超支化聚合物HBP接枝壳聚糖微球的制备及酸性品红吸附性能研究毕业论文
2020-06-20 19:13:21
摘 要
壳聚糖在自然界中含量丰富且具有毒性低、抗菌能力好和生物相容性优等特性,可广泛应用于废水处理、化妆品制作、生物医学等领域。若将壳聚糖直接用作吸附使用,存在吸附容量不高、吸附速度较慢、吸附量达到饱和状态后不可再生等问题。超支化聚合物本身是十分独特的准球形分子还拥有丰富的端基结构,能表现出溶解度高、粘度低、反应活性高等重要特征。
本课题依托超支化聚合物丰富的端氨基与壳聚糖分子结构中强反应性的氨基和羟基,采用丁二酸酐作为交联剂,将超支化聚合物交联至壳聚糖结构中,制备具有特定结构的超支化接枝壳聚糖微球,并以酸性品红模拟常规染料,将超支化接枝壳聚糖微球应用于酸性品红的吸附处理,确定酸性品红的吸附性能,并研究超支化接枝壳聚糖吸附剂对酸性品红的吸附机理。得到以下结论:
- HBP-Chitosan基本符合准一级动力学模型以及Langmuir 等温吸附式,对于酸性品红染料试剂吸附能达到80%以上,吸附性能良好
- HBP-Chitosan对于酸性品红试剂吸附,试剂浓度与吸附效果成反相关,吸附剂的量与吸附效果成正相关,且在pH约为3的时候,吸附效果最佳。
关键字:壳聚糖 超支化聚合物 吸附 酸性品红
Preparation of Hyperbranched Polymer HBP Grafted Chitosan Microspheres and Adsorption Performance of Acid Fuchsin
Abstract
Chitosan is widely spreaded in nature and has high antibacterial activity, biocompatibility,low toxicity and other important features, which is widely used in wastewater treatment, cosmetics making, biomedical and other fields. If it is directly used as adsorbent material, there are problems such as low adsorption capacity, slow adsorption and desorption rate, no adsorption of adsorbent material after regeneration, and repeated use.
The project relies on the end of the amino hyperbranched polymer rich in amino groups, based on the strong structure of chitosan amino and hydroxyl groups, the use of Succinic anhydride will hyperbranched polymerization Cross-linked chitosan microspheres with specific structure, and the superfine grafted chitosan microspheres were applied to acid magenta Adsorption mechanism to determine the adsorption properties of acid magenta, and to study the hyperbranched grafted chitosan adsorbent on acid magenta adsorption mechanism. The following conclusions are drawn:
1. HBP-Chitosan is basically in accordance with quasi-first-order kinetics model and Langmuir isothermal adsorption. Adsorption of acid magenta dye reagent can reach more than 80%, good adsorption performance
2. HBP-Chitosan Adsorption of acid magenta reagent, the reagent concentration is inversely related to the adsorption effect. The amount of adsorbent is positively correlated with the adsorption effect, and the adsorption effect is the best when the pH is about 3.
Keywords: chitosan hyperbranched polymer adsorption acid fuchsin
目录
摘 要 I
Abstract II
第一章 文献综述 1
1.1超支化聚合物 1
1.1.1超支化聚合物的结构 1
1.1.2超支化聚合物的制备 1
1.1.3超支化聚合物的应用 2
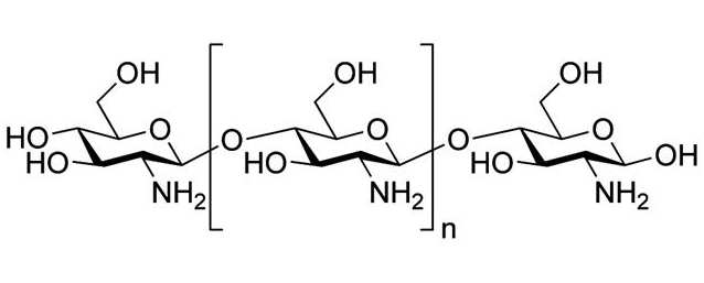
1.2 壳聚糖 3
1.2.1壳聚糖的结构与来源 3
1.2.2壳聚糖的应用 3
1.3 壳聚糖对染料的吸附处理 4
1.4改性壳聚糖染料吸附研究 5
1.5 本论文思路 8
1.5.1 端氨基超支化聚合物的合成 8
1.5.2 接枝壳聚糖聚合物HBP-g-Ch的制备 9
1.5.3 吸附实验 10
第二章 实验部分 11
2.1化学试剂和仪器 11
2.2超支化聚合物HBP的合成 11
2.2.1 四元羧酸酯的合成 12
2.2.2 超支化聚合物的合成 12
2.3超支化聚合物HBP接枝壳聚糖微球的制备 13
2.4酸性品红试剂吸附实验 13
2.4.1酸性品红试剂标准曲线 13
2.4.2吸附动力学实验 14
2.4.3等温吸附实验 14
2.4.4 pH对酸性品红试剂的吸附的影响 14
第三章 结果与讨论 15
3.1 HBP-g-Chitosan的合成 15
3.2 HBP-Chitosan吸附性能的研究 16
3.2.1 吸附标准曲线 16
3.2.2吸附动力学实验 17
3.2.3等温吸附实验 18
3.2.4 pH对吸附的影响 19
3.2.5 实验结论 21
3.3吸附热力学 21
3.4吸附动力学 22
3.5本章小结 25
第四章 结论与展望 26
4.1结论 26
4.2展望 26
参考文献 27
致谢 29
第一章 文献综述
1.1超支化聚合物
超支化聚合物(HBP)是一种新型的含有末端高度支化结构的类球形大分子高聚物,通常含有大量氨基、亚胺基等活性基团。由于它的独特的结构特征,其本身的溶解性能也较普通大分子更出色;并且在反应过程中,正因为其链端拥有的大量官能团结构,故大大的提高了反应活性。
1.1.1超支化聚合物的结构
端氨基超支化聚合物(HBP-NH2)的分子结构是十分特殊的,它既不是由小分子化合物构成的准球型聚合物,又不是一般传统所见的线型高分子聚合物。从其立体化学结构来看,HBP-NH2具有十分典型的聚阳离子特点。其支化结构中所含有的大量的氨基、亚胺基等活性基团,赋予了HBP-NH2良好的溶解性能。经文献查阅,端氨基超支化聚合物质均分子质量约为7760,且分子质量分布带较宽,结构式如图1-1 所示。[1]

图1-1 端氨基超支化聚合物结构式
1.1.2超支化聚合物的制备
目前,超支化聚合物的合成方法主要有两种。[2]一是单分子溶液聚合法,即依靠单体、引发剂通过溶液或者乳液聚合而成;二是多分子乳液聚合法,即使用两种或两种以上的聚合单体进行乳液聚合而制得,部分实验也采用溶液聚合的方式。当前一般实验室中,使用较为广泛的端氨基超支化聚合物的聚合方法是溶液聚合,例如:采用多乙烯多胺置于三口烧瓶中,接入N2保护,使用冰水浴法,而后控制滴加速度,逐滴加入丙烯酸甲酯与甲醇的混合溶液,滴加完成后反应4-5h,可以得到两种透明的淡黄色液体。再使用旋蒸法,升温减压反应,可得黏稠状淡黄色端氨基超支化聚合物HBP-NH2 (3) [3],反应过程如图1-2所示。
相关图片展示:









