年产500吨头孢拉定原料药车间的工艺设计毕业论文
2020-03-22 14:02:51
摘 要
头孢拉定 (Cephradine, Velosef) 是市场广泛采用的第一代头孢菌素类抗生素之一。本品自诞生以来,之所以被广泛应用于临床,是因为其具有迅速而可靠地杀菌作用及毒副作用相对较小优点。随着现代制药工艺的快速发展,探究更科学、经济、合理、绿色的生产工艺来确保头孢拉定的质量和产出以提高其疗效及效益。本文首先依据头孢拉定原料药的生产工艺研究,对年产500吨头孢拉定的工艺进行了设计。 依据各个单元的物料进出进行物料衡算,从而计算出各个单元操作后的物料总量,再依据各个单元的各种物料总量来进行主要设备选型。能量衡算由物料前后状态得出,从而得到进出换热器的热量变化,及干空气与水蒸气的用量等。其次,本设计重点对头孢拉定生产的废水处理作出整改,由传统的低效率单一处理方法升级为高处理效率的综合处理方法,从而提高抗生素废水处理水平。 本设计对头孢拉定原料药的生产工艺进行研究,在各个环节保证药品质量,严格按照 GMP的有关要求进行头孢拉定原料药车间工艺设计,从而保证该设计能够满足年产量500吨头孢拉定原料药的任务需要。
关键词:头孢拉定;废水;车间工艺;设计
Abstract
Cephradine (Velosef) is a first generation semi-synthetic cephalosporin. It is one of the most commonly used cephalosporin antibiotics in the clinic due to the rapid and reliable bactericidal action and relatively small side effects. With the rapid development of modern pharmaceutical technology, it is urgent to explore a more scientific, economical, rational and green production process to ensure the quality and output of cefradine to improve its efficacy and benefit. The present design aims to design a process of annual production of 500 tons of cephradine based on the standard production technology of cephradine raw materials. Firstly, according to the material in and out of each unit, the material balance was calculated; Secondly, the total amount of materials in each unit operation was calculated; Thirdly, select the appropriate materials, equipment and molding process of the present design based on the preparation process of raw cephradine and its physical and chemical properties. Moreover, the energy balance is calculated so that the change of heat in and out of the heat exchanger and the amount of dry air and water vapor were obtained. It is worth noting that this design also focuses on the rectification of waste water from cephradine production, I have used a comprehensive treatment method with high efficiency to replace the traditional low-efficiency single treatment method to improve the antibiotic wastewater treatment efficiency. Overall, the production process of cephradine in this design ensures the quality of cephradine at all stages, and strictly follows the relevant requirements of GMP , so as to ensure that the design meets the requirements of the annual production of 500 tons of raw cephradine.
Key Words:Cephradine; waste water;production process; process design;
目录
摘 要 I
Abstract II
第1章 绪论 1
1.1设计背景 1
1.2设计目的 2
1.3设计内容 3
第2章 头孢拉定生产工艺 3
2.1生产安排 3
2.2生产工艺流程 3
2.3 生产工艺流程图 5
2.4 物料衡算 6
2.4.1 整体物料衡算 6
2.4.2 7-ADCA保护反应过程 6
2.4.4 混合酸酐制备的物料衡算 6
2.4.5 缩合反应过程的物料衡算 7
2.4.6 水解反应过程物料衡算 8
2.4.7萃取过程的物料衡算 9
2.4.8 过滤脱色过程 10
2.4.9 结晶反应的物料衡算 11
2.5 能量衡算 12
2.5.1能量衡算的目的 12
2.5.2热量平衡方程 12
2.5.3缩合产物的能量衡算 13
2.5.4头孢拉定的能量衡算 14
第3章 设备选型 14
3.1 设备选型步骤 15
3.3 设备型号 15
3.3.1 蒸汽加热不锈钢反应釜 15
3.3.2 不锈钢缩合反应釜 15
3.3.3 不锈钢水解釜 16
3.3.4 不锈钢结晶罐 16
3.3.5列管式冷凝器 16
3.3.6泵 17
3.3.7碟式离心机 17
3.3.8 活性碳过滤器 17
3.3.9 多功能过滤机 18
第4章 工艺流程图 18
4.1绘图说明 18
第5章 原料药车间平面布置图 19
5.1 车间平面布置的相关规定 19
5.2 车间布置说明 20
5.2.1 车间平面布置说明 20
5.3车间布置 21
5.4 设备布置 21
5.5 管道布置 22
5.6 废水处理 22
5.6.1 处理工艺概述 22
5.6.2 第一环节 23
5.6.3 第二环节 24
5.6.4 第三环节 24
5.6.5 第四环节 24
5.6.6 总处理过程 24
5.7 废气处理 25
5.8 废渣处理 25
第6章 非工艺设计 25
6.1 防火防爆与安全卫生 25
6.1.1 防火防爆 25
6.1.2 防雷与防静电 26
6.1.3 采光与照明 26
6.1.4 通风 26
6.1.5 消防 26
6.1.6人员防护 26
6.2 绿化 27
6.3 给排水设计 27
6.3.1 供水系统 27
6.3.2 制水 27
6.3.3 排水系统 27
6.4 设备安装 28
第7章 技术经济与工程造价 28
7.1 技术经济的指标体系 28
7.2 成本 28
参考文献 30
致 谢 31
第1章 绪论
1.1设计背景
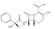
随着环境恶化、微生物种类增多、细菌耐药性出现、疾病的发展,人类对抗生素的需求量的持续增加,抗生素的市场空间在不断攀升。头孢拉定(结构式见下图)又称头孢环乙烯、头孢雷定、先锋霉素Ⅵ、头孢菌素Ⅵ,因其可以口服、吸收好、血药浓度较高、药效好,对临床耐药性金葡菌及多种耐药菌有良好的杀伤作用,且价格合理,目前是临床常用的抗菌消炎药[1]。头孢拉定在临床上对于治疗葡萄球菌、肺炎球菌、大肠杆菌、肺炎菌等致病菌所造成的诸多炎症有比较好的疗效。主要用于葡萄球菌、链球菌、肺炎球菌、大肠杆菌、肺炎菌、痢疾杆菌、沙门菌等引起的泌尿道 、呼吸道、消化道、皮肤软组织、耳鼻咽喉感染及妇产科感染,如支气管炎、膀胱炎、肾盂肾炎、肠炎及痢疾等。并且,该药在预防治疗术后感染中也起到重要的作用[2]。
结构式:
头孢拉定在中国药品市场反映良好且不良反应轻微。虽然很多抗菌药(eg.青霉素、氯霉素、林可霉素和红霉素)的耐药率已处于相当高的水平,但本品对于泌尿道、呼吸道感染仍是优秀的一线临床药物。根据2007年我国重点样本医院统计,头孢类药物年销售总额为 29.80 亿元,占全身抗感染药物市场 45%以上的份额。随着全国减少抗生素输液治疗,口服用头孢拉定销售占比有日益增加的趋势[3]。同时,随着临床药物治疗学的快速发展,联合用药已经成为了治疗一系列疾病的首选来增加药物的疗效同时减轻药物的毒副作用。头孢拉定在临床上已经广泛用于联合用药治疗其他疾病。例如头孢拉定与清胃散合用治疗牙周病可快速改善患者牙周的健康状况同时显著性减少了并发症的发生,值得临床广泛推广[4]。穿琥宁与头孢拉定联用治疗呼吸道感染临床效果优于单独用药[5]。
头孢拉定抗菌作用的机制已经有众多研究。总的来说,抗生素类药(Antibiotic medicines),是通过针对细菌特有的结构或反应进行抑制,进而实现杀死或抑制目标细菌的目的。 抗生素类药的药效机制主要有四类:1.遏制病菌细胞壁的合成过程,进而导致病菌结构性死亡。2.作用于病菌细胞膜,影响病菌细胞膜透过性,导致细菌死亡。 3.通过与核糖体及其反应底物作用,阻碍蛋白质的合成,细菌因无法合成结构蛋白和酶而死亡。 4.抑制细菌DNA复制,从而抑制细菌分裂繁殖。 抗生素类药按照其作用不同可分为两种。 一种是杀菌剂,另外一种则为抑菌剂。头孢拉定属于杀菌类头孢菌素,作用机制与头孢氨苄类似,主要通过遏制病菌细胞壁的合成来起药效作用。
然而,市场上部分头孢拉定产品所含杂质头孢氨苄超标,导致患者易发生不良反应,主要有心脏灼烧感、恶心、呕吐等副反应。极少数患者可能出现皮肤瘙痒的症状。与此同时,有临床研究报道,部分使用头孢拉定(尤其是注射剂)的患者出现精神异常、听力减退以血尿等不良反应,而这些反应主要是由于过量用药所致[6]。
现今,我国是全球抗生素生产量最大的国家之一,尤其是在原料药的生产。由于头孢拉定的广泛临床应用,我国药品市场高质量头孢拉定原料药需求仍然较大。然而,抗生素(包括头孢拉定的生产)造成水环境污染,严重制约了我国药物合成工业的发展。近年来,我国环保部门加大执法力度,要求很多非法排放污水的原料药企业进行整改。哈药、云南制药、海正药业等都被环保部门要求整改。其中,联邦制药曾九次被要求整改。原料药废水成分复杂,处理费用极高。以往药企宁愿交罚款,也不愿付出昂贵的治污成本,但是由于环保督察及处罚力度的不断加大,原料药企业必然要通过设计新的处理方案,以实现污水处理低成本且合规的目标。头孢拉定的生产需要大量用水,虽然大部分水资源可以采取回收冷却,重复利用以节约资源,然而依然有5%左右的水为工业废水(例如,化学制药废水,树脂再生水、洗涤塔、灌的水等)。这部分水生物毒性大、浓度高、含有较高盐分、排放严重超标(部分达到100倍以上)。单种操作方法如厌氧水解法,由于单种操作方法降解率低的原因,无法使出水满足污水综合排放标准。本设计采用微电解-厌氧水解-生物铁法-混凝工艺对头孢拉定的生产废水进行处理。该工艺可将废水的COD Cr 4200mg/L大幅度降低至72.2-88.8mg/L左右。该工艺出水已达到第二时段排放标准。这种由多种工艺组合的废水处理方法充分利用各环节的优点,能够对废水CODcr实现最大程度的去除。在满足废水排放规定的条件下,本文采取的该种方法成本相对较低、处理模块化、维护方便的特点。由于我国制药工业未来排放标准必然更加严格,本工艺可通过增加处理单元,可使废水CODcr符合法律法规,避免对环境造成污染以及企业面临高额罚款及停产给企业造成巨额损失。
1.2设计目的
本设计的采用合理的头孢拉定原料药制备方法,设计出完全符合GMP标准的原料药生产车间。通过对头孢类废水处理工艺的研究,本设计将头孢类废水处理新方法应用到头孢拉定原料药生产中,极大地提高了废水处理效率。本设计将理论上先进高效的废水处理工艺与实际生产相结合[6],从而设计出绿色、经济、安全的头孢拉定原料药生产车间。
1.3设计内容
本设计采用合理的制药工艺,设计出安全稳定、性能优越、绿色经济、完全依据 GMP要求的制剂车间[8]。生产车间设计中工艺设计部分需达到施工图纸设计阶段,其余部分则需达到扩大初步设计阶段。本设计通过各生产过程的衡算后,进而选择合适的生产设备及设计出合理的生产过程及厂房。 具体如下:
(1) 文字部分:
按照任务布置要求,撰写并不断修改、完善说明书。
(2) 图纸部分:
(a)车间平面布置图
(b)送风口平面图
(c)送风系统平面图
(d)工艺流程图
(e)主要设备装配图
第2章 头孢拉定生产工艺
2.1生产安排
全年总工作日:300日
日生产批数:一日三批次
一年生产批数:300*3=900批次
每天的有效生产时间为:24小时
总共满一年工作的总时间为:8*900,即7200小时
2.2生产工艺流程
本设计的头孢拉定生产工艺路线通常将7-氨基去乙酰氧基头孢烷酸(7-Aminodesacetoxycephalosporanic,7-ADCA)当作最原始的材料,将其同双氢本甘氨酸发生缩合反应(图2),最后获得所需产品,即头孢拉定原料药品。原料7-ADCA需经过硅酯化保护,才能进行缩合反应。 其保护方法主要有两种,一是7-ADCA通过硅酯化来达到保护其自身的目的。本文的硅试剂保护剂选择价格相对较低及活性合适的六甲基二硅氨(Hexamethyldisilane,HMDS)。氮气是HMDS与7-ADCA副反应的唯一产物,氮气较易除去,从而提高产品纯度。 由于HMDS的硅酯化活性较弱,因此需加入催化剂,如糖精,来提高其硅酯化活性[9]。再通过缩合、水解反应得到相应药品,即头孢拉定的粗制药品。通过一系列的硅酯化反应,产生水解现象,氮气的使用情况、催化剂的作用和数量、化学反应过程中的温度等方面进行分析和探索。可以得知,若一系列的硅酯化反应,产生水解现象,氮气的使用情况、催化剂的作用和数量、化学反应过程中的温度等方面都十分适合,
那么所获得的头孢拉定药剂的总获得率可达到86%。这种制药方法的原始资金需求较少,通过化学反应所产生的额外副产物很少,可以极大的降低原料成本。 同时结合本课题采用的头孢类高浓度废水处理方法,则可以应对日益严格的环保标准。

图2.2.1 硅酯化反应 摘自(冯胜昔 et al.2003)
具体生产工艺过程为(图2.2.1):先向釜中加入7-ADCA,再将甲苯加入到釜中。充分搅拌后,继续加入HMDS。进而升温至87~91℃,接着将糖精投入反应罐中,罐中液体马上变为橙黄色,仍然要继续将温度保持在90摄氏度,这一过程需要维持近一个小时。
图2.2.2 混合酸酐的制备 摘自(冯胜昔 et al.2003)
把二氯甲烷、双氢苯甘氨酸邓式盐放入到相应的反应罐,放入氮气后,继续将温度下
降冷却到0摄氏度,再通过把2,6-二甲基吡啶投入不锈钢釜中,持续冷却到-14℃,再将特戊酰氯投入反应釜中,将内部温度降至-11℃并保持1 小时。该过程见图2.2.2。
图2.2.3 头孢拉定制备 摘自(冯胜昔 et al.2003)
最终步骤为(图2.2.3):将所混合的酸酐温度降低到负四十摄氏度,与此同时,也要把7-ADCA硅酯的温度降低到0摄氏度,并将7-ADCA硅酯加入到酸酐溶液中,维持零下三十摄氏度到零下五十摄氏度的温度,充分反应三个半小时。再将其混合溶液放到具有高浓度的盐酸中进行水解反应,接着分离出水相,投入活性炭吸收杂质。将乙腈投入至上一步所得液体中,保持5℃,再缓慢加入25%氢氧化钠溶液调至pH=5,进而出现白色结晶,0~5℃缓慢搅动[10]。
2.3 生产工艺流程图
硅酯化反应
图2.3.1头孢拉定生产工艺流程图
2.4 物料衡算
作为所有工艺计算中最基本内容的物料衡算,可以有效保证在生产经营过程中的经济收益和增长,计算利用原材料所产生的各类消耗数量,进而确定最合理最有效的工艺方法和途径,设计工艺流程及设备。在本课题中,其主要目的是为设备选型提供数据。
2.4.1 整体物料衡算
年产计划量:500吨
年工作日:300天


