高对称性氨基苯氧均三嗪合成研究毕业论文
2020-04-15 18:04:59
摘 要
本论文综述了含均三嗪环的树状大分子的合成方法与其性质,并具体地对三间氨基苯氧基均三嗪化合物进行设计合成、分离、提纯、表征。首先,自制2,4,6-三(3-硝基苯氧基)-1,3,5-均三嗪,然后进行还原反应合成2,4,6-三(3-氨基苯氧基)-1,3,5-均三嗪。可选方法主要有以下几种:氯化亚锡还原法、铁粉-氯化铵还原法、Pd/C水合肼还原法、Pd/C催化加氢还原法。
本论文研究的2,4,6-三(3-氨基苯氧基)-1,3,5-均三嗪是由2,4,6-三(3-硝基苯氧基)-1,3,5-均三嗪在铁粉、氯化铵作用下还原生成的。另外,本论文还对其反应条件进行了单因素研究,得到了各个因素的优化值,进而,将优化值进行正交优化实验,分析得到最优条件为铁粉48.72mmol、氯化铵64.96mmol、温度80℃、反应时间3h,产率达到60.9%。
关键词:均三嗪 铁铵还原 工艺优化
Study on synthesis of tri-aminophenoxy triazine
Abstract
In this paper, the synthesis methods and properties of dendrimers containing triazine ring are reviewed, and the synthesis, separation, purification and characterization of triazine compounds are designed. First, 2,4,6-3 (3-nitrobenzooxy) -1,3,5-isotrigines were prepared. And then the reaction was further reduced to 2,4,6-3 (3-aminophenoxy) -1,3,5-triazine. There are three methods of reduction, including the reduction of hydrochloric acid, ferric powder ammonium chloride reduction, Pd/C hydrazine hydrate, and Pd/C catalytic hydrogenation.
The 2,4,6-3 (3-aminophenoxy) -1,3,5-triazine is made by 2,4,6-3 (3-nitrophenoxy) -1,3,5-triazine by Ammonium iron reduction, and the reaction conditions were studied by single factor, obtained the optimal value of each factors. In turn, orthogonal optimization experiment was carried out. the optimal value analysis to get the optimal factors for iron powder 48.72mmol, ammonium chloride 64.96mmol, temperature 80℃, reaction time 3h, and the yield reached 60.9%
Keywords: S-triazine; Ammonium iron reduction; Process optimization
目录
摘要 I
Abstract II
第一章 文 献 综 述 1
1.1树状大分子 1
1.1.1树状大分子概述 1
1.1.2树状大分子的发展过程 1
1.1.3树状大分子的结构特征 2
1.1.4树状大分子的合成方法 2
1.1.5树状大分子的结构表征 4
1.2含均三嗪环的树状大分子 4
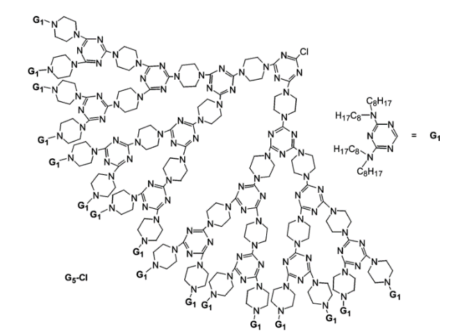
1.2.1均三嗪环树状大分子概述 4
1.2.2含均三嗪环树状大分子的合成 5
1.2.3含均三嗪环树状大分子的研究现状 5
1.3三聚氯氰在制备三嗪衍生物上的应用 8
1.3.1三聚氯氰的结构特点 8
1.3.2三聚氯氰用于树枝状化合物的合成 8
1.3.3三聚氯氰用于合成光学材料 9
1.4三氨基苯氧基均三嗪的合成 10
1.4.1三硝基苯氧基均三嗪的合成 10
1.4.2三氨基苯氧基均三嗪的合成 11
1.5本文研究的内容及目的 12
第二章 实验部分 13
2.1实验准备 13
2.1.1 实验试剂 13
2.1.2 实验仪器 13
2.2三间氨基苯氧基均三嗪的合成步骤 14
2.3单因素实验 14
2.3.1反应配比对收率的影响 14
2.3.2反应温度对收率的影响 14
2.3.3反应时间对收率的影响 15
2.4正交试验 15
第三章 结果与讨论 16
3.1 2,4,6-三(3-氨基苯氧基)-1,3,5-均三嗪的结构表征 16
3.1.1红外光谱分析 16
3.1.2氢核磁共振分析 16
3.2工艺优化 17
3.2.1单因素实验 17
3.2.2正交试验 21
第四章 结论与展望 23
4.1结论 23
4.2展望 24
参考文献 25
致谢 28
第一章 文 献 综 述
1.1树状大分子
1.1.1树状大分子的概述
树状大分子(Dendrimers)是指大分子从核内的分子出发,不断地向两端生长,当核心的分枝生长到一定的长度后,它会分成两个分支,然后继续密集地反复生长,最后变成类似于球状灌木的形态(如图1-1),它是一种高度支化、对称的径向功能聚合物,也被称为树枝状接枝大分子或超支化聚合物[1]。
它具有高度支化结构和独特的单分散性,具有诸如结构规整、分子量可以控制、有大量的表面官能团、高度的对称性、分子内部存在可调节空腔等多种性质与功能,被广泛应用于主客体化学、催化剂、金属纳米材料、纳米复合材料、膜材料、表面活性剂、医药等研究领域[2]。

图1-1 树状大分子结构
1.1.2树状大分子的发展
1985年,美国陶氏化学公司的Tomalia博士领导的科研小组在Polym J上发表了研究论文,报道他们合成的新型树突状大分子化合物:聚酰胺-胺树枝状分子[3]。
到了90年代,Cornell大学的J.M.J.Frechet实验室采取了一种新的合成方法合成了许多含有聚芳醚或聚芳酯结构的树状大分子 [4]。
1992年Serroni首次合成含过渡金属的树状大分子,这种树状大分子含有22个钌原子,表面结构为2,2-双吡啶[5]。
以上是毕业论文大纲或资料介绍,该课题完整毕业论文、开题报告、任务书、程序设计、图纸设计等资料请添加微信获取,微信号:bysjorg。
相关图片展示:








        
            
