基于递归神经网络的手写数字识别毕业论文
2020-04-19 21:22:42
摘 要
手写体数字的识别是图像识别中一个非常重要的研究领域。手写数字识别涉及的问题在很多其他领域和应用场景中都是不可回避的,具有广泛性和重要性作为一种处理信息的有效方法,有着庞大的市场需和广阔的应用场景。“人工神经网络”技术作为近几年来热门的研究领域,比起传统技术,有着很大的优势:优良的容错能力、很高的准确率、强大的分类能力、自学习能力等。线下训练和线上识别,使其能达到较好的应用效果,在手写体识别中能对大量数据进行实时的快速处理,并得到准确的结果。
本文主要研究基于递归神经网络研究手写体数字识别。在简单介绍了Python等相关技术和工具的基础上,分析并设计了整个系统框架流程。详细介绍了传统RNN、长短期记忆LSTM、门控循环单元GRU三种递归神经网络模型的理论公式和算法流程,以及如何利用Pytorch框架对三种递归神经网络算法进行了重载实现。在此之上,本文对实现的三种网络利用两种不同的优化方法配合不同参数进行对比训练分析,寻找较优的组合。
关键词:手写体数字识别 深度学习 递归神经网络 Pytorch PyQt
Handwritten number recognition based on recurrent neural network
Abstract
The recognition of handwritten numbers is a very important research area in image recognition. The problems involved in handwritten digit recognition are unavoidable in many other scenarios. They have broadness and importance as an effective method for processing information, and have huge market needs and wide application scenarios."Artificial neural network" technology, as a hot research field in recent years, has great advantages over traditional technology: excellent fault tolerance, high accuracy, strong classification ability, parallel processing ability, self-learning ability.Offline training and online recognition enable it to achieve better application effect. In handwriting recognition, pictures can be processed in real time and accurate results can be obtained.
This paper mainly studies the handwritten digit recognition based on RNNs. Based on a introduction to related technologies such as Python, the entire system framework process was analyzed and designed. The theoretical formulas and algorithm flows of three recurrent neural network models of RNN, LSTM and GRU are introduced in detail. The three recursive neural network algorithms are overloaded by Pytorch framework. On top of this, this paper uses two different optimization methods to compare the training with different parameters to find the better combination.
Key Words: Handwritten number recognition; Deep Learning; Recurrent neural network; Pytorch;PyQt
目 录
摘 要 I
Abstract II
第一章 绪论 1
1.1. 课题的背景及意义 1
1.2. 研究现状 1
1.3. 课题的主要研究内容 3
1.4. 论文组织结构 3
第二章 开发工具及相关技术 4
2.1. 开发语言Python 4
2.2. PyCharm IDE 5
2.3. PyTorch框架 5
2.4. PyQt GUI框架 5
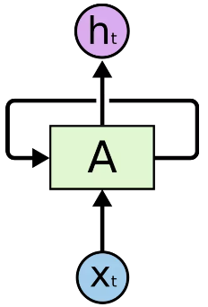
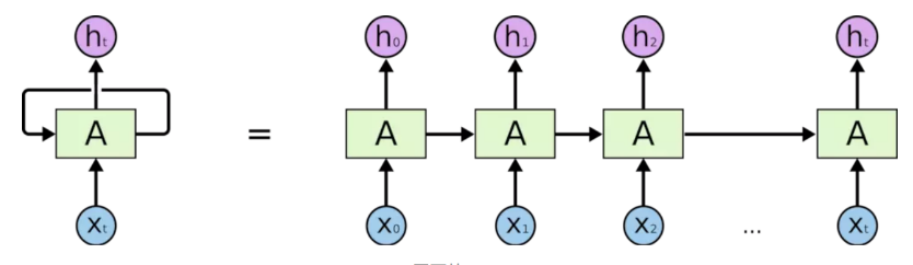
2.5. RNNs(Recurrent Neural Networks) 5
2.6. 损失函数 6
2.7. 学习优化 6
第三章 系统分析与设计 7
3.1. 总体框架流程 7
3.2. GUI需求及设计 8
3.3. 神经网络模块设计 9
3.4. MyWindow主体设计 10
第四章 系统的实现 12
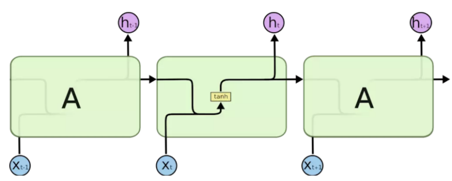
4.1. 递归神经网络算法 12
4.1.1. 传统RNN 13
4.1.2. LSTM 14
4.1.3. GRU 16
4.2. 损失函数 17
4.2.1. 交叉熵损失函数 17
4.2.2. 负对数似然损失函数 18
4.3. 优化方法 18
4.3.1. SGD 18
4.3.2. Adam 18
4.4. 训练模块 19
4.5. 准确率测试模块 21
4.6. 识别模块 23
第五章 模型训练与对比 24
5.1. 传统RNN在两种优化方法下的比较 24
5.2. LSTM在两种优化方法下的比较 26
5.3. 本章总结 28
第六章 总结与展望 29
参考文献 30
致谢 32
绪论
课题的背景及意义
模式识别是研究如何用“机器”来实现“人”对实物的识别、学习和模型建立。字符识别属于模式识别一个非常活跃的分支,因其本身的难度在之前成为一个极具挑战的课题。过去,人们曾尝试很多方法,试图提取手写字符的关键特征。但由于手写数字完全没有限制,多年的研究表明,没有一种简单的传统方案能得到很高的识别率。
光学字符识别技术OCR,使用扫描仪或相机等把实体文稿转化成图像文件,通过算法转换成计算机内部编码。但OCR难以做到脱机的手写字符的识别,准确率不高。
以上是毕业论文大纲或资料介绍,该课题完整毕业论文、开题报告、任务书、程序设计、图纸设计等资料请添加微信获取,微信号:bysjorg。
相关图片展示:








        
            
