密胺树脂的改性研究毕业论文
2020-07-01 20:50:20
摘 要
密胺树脂在日常生活中应用广泛,因其具有优良的阻燃、隔热、热稳定性、同时也具有无污染、低成本、等优点。但密胺树脂是一种三维立体的网络结构,这种结构使得密胺树脂在实际应用过程中会暴露出很多缺点。例如:密胺树脂的柔韧性能差,游离甲醛含量高,贮存周期短等。因此,为了改进密胺树脂的各项性能指标,需要研究其合成工艺并做出相关改性。
本文采用长碳链烷基改性三聚氰胺,并作为聚合组分之一,用于制备密胺树脂,以提高其粘度、韧性、和分散性能。首先将三聚氯氰、多元醇与氨水进行反应,得出产物为长碳链三聚氰胺衍生物(中间体M),然后将中间体加入到甲醛、三聚氰胺中进行反应制备出改性后的密胺树脂。主要探讨了长碳链三聚氰胺衍生物(中间体M)的百分比含量(1%~5%)不同,对改性后密胺树脂性能的影响规律。以及确定出密胺树脂的最佳原料配比。
实验表明:当中间体占原材料3%时,树脂的拉伸强度以及断裂伸长率为最大值,此时的柔韧性最佳;在中间体的百分比含量为5%,n(F)/n(M)为2.8时,树脂的粘度最佳;当中间体的含量为4%和5%时,树脂的分散性能最好;当中间体的百分比含量为5%时,由正十六醇改性后的树脂粘度最佳。
关键词:密胺树脂;长碳链三聚氰胺;改性
Study on the Modification of Melamine Resin
Abstract
Melamine resin is widely used in daily life, and melamine resin has excellent flame retardant, heat insulation, thermal stability, and also has the advantages of no pollution, low cost, and so on. But melamine resin is a three-dimensional network structure, which makes melamine resin expose many shortcomings in the actual application process.For example: melamine resins have poor flexibility, high levels of free formaldehyde, and short storage cycles.Therefore, in order to improve various performance indexes of melamine resin, it is necessary to study its synthesis process and make relevant modifications.
This article uses long carbon chain alkyl modified melamine, and as one of the polymerization components, used to prepare melamine resin to improve its viscosity, toughness, and dispersion properties.Firstly, cyanuric chloride, polyhydric alcohol and ammonia were reacted to obtain a long carbon chain melamine derivative (intermediate). The intermediate was then added to formaldehyde and melamine to react and prepare a modified melamine resin.The influence of the percentage of the long carbon chain melamine derivative (intermediate M) (1% to 5%) on the properties of the modified melamine resin was discussed. And determine the best raw material ratio of melamine resin.
The experimental results show that the tensile strength and elongation at break are the maximum when the middle body occupies 3% of the raw material, and the flexibility is the best at this time.When the content of the intermediate is 5% and n(F)/n(M) is 2.8, the viscosity of the resin is the best.When the percentage content of the intermediate is 4% and 5%, the dispersion of the resin is best.When the percentage of the intermediate body is 5%, the viscosity of the resin modified by positive sixteen alcohol is the best.
Key words:Melamine resin;Long carbon chain melamine;modified
目录
摘要 I
Abstract II
目录 III
第一章 文献综述 1
1.1前言 1
1.2密胺树脂的主要性质 1
1.2.1物理性质 1
1.2.2化学性质 1
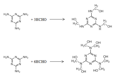
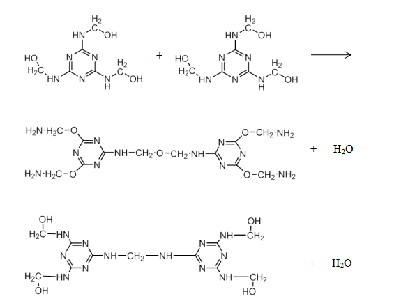
1.3密胺树脂的合成原理 2
1.4应用研究 4
1.4.1在粘胶剂中应用 4
1.4.2在涂料中应用 4
1.4.3在皮革工业中应用 4
1.4.4在其它领域应用 5
1.5合成过程中的常见问题 5
1.5.1糊化现象 5
1.5.2树脂稳定性差 5
1.5.3游离甲醛含量高 5
1.6密胺树脂的改性 6
1.6.1增韧改性 6
1.6.2贮存稳定性改性 7
1.6.3低游离甲醛树脂 7
1.6.4提高固含量 8
第二章 实验部分 9
2.1实验药品 9
2.2实验仪器 9
2.3实验方法 10
2.3.1密胺树脂合成原理 10
2.3.2改性后密胺树脂的合成原理 11
2.4改性树脂性能测定方法 13
2.4.1树脂的韧性测定 13
2.4.2树脂粘度测定 14
2.4.3树脂分散性能测定 14
第三章 结果与讨论 15
3.1中间体的百分比对密胺树脂韧性的影响 15
3.2中间体的百分比对密胺树脂粘度的影响 16
3.3n(F)与n(M)的摩尔比对树脂粘度的影响 16
3.4中间体的百分比对密胺树脂分散性能影响 17
3.5长碳链烷基对密胺树脂粘度的影响 18
第四章 结论与展望 20
4.1结论 20
4.2展望 20
参考文献 21
致谢 23
第一章 文献综述
1.1前言
在上个世纪八十年代石油危机冲击的背景之下,现如今的涂料、黏胶等化工行业正走在转型、升级、换代的道路上。化工行业逐渐向节能、减排、绿能、环保以及能提高经济效益的方向发展。蜜胺树脂是通过将三聚氰胺与甲醛这两种物质进行反应而制得的。密胺树脂的应用范围特别广,在生活和工业上可用作模塑料(日用餐具)、压层以及光电质料等方面进行研究发展;还可作为表面活性剂应用到生活日用品中如:织物整理剂、木材粘合剂、油漆交联剂、皮革复鞣剂、造纸湿增强剂、水泥减水剂、涂料等[1]。蜜胺树脂不仅具有优良的耐高温性能和阻燃性能,同时也具有成本低、无污染、原料来源广泛的优势,可广泛地应用到我们的日常生活用品当中。但就目前而言蜜胺树脂还存在着许多的不足,如:树脂的弹性较差、贮存周期短、固含量低、不参与合成反应甲醛的量偏多、不耐老化等[2],以上问题局限了其在某些领域的应用。相比于国外对于此类树脂的研究已走在世界最前端,我国在此方面的发展与国外还存在着一定差距。因此,对蜜胺树脂的合成进行研究、改性对提高蜜胺树脂的性能、改善其工艺水平、克服其性能的不足、扩大其在某一领域的应用都有着及其重大的意义。
1.2密胺树脂的主要性质
相关图片展示:









