谷胱甘肽检测方法研究与优化毕业论文
2020-06-14 16:15:04
摘 要
本实验采用DTNB法检测酵母菌细胞内GSH含量。目的:是由于酵母菌破壁后会有大量含巯基蛋白或者辅酶流出,这大大影响了GSH含量测量的准确性,所以为了获得精确地胞内GSH含量,我们查阅相关文献对DTNB法进行了优化,并且同时用高效液相色谱法同时测定了谷胱甘肽的含量作为对照;方法:在样品与甲醛反应时间为2min和60min时测其OD值,并计算ΔA(A3 - A60);结果:优化后的分析方法其误差最大不超过5.5%,具有很大可信度;与高效液相法相比较操作便利;实验室酵母菌GSH产量为0.5862 g/L。
关键词:谷胱甘肽 检测 DTNB法
The Research and Optimization of Glutathione Detection Methods
Abstract
This experiment adopts the DTNB method to detect the contents of GSH yeast cell.Objective: due to the wall after the yeast will have a large number of containing sulphur proteins or coenzyme outflow, which greatly affect the accuracy of measuring the GSH content, In order to accurately determine the content of glutathione, we turn to the literature on DTNB method is optimized;Methods: the samples and formaldehyde reaction time of 2 min and 60 min when measuring the OD value, and calculate the Δ A (A3 - A60);Results: the optimized analysis method of the maximum error less than 5.5%, with a great credibility, laboratory yeast production is 0.5862 g/L.
Key words: Glutathione;Detection;DTNB Method
目 录
摘 要……………………………………………………………………...……...I
Abstract........……………………………………………………………...……....II
第一章 文献综述.................................................................................................1
1.1 谷胱甘肽的介绍……………………………………………………….............1
1.1.1 概述…………………………………………………………………..........1
1.1.2 谷胱甘肽的结构和性质 …………………………………………...….....1
1.1.3 谷胱甘肽的主要功能和应用.....…………………...……………..............1
1.1.4 谷胱甘肽的发展现状及前景................……………………......................2
1.2 谷胱甘肽的检测方法……………………………………………………...…..2
1.2.1 分光光度法................................………………………………………......3
1.2.2 高效液相法....................………………………………………...…….......4
1.2.3 荧光法............................………………………………………...…….......4
1.2.4 电化学测定方法....................…………………………...…………….......5
1.2.5 碘量法..........................................................................................................6
1.3 本文的研究内容及研究意义…………………………………………….........6
第二章 实验材料与方法………………………………………………....…...7
2.1 材料………………………………………………………………………...…..7
2.1.1 菌种……………………………………………………………….......…...7
2.1.2 主要仪器……………………………………………………………...…...7
2.1.3 生化试剂…………………………………………………………...……...7
2.1.4 培养基和培养条件......................................................................................8
第三章 实验方法..............……………………………………………....…….9
3.1 GSH样本获取.....................................................................................................9
3.1.1 发酵液制备................................................................................................. 9
3.1.2 酵母菌体获取..............................................................................................9
3.2 GSH提取液制备.................................................................................................9
3.3 GSH含量测定.....................................................................................................9
3.3.1 常规DTNB法.............................................................................................9
3.3.2 优化DTNB法............................................................................................10
3.3.3 优化DTNB法验证....................................................................................10
3.3.4 高效液相色谱法.........................................................................................11
3.3.5 与高效液相色谱法的比较.........................................................................11
第四章 实验的结果与讨论………………………………………...……......13
4.1 DTNB法标准曲线……………………………………………………..….......13
4.1.1 反应体系最佳条件确定.............................................................................13
4.1.2 常规DTNB法标准曲线............................................................................13
4.1.3 优化DTNB法标准曲线............................................................................14
4.2 验证实验………………………………………………………………...…….15
4.2.1 含巯基化合物对GSH含量测定的影响...................................................15
4.2.2含巯基物质共存时对GSH含量测定的影响............................................16
4.3 高效液相色谱法................................................................................................18
4.3.1 确定保留时间.............................................................................................18
4.3.2 标准曲线.....................................................................................................18
4.3.3 精密度验证.................................................................................................19
4.3.4 重复性试验.................................................................................................19
4.4 优化DTNB与高效液相色谱法的比较...........................................................20
第五章 结论与展望...........................................................................................21
5.1 结论....................................................................................................................21
5.2 展望....................................................................................................................21
参考文献................................................................................................................22
第一章 文献综述
1.1 谷胱甘肽的介绍
- 概述
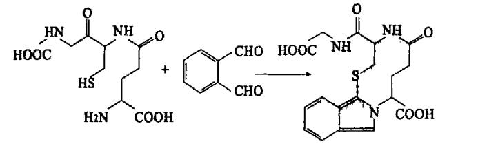
谷胱甘肽是一种三肽物质,含有一个巯基和一个γ-酰胺键,由三种氨基酸组成。广泛存在于所有活细胞中
,相比于植物体内,动物体内组织中含量较多
。谷胱甘肽有两种形态,即氧化型(GSSG)和还原型(GSH),机体内存在最多的是还原型。GSH可以和很多物质结合,具有重要的作用。自19世纪80年代末期,研究者发现谷胱甘肽以来, 科研工作者们一直在不停地地研究它的各种理化性质和它的作用。谷胱甘肽在工业、食品、保健等领域都极具有重要作用,谷胱甘肽的开发利用成为了研究的热点,合成和检测也成为了重要的研究方向。
- 谷胱甘肽的结构和性质
谷胱甘肽是由甘氨酸、L-半胱氨酸和L-谷氨酸经肽键缩合而成 ,化学全名为γ-L-谷氨酰-L-半胱氨酰 -甘氨酸 (γ-L-glutamyl-L-cysteinyl-glycine),其化学式为 C
H
H
SN
,结构式见图1-1
。
谷胱甘肽的摩尔质量为307.3235,比旋光度-16.5℃。GSH水溶液在空气下容易被氧化成GSSG,两分子的GSH氧化脱氢转变成一分子的GSSG,但是只有GSH才有生物活性,而GSH固体则相对较稳定
。
相关图片展示:








