年产1000吨环丙沙星原料药的厂房设计毕业论文
2021-11-25 23:15:28
论文总字数:34494字
摘 要
环丙沙星具有很强的渗透性,血药浓度高,毒性低,不易产生耐药性,是一种被广泛使用的广谱抗菌药,本次设计以3-氯-4-氟苯胺为起始原料,先后经过重氮化反应、氯代反应、酰化反应、缩合反应,产物再经过甲酰化、胺化缩合成环,最终在DMF溶液中与哌嗪反应,是一种被广泛使用的环丙沙星合成路线。产率约为17.8%。
本次设计包括合成路线选择、物料衡算、能量衡算,设备选型,最终确定了环丙沙星原料药生产车间工艺流程的相关参数本设计改进并优化了工艺流程和相关参数,使工艺流程得到了缩减,生产成本也得到了降低,具有良好的工业应用前景和开发价值。
关键词:环丙沙星;喹诺酮类;工艺设计;合成药物
Abstract
Ciprofloxacin is a widely used broad-spectrum antimicrobial drug with strong permeability, high blood concentration, low toxicity, and no resistance. This design uses 3-chloro-4-fluoroaniline as the starting material, and then undergoes diazotization, chlorination, acylation and condensation reactions. The product is then formylated and aminated to synthesize a ring, and finally reacts with piperazine in DMF solution.It is a widely used synthetic route for ciprofloxacin.The yield was about 17.8%.
This design includes synthetic route selection, material balance, energy balance, equipment selection, and finally determines the relevant parameters of the process flow in the production workshop of ciprofloxacin API. This design improves and optimizes the process flow and related parameters, which reduces the process flow, reduces the production cost, and has a good industrial application prospect and development value.
key Words:Ciprofloxacin; quinolones; Drug synthesis; Process design
目 录
第1章 绪论 1
第2章 设计依据与设计基础 1
2.1 环丙沙星技术资料 2
2.2 环丙沙星的药理性质及临床用途 2
2.3 设计目的 3
第3章 合成路线概述 4
3.1 环丙沙星的合成工艺现状及选择 4
3.2 主要仪器及试剂 5
3.3 环丙沙星合成工艺原理 6
3.4 环丙沙星合成路线图 7
3.5 环丙沙星工艺流程框图 8
第4章 物料衡算 10
4.1 物料衡算计算过程 10
4.2 物料衡算表 13
4.3 原辅料消耗表 15
4.4 排放物综合表 15
第5章 能量衡算 16
5.1 液体比热容计算 16
5.2 固体比热容计算 18
5.3 热量衡算计算过程 19
第6章 主要设备选型 28
6.1 满足工艺要求 28
6.2 满足GMP要求 28
6.3 满足设备结构上的要求 28
6.4 满足经济技术指标 29
6.5 设备选型相关计算过程 38
6.6 主要设备一览表 39
第7章 综合利用与三废处理 40
7.1 废气 40
7.2 废水 40
7.1 废渣 40
第8章 厂房设计 41
8.1 洁净区划分和空气洁净度等级说明 41
8.2 车间人流物流设施说明 41
8.1 车间布置说明 42
第9章 设计总结 43
致谢 44
参考文献 45
第1章:绪论
环丙沙星属第三代喹诺酮类抗菌药。由德国拜耳医药研发,于1987年在美国、德国和智利上市。迄今为止仍是世界上最被广泛使用的氟代喹诺酮抗生素。环丙沙星具有抗菌谱广、疗效高、毒副作用小、价格便宜、服用方便的优点。环丙沙星上市虽有33年,但其市场容量仍然巨大,在国际市场竞争特别激烈, 其销售量在抗菌类药物中居首位, 并且利润增长速度也占抗菌药物之首。
虽然近来我国环丙沙星的生产和出口形势较好,但是也有不少问题值得产业重视。虽然我国持有环丙沙星生产许可证的企业有几十家,且浙江京新药业等一些企业已开始申请美国或欧盟的认证,但迄今为止,绝大多数企业依然没有通过。这样的结果导致我国生产的环丙沙星只能靠低价出口到印度、东南亚等低端市场。这对我国环丙沙星产品打入高端国际医药市场带来了重重困难,产品升级迟迟难以实现。因此,研究环丙沙星的合成工艺,找出优异,有效的,并且能够适合我国工业生产的新方法, 加速此药的发展,有着很大的意义。
第2章:设计依据及设计基础
2.1环丙沙星技术资料

图1.1 环丙沙星结构图
中文名称:环丙沙星
中文别名:环丙氟哌酸 | 1-环丙烷基-6-氟-1,4-二氢-4-氧代-7-(1-哌嗪基)-3-喹啉羧酸 | 西普乐 | 1-环丙基-6-氟-1,4-二氢-4-氧代-7(1-哌嗪基)-3-喹啉羧酸 | 香草酰二乙胺
英文名称:Ciprofloxacin
英文别名:CPFX | ciproiv | CIPROBAY | euciprin | Cipro | Ciprine | ciloxan |Ciprofloxacin | Cipmbay | ciprobid | Baycip | MFCD00185755
CAS号:85721-33-1
分子式:C17H18FN3O3
分子量:331.341
精确质量:331.133209
PSA: 74.57000
LogP: 0.65
外观与性状:白色粉末
密度:1.5±0.1 g/cm3
熔点:255-257°C
沸点:581.8±50.0 °C at 760 mmHg
闪点:305.6±30.1 °C
折射率:1.655
储存条件:闭光,密封,干燥处保存
2.2环丙沙星的药理作用及临床用途
2.2.1环丙沙星的药理作用
环丙沙星属氟喹诺酮类,抗菌谱同诺氟沙星,其抗菌活性是目前广泛应用的氟喹诺酮类中最强者。除对革兰阴性杆菌有高度抗菌活性外,尚对葡萄球菌属具有良好抗菌作用,对肺炎球菌、链球菌属的作用略差于葡萄球菌属。该品对部分分枝杆菌、沙眼衣原体、溶脲脲原体、人型支原体等亦具抑制作用。该药的作用机制及细菌耐药情况参见诺氟沙星,为杀菌剂,现一般认为喹诺酮类作用于细菌细胞DNA螺旋酶的A亚单位,抑制DNA的合成和复制而导致细菌死亡[1]
2.2.2环丙沙星的临床用途
环丙沙星的临床用途较诺氟沙星为广,除尿路感染、肠道感染、淋病等外,尚可用以治疗由流感杆菌、大肠杆菌、肺炎杆菌、奇异变形杆菌、普通变形杆菌、普罗菲登菌、摩根杆菌、绿脓杆菌、阴沟肠杆菌、弗劳地枸橼杆菌、葡萄球菌属(包括耐甲氧西林株)等引起的骨和关节感染、皮肤软组织感染和肺炎、败血症等。该品口服制剂的适应同诺氟沙星;静脉给药可用于较重感染的治疗,如肠杆菌科细菌败血症、肺部感染、腹腔、胆道感染等。
2.3设计目的
近年来,随着人们对环丙沙星的生产工艺进行了优化,为了在激烈的市场竞争中生存下来,必须要不断地尝试使用新技术,努力提高产率,同时也要更加重视环保问题,在设计厂房时要切实解决好三废的处理工作。在本次设计中通过查找环丙沙星新的合成方法,对现有的环丙沙星合成路线进行优化,以达到提高产量,减少成本,降低污染的目的。
第3章:合成路线概述
3.1环丙沙星的合成工艺现状及选择
环丙沙星已报道的合成路线有很多,通过查询相关资料,我找到了两种常见的合成路线:
第一类合成路线:以 2,4-二氯甲苯为起始原料,依次经过硝化反应、还原反应、氟化反应、氯化反应、水解反应和酰氯化反应后制得2,4-二氯-5-氟苯甲酰氯,再紧接着与丙酸三乙酯,对甲苯磺酸,原甲酸三乙酯,环丙胺反应后,然后环合得到喹啉环,最后经水解后,引入哌嗪基,得到最终产品环丙沙星[2]。以下是化学反应方程式:

图3.1 环丙沙星合成路线(1)
这种方法被广泛采用,较为成熟,但是路线长,而且原料来源不易得到。过长的工艺流程会增加成本,并且会产生更多的副产物,对车间的三废处理也会造成很大的影响[3]。
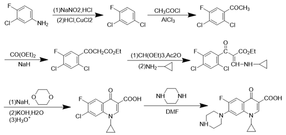
第二类合成路线:以4-氯-3-氟苯胺作为起始原料, 然后与亚硝酸钠(NaNO₂)发生重氮化反应,氯代后得到2,4-二氯氟苯,然后再通过与乙酰氯发生酰化反应, 经过与碳酸二乙酯缩合, 制得2,4-二氯-5-氟苯甲酰乙酸乙酯, 上述产物再经过甲酰化、 胺化, 缩合成环得到1-环丙基-7-氯-6-氟-1,4-二氢-4-氧代喹啉-3-羧酸, 最后在DMF溶液中与哌嗪反应,经过胺化制得环丙沙星[4],以下是化学反应方程式:
嗪反应, 经过胺化制得环丙沙星,以下是化学反应方程式:

图3.2 环丙沙星合成路线(2)
科学技术日新月异,发展迅速,让人目不暇接,新的工艺技术也在不停的取代旧的工艺技术,所以建设项目固然也不能采用那些跟不上时代的工艺技术。在一种产品有着多种不一样的工艺路线时,我们应该从工业化生产的可实施性、 可靠性以及先进性等方面, 对每一条工艺路线进行全局、深入的分析和研究,并且对于工艺路线中所涉及的主要装置和特殊的工艺条件或参数要特别注意,从而能够选择一条最合适的工艺路线。
虽然第二条路线工艺比较成熟,但是它的反应步骤较长,特别在同时,过长的工艺流程会增加成本,并且会产生更多的副产物,对车间的三废处理也会造成很大的影响[6],近年来,在国外生产技术已经取得了很大的进步, 合成过程的每一步也取得了很好的进展。为了在激烈的市场竞争中继续生存下来,各生产厂家都在不断地尝试使用新技术,努力提高产率, 效率和转化率。因此综合考虑下来,我决定用第一条合成路线来进行工艺流程的设计。
3.2主要仪器及试剂
请支付后下载全文,论文总字数:34494字


