香紫苏醇新型分离体系及性能研究毕业论文
2020-04-15 00:16:46
摘 要
香紫苏醇作为一种天然二萜类化合物,无论在日化用品,食品,烟用品,还是在合成香精香料,精油等领域都有着无可替代的作用。表面活性离子液体对二萜类化合物有较好的物化性能。本实验以1-甲基咪唑,1-丁基咪唑分别和氯乙酸乙酯合成离子液体[EtMIM]Cl和 [BtMIM]Cl,然后分别与十二烷基苯磺酸钠以及二辛基琥珀磺酸钠合成表面活性离子液体[EtMIM]SDBS,[BtMIM]SDBS,[EtMIM][C20H37SO7],[BtMIM][C20H37SO7]。通过核磁氢谱仪确定两种表面活性离子液体[BtMIM]SDBS,[EtMIM][C20H37SO7]的结构,再利用表面张力仪测得[EtMIM][C20H37SO7]的临界胶束浓度CMC值为1.62mmol/L,使用电导率仪测定[EtMIM][C20H37SO7]的临界胶束浓度CMC值为2.61mmol/L。以溶解香紫苏醇的乙酸乙酯作为油相和[EtMIM][C20H37SO7]水溶液构建微乳液。
关键词:表面活性离子液体 表面张力 电导率 临界胶束浓度CMC
Study on new separation system and properties of Perilla alcohol
Abstract
As a natural diterpenoid, Perilla alcohol plays an irreplaceable role in the fields of daily chemicals, food, tobacco products, as well as in the fields of synthetic essences, fragrances and essential oils. The surface active ionic liquid has better physicochemical properties for diterpenoids. In this experiment, 1-methyl imidazole, 1-butyl imidazole and ethyl chloroacetate were used to synthesize the ionic liquid [EtMIM]Cl and [BtMIM]Cl respectively, and then the surface-active ionic liquid [EtMIM]SDBS, [BtMIM]SDBS, [EtMIM][C20H37SO7], [BtMIM][C20H37SO7] were synthesized with sodium dodecyl benzene sulfonate and sodium dioctyl succinylsulfonate respectively. The structures of two surface-active ionic liquids [BtMIM]SDBS and [EtMIM][C20H37SO7] were determined by NMR hydrogen spectrometer. The critical micellar concentration CMC value of [EtMIM][C20H37SO7] was measured by surface tensiometer at 1.62mmol/L, and the critical micellar concentration CMC value of [EtMIM][C20H37SO7] was determined by conductivity meter at 2.61mmol/L. The microemulsion was constructed by using ethyl acetate as the oil phase and [EtMIM][C20H37SO7] aqueous solution.
Keywords: surface-active ionic liquid;surface tension;conductivity;critical micelle concentration CMC
目 录
第一章 前言 1
1.1 选题背景 1
1.1.1 香紫苏醇分离纯化的研究 1
1.1.2 香紫苏醇的分离纯化 2
1.1.3 离子液体(ILs) 3
1.2 表面活性离子液体(SAILs) 4
1.2.1 SAILs概述 4
1.2.2 表面活性离子液体的合成 4
1.3 本文思路 5
第二章 实验 7
2.1 药品和仪器 7
2.1.1 实验药品 7
2.1.2 实验仪器 7
2.2 ILs的合成 8
2.2.1 不同原料百分比对产物产率的影响 8
2.2.2 不同温度对产物产率的影响 8
2.2.3 不同反应时间对产率的影响 9
2.3 SAILs的合成 9
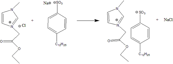
2.3.1 EtMIMSDBS的合成 9
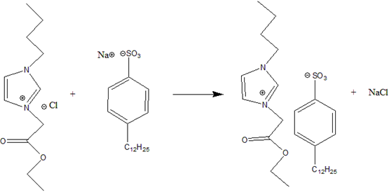
2.3.2 [BtMIM]SDBS的合成 10
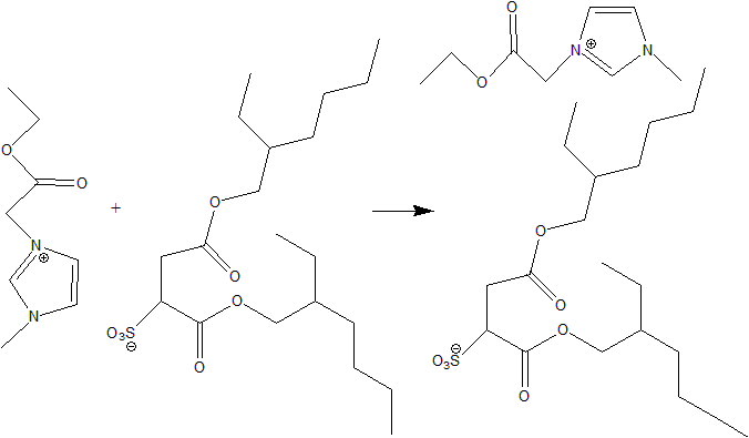
2.3.3 [EtMIM][C20H37SO7]的合成 11
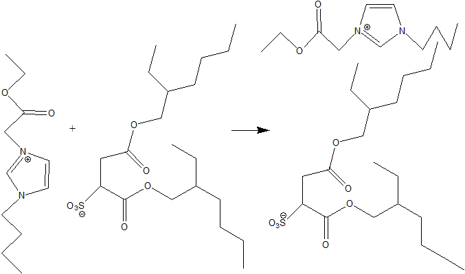
2.3.4 [BtMIM][C20H37SO7]的合成 12
2.4 微乳液的构建 13
2.4.1 不同原料比例对微乳液构建的影响 13
2.5 实验方法 13
2.5.1 核磁共振氢谱 13
2.5.2 表面张力法 13
2.5.3 电导率 14
第三章 实验结果与分析 15
3.1 离子液体的合成 15
3.1.1 [EtMIM]Cl的合成 15
3.1.2 [BtMIM]Cl的合成 16
3.2 表面活性离子液体的合成 17
3.2.1 [EtMIM]SDBS的合成 17
3.2.2 [BtMIM]SDBS的合成 18
3.2.3 [EtMIM][C20H37SO7]的合成 19
3.2.4 不同反应时间对产物产率的影响 19
3.2.5 [BtMIM][C20H37SO7]的合成 19
3.3 核磁共振氢谱 21
3.3.1 [BtMIM]SDBS 21
3.3.2 [Etmim][C20H37SO7] 22
3.4 [EtMIM][C20H37SO7]的表面张力 23
3.5 电导率 24
3.6 微乳液的构建 26
3.6.1 不同原料比例对微乳液构建的影响 26
第四章 总结与展望 27
4.1 总结 27
4.2 展望 27
参考文献 28
致谢 30
前言
选题背景
香紫苏,又称南欧丹,原产于欧洲南部和中东,于1970年左右被引入中国培养。香紫苏在医药方面有巨大作用,有清热解毒的功效。香紫苏也可以用来制取香紫苏精油、香紫苏醇(Sclareol)、香紫苏内酯等产品。
香紫苏精油中有许多化学物质,有乙酸芳樟酯、芳樟醇(沉香醇)、 Sclareol、月桂烯等物质,是一种重要的香精香料。香紫苏精油中的沉香醇对细菌有着抵抗作用;Sclareol具有抗菌、杀菌活抗菌、消炎等作用,也可用于合成具有龙涎香-琥珀香的原料;香紫苏内酯同样也是非常好的天然香料,也可以用于食品工业,可作为调味剂,提高食品的味觉,如可以在咖啡中使用。因此香紫苏的价值大大提高,种植、开发前景广阔,在中国江苏、江西、安徽、湖北、云南、广东、四川等省均有培植。
离子液体(Ionic Liquids, ILs)是一类极具应用广泛前景,被认为是绿色溶剂的理想选择。离子液体已经在许多反应中起到了重大作用,并且拥有合成产率高、转化速率快、催化剂可以循环使用多次使用等独到之处。此外ILs在溶剂萃取、溶质的分离和提纯方面也显示出十分美好的应用前景。
表面活性离子液体(Surface active ionic liquids,缩写为SAILs),同时具有ILs和表面活性剂的特点,是近年发展起来的一类新型功能化离子液体,将SAILs应用于香紫苏醇的萃取溶解或许具有更好的溶解效能。
香紫苏醇分离纯化的研究
香紫苏醇概念
香紫苏醇 (sclareol),又可以称之为硬尾醇, 是一种白色结晶性粉末,具有龙涎香一般的气味,它有着细微的琥珀香气,它的香气活泼、扩散范围较大且气味长久,能使需要合成的香料具有长期且细致的香味。Sclareol来源于香紫苏的花序和烟草的叶片。它主要可以作为龙涎香类似物合成以及香料配制的原料。Sclareol的化学分子式是 C20H36O2,它的结构式如图 1‑1所示[1]。
以上是毕业论文大纲或资料介绍,该课题完整毕业论文、开题报告、任务书、程序设计、图纸设计等资料请添加微信获取,微信号:bysjorg。
相关图片展示:








        
            
