年产30吨泰诺福韦艾拉酚胺的车间工艺设计毕业论文
2020-04-07 08:45:10
摘 要
替诺福韦艾拉酚胺(TAF)是一种新型的核苷酸逆转录酶抑制剂,目前主要用于治疗艾滋病(HIV)感染者,对乙型肝炎(HBV)病毒感染患者也有很好的治疗作用。与替诺福韦二吡呋酯(TDF)相比,其在体内有不易被首过消除的特点,且有较强的靶向性,从而使其的给药剂量远远低于TDF,从而是其长期服用产生的不良反应症状大大减弱,从而拥有不小的前景。
TAF是替诺福韦(TFV)的前体药物,能够在体内的外周血单个核细胞中的溶酶体蛋白酶A的高表达催化下转化为TAF-Ala,继而在溶酶体酸性的环境下,水解成TFV。然后TFV在AMP激酶的作用下磷酸化转化为TFVp,随后在NDP酶的作用下继续磷酸化成为dATP的类似物从而竞争性结合与逆转录酶底物活性部位,进而使病毒参与逆转录的过程中缺少必要的结合位点从而使其中断,达到中断病毒DNA链的延长的效果。
进行车间设计的目的是根据提供的目标产物及目标产量确定生产时使用的工艺路线以及生产时各物料的投料量;并获得计算并确认选用合理的设备用于生产,并使各设备处于合理的摆放位置,使管道摆放整齐、节省空间、安全合理的生产状态。设计的意义在于对厂房设计施工的指导作用,使建设出的厂房能够得到正确的目标产物,需要的目标产量,安全的生产条件下尽量达到节省空间和人力资源,取得尽量高的经济效益。
该说明书查找目标产物进行工艺路线并对多种不同的工艺路线进行选择,选出最合适的工艺路线,并根据该工艺路线进行物料衡算、能量衡算、设备选型、管道设计以及对“三废”的排放的处理的设计说明。并且根据说明书绘制5张图纸:工艺流程图、主要设备安装图、平面设备布置图、局部立面设备布置图、管道装配图,其中工艺流程图为手绘之外,其他四张图为CAD绘制。
关键词 替诺福韦艾拉酚胺 工艺设计 TAF 车间设计
Abstract
Tenofovir Alafenamide (TAF) is a novel nucleotide reverse transcriptase inhibitor that is currently used to treat AIDS (HIV) infection. It is also very good for hepatitis B virus (HBV) infection. Therapeutic effect. Compared with tenofovir disoproxil (TDF), it is not easy to be eliminated in the first place in vivo, and has a strong targeting, so that its dose is much lower than that of TDF. It is the long-term uses of the symptoms of adverse reactions greatly weakened, and thus have great prospects.
TAF is a prodrug of tenofovir (TFV) and can be converted to TAF-Ala under the high expression of lysosomal protease A in peripheral blood mononuclear cells in vivo, and then in the acidic environment of lysosomes. Hydrolysis to TFV. Then TFV is converted to TFVp by phosphorylation under the action of AMP kinase, and then it is continued to phosphorylate to dATP analog under the action of NDP enzyme to competitively bind to the active site of the reverse transcriptase, thereby allowing the virus to participate in the process of reverse transcription. There is a lack of necessary binding sites to interrupt them, and the effect of interrupting the elongation of viral DNA strands is achieved.
For this design, this design is to try to find a route with a simple route and a high yield, and then enlarge it to become a workshop, and do its best to reduce the pollution to the environment, and design and process energy consumption. As small as possible, it is able to calculate and determine shop-related data under the reaction route in less extreme conditions.
For individuals, this design is an assessment and training of my abilities. It is a comprehensive application of the professional knowledge I have learned during my college education. It allows me to understand more profoundly the professional knowledge that I have learned in my university for four years. . It is to lay the foundation for doing related work in the future, and at the same time understand how to do a specific job rather than simply learning.
The instructions search the target product for process routing and select a variety of different process routes, select the most appropriate process route, and perform material balance, energy balance calculation, equipment selection, pipeline design, and "Three wastes" design instructions for the treatment of emissions. And draw five drawings according to the specification: process flow chart, main equipment installation drawing, plane equipment layout, partial elevation equipment layout drawing, pipeline assembly drawing, in which the process flow chart is hand-painted, and the other four drawings are CAD drawings.
Key words: tenofovir alaflamamide; process design; TAF; workshop design;
目录
Abstract 3
1.绪论 1
2.产品、目标及生产工艺流程介绍 2
2.1目标产品介绍 2
2.2生产工艺流程 2
2.2.1工艺路线介绍 2
2.2.2中间体的获取 4
2.3工艺流程设计 5
3.物料衡算 5
3.1物料衡算依据 5
3.2各步骤配比表 7
4.能量衡算 9
4.1能量衡算目的 9
4.2能量衡算依据 9
4.2.1设备的热量平衡方程式 9
4.3计算 9
5.设备选型 14
6.其他相关设计 16
6.1环境保护 16
6.1.1污染物情况 16
6.1.2概述 17
6.2管道设计 17
5.2.1管道设计原则 17
5.2.2管道设计 17
6.3相关图纸的绘制 18
论文致谢 19
1.绪论
替诺福韦艾拉酚胺是一种由美国吉利德研制生产的核苷酸逆转录酶抑制剂,是继该公司研发出替诺福韦二吡呋酯后又推出的一种抗艾滋病毒与乙肝病毒的一种新药,替诺福韦艾拉酚胺相较后者拥有更加强大的疗效:大约1/6剂量前者便可达到更加优异的治疗效果的和更小的不良反应,而吉利德公司在2012年提交了替诺福韦艾拉酚胺半反丁烯二酸盐的专利并且目前替诺福韦艾拉酚胺的上市形式也为此。在此之后吉利德公司又提交了基于替诺福韦二吡呋酯的复方药物的改良版专利,因此,该公司对此种药物仍享有并打算尽量延长该药物的专利。[1]
但目前艾滋病和慢性乙型肝炎的患者越来越多,且其相较替诺福韦的其他前体药物而言的更高疗效与更小的不良反应使其临床应用范围广泛,市场需求不断增加。虽有吉利德公司在替诺福韦艾拉酚胺的生产有长时间生产经验和成熟的生产工艺,但其高昂的价格并不是许多国内及国外的非高收入患者能够负担得起的。因此在国内的仿制药及拿到TAF的相关专利即在国内投入生产是十分有必要的。因此我们拟设计一个TAF的生产车间,设定每年的产量大约是30吨。
此设计是以替诺福韦艾拉酚胺的合成工艺路线和现行的国家标准、规范以及法规为基础,进行了物料、能量等条件的衡算计算。并且选定需要的设备型号、确认厂房中各设备的摆放及地形划分、各种物料及换热、辅助用管道的布置、选定并设计废气废水固体废料的处理与排放等,以及设计处理其他各个方面。替诺福韦艾拉酚胺的工生产艺并不是现在常见的生产工艺,因此本次设计的任务量不容小觑。此次设计并不直接投用于生产,完全是我们的毕业设计任务,其成果包括工艺流程、物料衡算、能量衡算、工艺设备选型计算、车间布置设计、设计说明书的撰写、查阅英文资料并翻译、绘制相应的工艺图等等。
本次的设计不会特别的详尽,使按照王志祥的《制药工程》中的教学和设计的指导下逐步完成的,不过因为给予的交稿期限较为紧迫,鄙人化工与有机方面的基本功也不够扎实,设计中有欠缺考虑的地方也在所难免,在此请老师予以指导与批评。
2.产品、目标及生产工艺流程介绍
2.1目标产品介绍
替诺福韦艾拉酚胺(Tenofovir Alafenamide Fumarate, TAF),是由美国吉利德公司与2011年公开的,对于拥有很很好的抗HIV和HBV病毒效果的,不良反应较小的新型核苷类逆转录酶抑制剂,用于治疗HIV和慢性乙型肝炎成人感染者的治疗。结构式为

图1.1 替诺福韦艾拉酚胺结构式
分子量:476.47
其常见用于临床治疗的原料药通常为吉利德公司在2012推出的替诺福韦艾拉酚胺半延胡索酸盐的,即替诺福韦艾拉酚胺富马酸盐,其形状为白色至类白色粉末。其作为原料药形式并声称其有更好的疗效和更小的不良反应。
产品方案及生产规模1
产量30t/a,120kg/批,每年工作250天,即除去周六周日和法定节假日的时间。
2.2生产工艺流程
2.2.1工艺路线介绍
根据金磊[2]的分析与比较,我们选定了一条比较有产率较高且合成步骤较少较为方便的一条工艺路线。
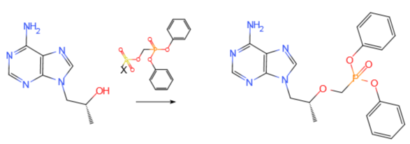
- (R)-{[2-(6-氨基-9-H-嘌呤)-1-甲基乙氧基]甲基}膦酸二苯基酯(B)[3]

图1.2 B的合成
在一个反应釜中加入N-甲基吡咯烷酮和叔丁醇钾,在室温下连续搅拌1个小时之后,加入原料(R)-9-(2-羟丙基)腺嘌呤(A1),再搅拌一个小时。倒入另一种原料甲苯磺酰氧基膦酸二苯基酯(A2),将温度控制在25℃下反应12小时,反应过程中连续搅拌。反应完毕用醋酸调节pH,加入大量的水使第一步骤产物析出,该产物为灰白色固体,结晶,离心,过滤后依次用水和丙酮洗涤滤饼,干燥得(R)-{[2-(6-氨基-9-H-嘌呤)-1-甲基乙氧基]甲基}膦酸二苯基酯。
2)(R)-{[2-(6-氨基-9-H-嘌呤)-1-甲基乙氧基]甲基}膦酸单苯基酯(C)[3]

图1.3 C的合成
在反应釜中加入四氢呋喃作为溶剂,加入上一步骤的产物(R)-{[2-(6-氨基-9-H-嘌呤)-1-甲基乙氧基]甲基}膦酸二苯基酯B。将反应釜的溶剂控制于10℃以下,再滴加事先准备好的氢氧化锂的水溶液,滴加完毕后将反应釜的温度调节至25℃左右,开启搅拌,持续10小时。搅拌完毕后将釜温度调节至0℃,用盐酸调节pH,在此过程中要小心地控制盐酸的量,同时开启搅拌20分钟。之后用乙酸乙酯萃取该反应的目标产物,乙酸乙酯层用饱和氯化钠溶液洗涤,之后用无水Na2SO4干燥,之后滤去Na2SO4。减压蒸去溶剂且溶剂回收,得到固体转入下一步。
3)(R)-{[2-(6-氨基-9-H-嘌呤)-1-甲基乙氧基]甲基}氯代膦酸单苯基酯(不稳定)[4]
将上一步骤中的产物加入盛有乙腈的反应釜中,(最好由搪瓷制),尽量控制温度不超过50℃的情况下加入SOCl2,随后升温完全溶解固体(约75℃),之后将反应釜升至80℃并向反应釜内持续通入氮气,并收集氮气带出的挥发物,随后将反应釜冷却至室温,加入二氯甲烷溶解釜内剩余物并冷却至-29℃(之后让其温度回升)。

图1.4 氯代过程
4)替诺福韦艾拉酚胺及其立体异构的混合物(D)[4]
将上一步骤的反应产物的温度逐渐回复至室温,到约-18℃,最好在一个小时之内加入溶有(L)-丙胺酸异丙酯的二氯甲烷。在-18℃至-11℃时,在半个小时之内加入三乙胺,随后加热以加快升温速度,恢复至室温后用10%wt的NaH2PO4水溶液进行五次洗涤,随后除去水分,用二氯甲烷冲洗后将适量的丙酮溶进处理过后的物质中。随后分次用硅胶柱除去杂质。
5)替诺福韦艾拉酚胺(TAF)
用间歇洗脱色谱法分离非对映异构体。[4]
2.2.2中间体的获取
由于条件的限制,我们不能从市面上可以获取的最简单的化合物开始生产,因为那样并不适合放置在同一车间内。所以本流程是从已生产的关键中间体开始进行工艺设计,而关键中间体的生产可以参考Larrow J F等人的一甲基环氧乙烷开环等一系列步骤从而进行关键中间体的获取。[5]


图1.5 A1的合成步骤
而对苯甲磺氧酰基甲基膦酸二苯酯来说可参照郑庆泉等人的方法[3]

图1.6 A2的合成步骤
2.3工艺流程设计
本设计的生产工艺的操作方式采用的是间歇操作,整个工艺总体上分为四个工序, 即包括酯化、干燥、回收溶剂、水解、反应、洗涤、硅胶柱纯化、间歇洗脱色谱等一系列单元操作过程。
3.物料衡算
3.1物料衡算依据
1)产品名称:TAF
2)产品规格:含量99.4%
3)年工作日:250天
4)生产能力:30t/a
根据中试结果,每天可生产一批产品,综合考虑设备检修、产品质量波动等因素,
确定批产量为120kg。其中纯TAF 258.44kg、水分O.26kg(O.1%)、杂质1.3kg(0.5%)。 5)收率:
6.A1 A2一B:85.3%
B—C:87.1%
C—D:61.4%
D—-TAF:50.4%
总收率:85.3%×87.1%×61.4%×50.4%=23.0%
6)基准:物料衡算以批计算,单位为kg。
采用逆推法进行物料衡算
D-TAF
120kg/50%=240kg的D,及每批要生产240kg以上的D物质
C-D
240/61.4%=390.88kg,即每批390.88kg以上的C物质
B-C
经计算得543.83kg,即每批有543.83kg的B物质
A-B
经计算得:A1需283.35kg,A2需793.085kg。
初步估算详细每步骤中所需的各个物质的需求量:
步骤1(A-B)
除上述原料外还需:
经计算得叔丁醇钾163.15kg;
醋酸68.0kg;
蒸馏水约5.665t*1.05=5.985t;
N-甲基吡咯烷酮1.456t
乙醇223.725kg
步骤2(B-C)
除上述步骤产物还需
四氢呋喃2.015t;
氢氧化锂59.48kg;
蒸馏水2.493t;
乙酸乙酯2t;
饱和食盐水400kg
无水硫酸钠240kg;


