泰诺福韦艾拉酚胺的合成工艺研究毕业论文
2020-04-07 08:45:05
摘 要
替诺福韦艾拉酚胺(tenofovir alafenamide, TAF),是一种新型的核苷酸逆转录酶抑制剂,由吉利德公司研制,治疗慢性乙型肝炎病毒感染和代偿性肝病。
替诺福韦艾拉酚胺是替诺福韦(tenofovir, TFV) 的口服前药,已上市药物替诺福韦酯(tenofovirdisoproxil fumarate, TDF)的改良版,相对于TDF而言,TAF临床给药剂量更小,且更容易进入细胞发挥药效,抗病毒疗效更强,不良反应减小。
本论文以无水替诺福韦室温下与吡啶搅拌形成混浊液,加入亚磷酸三苯酯,加热至回流115℃反应若干小时,待反应完成后冷却,洗涤干燥,得白色固体(R)-1-(6-氨基-9H-嘌呤-9-基)丙烧-2-基)氧基)甲基)磷酸一苯酯。将(((R-l-(6-氨基-9H-嘌呤-9-基)丙烷-2-基)氧基)甲基)磷酸一苯酯和甲苯混合,加入氯化亚砜后70℃反应24小时压浓缩至干后加入甲苯溶解,备用。向L-丙氨酸异丙酯与DCM的溶液中滴加上述的酰氯溶液,控温-25~-20℃,滴加时间45min,在-20℃以下搅拌至少30min,反应液温度升至19~25℃后一次用10%(w/w)碳酸二氢钠溶液、15%碳酸氢钾和水洗涤,有机相经无水疏酸钠干燥后,减压浓缩至干,得琥珀色油状物,用甲苯/乙腈(4:1)的混合溶剂(500ml溶解,加入晶种,室温搅拌2h-过滤,滤饼用甲苯/乙腈的混合溶剂洗涤,然后40℃减压干燥16fh,得白色固体(S)-((((R)-1-(6-氨基-9H-嘌呤-9-基)丙烷-2-基)氧基)甲基)(苯氧基)膦酰基)-L-丙氨酸异丙酯。
本论文着重探究了实验过程中涉及到的温度,反应时间,溶剂选择上的一些问题进行研究。并寻找合适的反应条件和理想的工艺条件,为进一步研究奠定基础。
关键词:泰诺福韦艾拉酚胺;逆转录酶抑制剂;合成路线;工艺研究
Abstract
Tenofovir alafenamide (TAF), a novel nucleotide reverse transcriptase inhibitor, was developed by Gilead to treat chronic hepatitis B virus infection and compensated liver disease.
Tenofovir is a oral prodrug of tenofovir (TFV) and has been marketed as a modified version of tenofovirdisoproxil fumarate (TDF). Compared with TDF, TAF is clinically given. The dose is smaller, and it is easier to enter the cells to exert its efficacy, the antiviral effect is stronger, and the adverse reactions are reduced.
In this dissertation, anhydrous tenofovir was stirred with pyridine at room temperature to form a turbid solution. Triphenyl phosphite was added and the mixture was heated to reflux at 115° C. for several hours. After the reaction was completed, it was cooled, washed and dried to give a white solid (R)- 1-(6-Amino-9H-purin-9-yl)propan-2-yl)oxy)methyl) monophenylphosphate.((Rl-(6-Amino-9H-purin-9-yl)propan-2-yl)oxy)methyl) monophenyl ester and toluene were mixed, thionyl chloride was added and reacted at 70 DEG for 24 hours Concentrate to dryness and add toluene to dissolve. The above acid chloride solution was added dropwise to a solution of L-alanine isopropyl ester and DCM, and the temperature was controlled at -25 to -20°C for 45 minutes. After stirring at -20°C or lower for at least 30 minutes, the temperature of the reaction liquid rose to 19°C. After washing at -25°C with 10% (w/w) sodium dihydrogen carbonate solution, 15% potassium bicarbonate and water, the organic phase was dried over anhydrous sodium sulfate and concentrated to dryness under reduced pressure to give an amber oil. , a mixed solvent of toluene/acetonitrile (4:1) (dissolved in 500 ml, seeded, stirred at room temperature for 2 hours, filtered, the filter cake was washed with a mixed solvent of toluene/acetonitrile, and then dried under reduced pressure at 40° C. for 16 hours to obtain a white solid ( S)-((((R)-1-(6-amino-9H-purin-9-yl)propan-2-yl)oxy)methyl)(phenoxy)phosphono)-L-propanamine Acid isopropyl ester.
This paper focuses on exploring the temperature, reaction time, and solvent selection problems involved in the experimental process. And find suitable reaction conditions and ideal process conditions, lay the foundation for further research.
Key words:Tenofovir Araphanolamine;Reverse transcriptase inhibitor; synthetic route;craft research
目 录
第1章 绪论 1
1.1 前言 1
1.2 泰诺福韦艾拉酚胺介绍 1
1.3 前景 2
1.4 泰诺福韦艾拉酚胺的合成工艺进展 2
第2章 实验部分 4
2.1 实验原料 4
2.2 实验仪器 4
2.3 (((R)-1-(6-氨基-9H-嘌呤-9-基)丙烷-2氧基)甲基)磷酸一苯酯的合成 5
2.4 ((S)-((((R)-1-(6-氨基-9H-嘌呤-9-基)丙烷-2-基)氧基)甲基)(苯氧基)膦酰基)-L-丙氨酸异丙酯的合成 6
第3章 结果与讨论 8
3.1 (((R)-1-(6-氨基-9H-嘌呤-9-基)丙烷-2氧基)甲基)磷酸一苯酯的合成条件研究 8
3.2 ((S)-((((R)-1-(6-氨基-9H-嘌呤-9-基)丙烷-2-基)氧基)甲基)(苯氧基)膦酰基)-L-丙氨酸异丙酯的合成条件研究 12
第4章 结论 18
参考文献 19
致谢 21
绪论
前言
病毒是世界上最小的生物病原体,很多疾病都是因为病毒感染引起的。大道HIV,HBV,小到感冒流感,它与我们的生活息息相关。大的方面来讲。截止2017年12月1日,第30个世界艾滋病日,艾滋病病毒已造成全球3500多万人死亡。去年全球有100万人死于艾滋病毒相关病症。但根据估计,目前仅有一部分的艾滋病病毒感染者知道其感染状况及了解病情。全世界乙型肝炎病毒(hepatitis B virus,HBV)慢性携带者约有3.5亿,我国是HBV感染的高发区,HBsAg携带者亦高达10%~15%【1】.有研究文献表明,慢性乙肝(HBV)患者合并HIV(艾滋病)后,会因为HBV损害了患者的免疫机制,导致肝功能损害加倍,致使患者病况恶化【2】。因此,针对HIV合并HBV患者,针对患者的病情给与相应的抗病毒治疗,对于患者控制病况,降低HIV病毒对患者肝功能的苏浩成都有着明显的促进作用,这对改善患者症状,提升患者的生存质量有着实际的意义【3】。
泰诺福韦艾拉酚胺介绍
替诺福韦地索普西富马酸盐(TDF)是指示用于治疗慢性乙型肝炎病毒(CHB)和人免疫缺陷病毒(HIV)感染的患者的核苷酸逆转录酶抑制剂【4】。富马酸替诺福韦酯,化学名为5-[[(1R)-2-(6-氨基-9H-嘌呤-9-基)-1-甲基乙氧基]甲基]-2,4,6,8-四氧-5-磷杂任二酸二异丙酯-5-氧化物富马酸盐【5】,2001年在美国首次上市,临床用于治疗人类免疫缺陷病毒感染【6】,并可与其阿康逆转录病毒连用【7】。本品是一种核苷酸类逆转录酶抑制剂,通过与核苷类逆转录酶抑制剂类似的方法来抑制逆转录酶,从而本品具有抗HIV-1的潜在活性。本品的活性成可以发生竞争性结合而抑制DNA复制转录,从而终止DNA的复制来产生药理作用。
泰诺福韦艾拉酚胺几乎不经胃肠道吸收,因此进行酯化、成盐,成为替诺福韦酯富马盐酸。替诺福韦酯具有水溶性,可被迅速吸收并降解成活性物质替诺福韦【8】,替诺福韦然后被转变为活性代谢产物替诺福韦双磷酸盐。给药后1~2小时内替诺福韦达血药峰值。替诺福韦双磷酸盐的胞内半衰期约为10小时,从而使之适用于1天给药1次。泰诺福韦艾拉酚胺与其他食物不存在其他的排异反应,药理作用也十分稳定。因此,由该酶引起的与其它药物间相互作用的可能性很小。泰诺福韦艾拉酚胺主要经肾小球过滤和主动小管转运系统排泄,绝大部分以原尿形式排出体外。泰诺福韦艾拉酚胺具有更强的抑制HBV复制作用,且有较好的安全性和耐受性【9-11】。
前景
随着人类社会快速的发展,国际交流的日益紧密,在全球化的进程不断加快的节奏下,病毒的传播滋生扩张也是在当今社会所需要面对并急需解决的的一个问题,它时时刻刻威胁着人类的身体健康。快节奏的生活也为HIV/HBV的滋生带来了可乘之机,患病人数的持续增长也是当今社会所面临的一大问题,而抗病毒类药物仍是治疗此类疾病的主要手段。从二十世纪八十年代以后,玩过相机研究投产的抗病毒药物已经越来越多,但由于经济结构等因素不合理性,产品产量质量仍没有较大提升。近来,国外研究机构不断研究创新不同的抗病毒药物,更多的投入临床,激励了我国国内的制度改革和对新药研究的支持力度。
近年来抗病毒药物的研究开发已成为要研究工作的重点,对各种不同抗病毒药物的研究已取得了重大进展【12】。随着药物需求量的增长和医药业的迅速发展,抗病毒药物的市场增长也在不断提高,市场份额业越来越大,抗病毒药物的发展创新和工艺改进已经是提升收益的一个重大发展方向。
泰诺福韦艾拉酚胺的合成工艺进展
替诺福韦泰诺福韦艾拉酚 |
|
英文名:Tenofovir Araphanolamine |
|
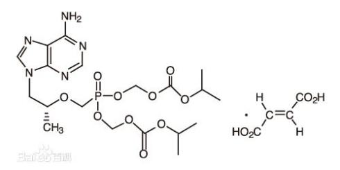
| 分子式:C19H30N5O10P·C4H4O4 分子量:635.52
|
根据查阅的文献【13-14】资料,替诺福韦的合成路线众多,综合产率、实验复杂程度、操作要求等一系列考虑,本次论文采取以下一条操作简便,产率较高的路线进行实验室操作分析。实验以无水替诺福韦作为原料,在室温下加入少量吡啶,再与DMF混合溶解,至混合液为乳浊液时,移入油浴锅中,一定温度下缓慢加入亚磷酸三苯酯,待全部滴加完毕后稍微提升温度,加热回流数个小时,观察反应终点,待反应完成后洗涤抽滤,并烘干称重,得到(((R)-1-(6-氨基-9H-嘌呤-9-基)丙烷-2氧基)甲基)磷酸一苯酯备用。然后以(((R)-1-(6-氨基-9H-嘌呤-9-基)丙烷-2氧基)甲基)磷酸一苯酯作为反应物,和甲苯混合后加入氯化亚砜在合适温度下持续反应。带反应进行完毕后,减压浓缩,产物加入适量甲苯溶解后备用。准备DCM与L-丙氨酸异丙酯的混合溶液,保持较低的温度下滴加上述酰氯溶液,保持匀速并缓慢滴加。滴加完毕后搅拌半个小时,提升温度至室温,用磷酸二氢钠溶液,碳酸氢钾和水洗涤。有机层用无水硫酸钠干燥并浓缩。之后用甲苯/乙腈混合溶剂溶解,加入晶种搅拌过滤,洗涤产物,将产物减压干燥,得到目标产物。
反应步骤如下:
1.
2.

第2章 实验部分
2.1 实验原料
试剂 | 规格 | 来源 |
吡啶 | 分析纯 | 百灵威化学试剂有限公司 |
DMF | 分析纯 | 国药集团化学试剂有限公司 |
亚磷酸三苯酯 | 分析纯 | 国药集团化学试剂有限公司 |
氯化亚砜 | 分析纯 | 百灵威化学试剂有限公司 |
甲苯 | 分析纯 | 国药集团化学试剂有限公司 |
L-丙氨酸异丙酯 | 分析纯 | 国药集团化学试剂有限公司 |
乙腈 | 分析纯 | 武汉欣申化工科技有限公司 |
2.2 实验仪器
仪器 | 型号 | 来源 |
三用紫外分析仪 | ZF7B | 巩义市英峪予华仪器厂 |
电子天平 | FAZ104N | 上海精密科学仪器有限公司 |
旋转蒸发仪 | RE-52AA | 上海嘉鹏科技有限公司 |
循环水式真空泵 | SHZ-D(Ⅲ) | 巩义市予华仪器有限责任公司 |
真空干燥箱 | DZF-6050 | 上海博讯事业有限公司医疗设备厂 |
集热式恒温加热磁力搅拌器 | DF-101S | 巩义市予华仪器有限责任公司 |
2.3 (((R)-1-(6-氨基-9H-嘌呤-9-基)丙烷-2氧基)甲基)磷酸一苯酯的合成
称取5.00g(R)-9-[2-(膦酰基甲氧基)丙基]腺嘌呤(0.0175mol),在室温下与50ml吡啶在150ml三口烧瓶中混合,加入搅拌子,搅拌成乳浊液装,移入油浴锅中,调节温度为95℃,中间口插入冷凝管,其余两个口用橡胶塞密封,用针管缓缓加入16.2g亚磷酸三苯酯,报保持密封。待亚磷酸三苯酯全部加完以后,将温度升高到105摄氏度,进行持续反应。反应溶液在加入亚磷酸三苯酯后变得澄清透明,但有结交现象发生。持续反应8个小时以上,反应过程中用薄层色谱法(TLC)对反应进行程度进行持续跟踪,展开剂为乙酸:二氯甲烷=1:1的混合液,反应液点板,观察色谱点,当原料点消失后,初步确定反应进行完毕,停止反应。此时,溶液中有大量白色固体析出,溶液变为悬浊液。将三口烧瓶移出油浴锅,冷却至室温。准备抽滤装置,对所得的产物进行抽滤,滤饼用少量乙醇洗涤,重复两次,得到白色固体,将白色固体在60-70℃的温度下进行烘干5个小时以上,得到干燥的白色固体,将产物称重,记录实验数据,保存好产物留待下步反应。所得的反应产物用高效液相监测,确认反应的反应程度以及反应产物的纯度。
2.4 ((S)-((((R)-1-(6-氨基-9H-嘌呤-9-基)丙烷-2-基)氧基)甲基)(苯氧基)膦酰基)-L-丙氨酸异丙酯的合成

将(((R)-1-(6-氨基-9H-嘌呤-9-基)丙烷-2氧基)甲基)磷酸一苯酯16g(0.044mol)和甲苯(100ml)在250ml三口烧饼中混合,将三口烧瓶放入油浴锅中,用橡胶塞密封瓶口,调节温度为70摄氏度。称取氯化亚砜7.84g(0.066mol),加入到上述三口瓶中,维持温度在70摄氏度不变,持续反应24小时以上,期间继续用点板的方式对反应的进行程度进行持续的跟踪,记录实验相关数据。待反应进行基本完成后,将所得液体进行减压浓缩,至反应物基本浓缩干后,加入80ml甲苯溶解所剩固体,转入另一烧瓶中备用。另取一烧瓶,称取L-丙氨酸异丙酯25.92g(0.198mol)倒入烧瓶中,另取100mlDCM加入到这个烧瓶中,使之与L-丙氨酸异丙酯混合均匀形成溶液,并且放置在低温冷却液循环泵中,维持温度-25--20摄氏度。将前面准备好的反应产物用滴管缓缓滴加到L-丙氨酸异丙酯与DCM的混合溶液中,维持温度稳定不变,滴加时间大约45min左右。待滴加完毕后,将温度维持在-20摄氏度,搅拌半个小时以上,用点板的方法对反应程度进行持续的跟踪。观察点板结果,当原料点基本消失不见的时候,确认反应基本进行完毕。将反应液的温度上升,大约在20-25摄氏度左右,将反应液进行洗涤,洗涤液先后次序分别为10%(w/w)磷酸二氢钠溶液(2×80ml),15%碳酸氢钾(2×40mL)和水(100mL)洗涤。将洗涤后产物进行分液,弃掉水层,留下有机层。用点板的方法来跟踪是否有反应物的残留,确认所得有机层相对纯净。将有机层用过量无水硫酸钠进行干燥,过滤除去硫酸钠。将干燥的有机层继续进行加压浓缩,挥发掉有机溶剂,得到琥珀色的油状物。将所得的油状物用甲苯/乙腈(4:1)的混合溶剂(100mL)溶解,加入晶种(2mg,99:1非对映异构体比),在室温下搅拌超过两个小时。将搅拌后的液体进行过滤,得到的滤饼用配置的甲苯/乙腈(4:1)的混合溶剂(20mL)进行洗涤,得到湿润的白色固体。将上述得到的白色固体放入真空干燥机中维持温度40摄氏度进行干燥,干燥时间为16小时以上。取出干燥产物,即为目标产物((S)-((((R)-1-(6-氨基-9H-嘌呤-9-基)丙烷-2-基)氧基)甲基)(苯氧基)膦酰基)-L-丙氨酸异丙酯,理论产量21g,称取所得固体质量,几率实验数据,计算实验收率。实验产物用高效液相色普法进行分析,分析反应是否已经完全进行,并监测反应产物的纯度以及是否有其他反应过程中的物体残留,更准确地计算产物纯度和实验收率。

结构式:

