信息得以动态展示。网站以IIS为载体,采用SQL Sever作为数据服务器[7]。通过ASP.NET结合HTML语言、ASP.NET指令以及数据库方面的知识,使用Web服务器创建动态网页。ASP.NET非常完整且灵活,可以将很多分散的东西整合起来,创建一个健壮的、可升级的、效率高的Web应用程序。
2.1.2 SQL SERVER
数据库是储存在计算机中的具有一定结构的相关数据的集合。数据库能够让系统和数据结合起来,让系统内容更加方便和直观的呈现给用户。通过数据库语句可以对数据库里面的数据进行修改。目前主要流行的数据库有Microsoft SQL Server、Oracle、Mysql等[8]。
SQL Server 是一个数据库管理系统。系统中的数据显示均是从SQL Server中调取出来,它是系统的重要组成部分。它最开始是三家公司联合开发的,第一个版本是在1988年发布的[9]。经过许多版本的更新,SQL Server也有了更多版本和更多特性,例如伸缩性和安全性等。本系统则采用的是Microsoft SQL Server Management Studio 2018.
2.2 操作可行性
整个网站从面对的对象来分可以分为后台管理系统部分与前台信息展示部分[10]。在管理员部分主要实现的是商品信息的添加与修改、数据销售分析、以及新闻发布等功能;前台信息展示部分主要是模拟购物流程包括查看首页、浏览商品、添加购物车、订单支付以及评价商品等流程。界面简洁美观,并且功能健全。该系统符合生活需要,功能性强,将用户与商家统一管理,具有实际意义。
第3章 系统分析
3.1 系统概述
本系统的目的在于开发基于ASP.NET技术的一个儿童服装销售网站系统,实现儿童服装的销售与交易,方便用户购物和商家统一管理,使服装销售和购买流程更加简单和便捷。用户可以通过自己注册的账号进行登录,浏览首页推送商品以及商品详细介绍,将符合自己要求的的商品添加到自己的购物车中,在决定购买时,将购物车中的商品选中即可付款,付款方式有在线支付和货到付款两种。付款完成后,用户可以查看自己的历史订单,也可以对已经完成的订单商品进行评价,评价内容会在商品详情页面展示,用户也可以选择在评论时是否匿名。若用户信息有变动,可以在首页找到自己的用户名点击进入信息修改页面,确保收货人信息的准确。
后台管理系统是为方便对前台的管理由后台管理员登录系统进行操作,主要是对于网站前台的信息进行管理和相应操作,包括新闻公告的添加修改、商品信息的更新、用户及管理员身份信息的修改以及销售数据的统计与分析,方便商家进行销售策略的调整,有利于网站更好的运营。系统流程图如图3.1所示。

图3.1 系统流程图
3.2 功能需求分析
3.2.1前台功能需求分析
3.2.1.1 前台功能用例图
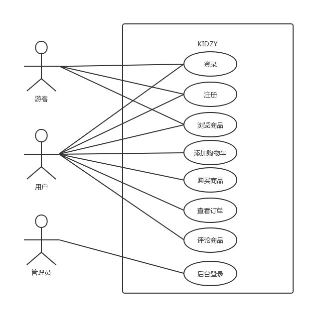
前台应满足如下需求:
(1)用户登录和注册。
(2)游客或用户浏览首页或搜索商品。
(3)浏览商品详情。
(4)用户添加购物车、购买商品。
(5)用户查看订单、评价商品。
(6)管理员进入后台管理系统。
前台功能用例图如图3.2所示

图3.2 前台功能用例图
3.2.1.2前台功能用例描述
表3.1注册用户用例描述
用例编号  | 1  | |
用例名称  | 注册用户  | |
场景  | 创建用户  | |
触发事件  | 客户使用系统创建用户  | |
简单描述  | 客户需要账户来登录系统并购物,需要注册账户  | |
参与者  | 用户  | |
利益相关者 以上是毕业论文大纲或资料介绍,该课题完整毕业论文、开题报告、任务书、程序设计、图纸设计等资料请添加微信获取,微信号:bysjorg。 相关图片展示: 
 
 
 
 
 
             您需要先支付 50元 才能查看全部内容!立即支付
            
            
            
        
        
        最新文档
  
         | ||






        
            
