表面活性离子液体的合成及与阴离子染料相互作用研究毕业论文
2020-04-15 00:17:46
摘 要
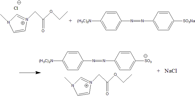
甲基橙,即对二甲基氨基偶氮苯磺酸钠,是一种结构复杂的偶氮类有机物,作为着色剂被广泛应用于印染、纺织及材料行业中。本实验合成了表面活性离子液体,探索了表面活性离子液体的水溶液的表面参数,并将合成的表面活性离子液体和甲基橙以离子交换的形式进行了反应,以探讨离子液体作为废水处理代替方案的可行性。本论文以1-甲基咪唑、1-丁基咪唑、氯乙酸酯、正癸烷硫酸钠、十二烷基硫酸钠等为原料,合成系列SAILs,即[EtMIM][C10H21SO4]、[EtMIM][C12H25SO4]、[BtMIM][C10H21SO4]和[BtMIM][C12H25SO4]。通过1HNMR验证[EtMIM][C10H21SO4]、[EtMIM][C12H25SO4]结构的准确性。再利用表面张力仪、电导率仪测量[EtMIM][C10H21SO4]和[EtMIM][C12H25SO4]的表面性能。最终表面张力测定拟合计算[EtMIM][C10H21SO4]和[EtMIM][C12H25SO4]的CMC值分别为2.11mmol/L和1.01mmol/L。而使用电导率仪测定这两种ILs的CMC分别为2.91mmol/L和3.62mmol/L。然后使用ILs(如[BtMIM]Cl)和甲基橙反应,合成出[BtMIM]-MO。
关键词:表面活性离子液体 表面张力 电导率 临界胶束浓度CMC
Study of the Synthesis of Surface-active Ionic Liquids and the Interaction with Anionic Dye
Abstract
Methyl orange, sodium p-dimethylaminoazobenzene sulfonate, is a complex azo organic substance widely used as a coloring agent in the printing, dyeing, textile and materials industries. In this experiment, surface active ionic liquids were synthesized, the surface parameters of aqueous solutions of surface active ionic liquids were explored, and the synthesized surface active ionic liquid and methyl orange were reacted in the form of ion exchange to investigate the replacement of ionic liquids as wastewater treatment. The feasibility of the program. In this paper, 1-methylimidazole, 1-butylimidazole, chloroacetate, sodium n-decyl sulfate, sodium lauryl sulfate, etc. were used as raw materials to synthesize a series of SAILs, namely [EtMIM][C10H21SO4], [EtMIM][C12H25SO4], [BtMIM][C10H21SO4] and [BtMIM][C12H25SO4]. The accuracy of [EtMIM][C10H21SO4], [EtMIM][C12H25SO4] structure was verified by 1H NMR. The surface properties of [EtMIM][C10H21SO4] and [EtMIM][C12H25SO4] were measured by 表面张力 meter and 电导率 meter. The final 表面张力 measurement fit calculations [EtMIM][C10H21SO4] and [EtMIM][C12H25SO4] have CMC values of 2.11 mmol/L and 1.01 mmol/L. The CMC of the two ILs was determined to be 2.91 mmol/L and 3.62 mmol/L, respectively, using a 电导率 meter. Then, using ILs (such as [BtMIM]Cl) and methyl orange reaction, an attempt was made to synthesize [BtMIM]-MO.
Keywords: surface-active ionic liquid;表面张力;电导率;critical micelle concentration CMC
目 录
第1章 绪论 1
1.1 引言 1
1.2 ILs 1
1.2.1 ILs的定义及分类 1
1.2.2 ILs的合成 2
1.3 表面活性离子液体(SAILs) 3
1.3.1 SAILs的概念 3
1.3.2 SAILs的分类及合成 3
1.4 ILs与染料的相互作用 3
1.4.1 与分散染料的作用 3
1.4.2 与有机染料的作用 3
1.4.3 与其他类染料的作用 4
1.5 本论文思路 4
第2章 实验 7
2.1 药品和仪器 7
2.1.1 实验药品 7
2.1.2 实验仪器 7
2.2 离子液体的合成 8
2.2.1 [EtMIM]Cl的合成 8
2.2.2 [BtMIM]Cl的合成 9
2.3 表面活性离子液体的合成 9
2.3.1 [EtMIM][C10H21SO4]的合成 9
2.3.2 [EtMIM][C12H25SO4]的合成 10
2.3.3 [BtMIM][C10H21SO4]的合成 11
2.3.4 [BtMIM][C12H25SO4]的合成 12
2.4 离子液体和阴离子染料的合成 13
2.5 实验方法 13
2.5.1 溶液配制 13
2.5.2 核磁共振氢谱 14
2.5.3 表面张力 14
2.5.4 电导率 14
第3章 实验结果和分析 15
3.1 离子液体的合成 15
3.1.1 [EtMIM]Cl的合成结果 15
3.1.2 [BtMIM]Cl的合成结果 15
3.2 表面活性离子液体的合成 16
3.2.1 [EtMIM][C10H21SO4]的合成 16
3.2.2 [EtMIM][C12H25SO4]的合成 18
3.3 表面活性离子液体与阴离子染料的合成 19
3.4 核磁共振氢谱 20
3.4.1 [EtMIM][C10H21SO4] 20
3.4.2 [EtMIM][C12H25SO4] 21
以上是毕业论文大纲或资料介绍,该课题完整毕业论文、开题报告、任务书、程序设计、图纸设计等资料请添加微信获取,微信号:bysjorg。
相关图片展示:








        
            
