核壳型丙烯酸酯乳液聚合与应用毕业论文
2020-02-19 11:53:54
摘 要
本文以苯乙烯(ST)为硬单体、丙烯酸丁酯(BA)为软单体,用过硫酸铵(APS)作为引发剂,采用半连续种子乳液聚合的方法合成核壳型丙烯酸酯乳液,固定核壳质量比为1:1,保持反应温度、搅拌速率与其它条件恒定。利用FTIR、DSC、综合力学性能测试仪等表征仪器,考察了软硬单体配比对乳液的微观形貌、化学结构、粒径大小及分布进行了表征分析,对成膜进行了表面形貌观察和力学性能测试分析并探讨了乳液的成膜机理。研究结果发现,当核乳液中软硬单体配比 m(ST):m(BA)=4:3,壳乳液中软硬单体配比m(ST):m(BA)=3:4时,乳液稳定,外观整体透明平整光滑,粒径分布均匀、分散性较低,为0.191,所成膜的抗拉伸性能最好达到10.2MPa,吸水率低至9.4%。
关键词:丙烯酸酯;核壳型结构;乳液;性能
Abstract
In this paper, styrene (St) is used as hard monomer, butyl acrylate (BA) is used as soft monomer, and ammonium persulfate (APS) is used as initiator to synthesize core-shell acrylate emulsion by semi-continuous seed emulsion polymerization. The fixed core-shell mass ratio is 1:1, and the reaction temperature, stirring rate and other conditions are kept constant. Using FTIR, DSC, comprehensive mechanical property tester and other characterization instruments, the microstructure, chemical structure, particle size and distribution of the emulsion were characterized by soft and hard monomer ratio. The surface morphology of the film was observed. Observation and mechanical properties test analysis and discussion of the film formation mechanism of the emulsion. The results show that when the ratio of soft and hard monomer in the core emulsion is m(St):m(BA)=4:3, the ratio of soft and hard monomer in the shell emulsion is m(St):m(BA)=3:4 When the emulsion is stable, the appearance is transparent and smooth, the particle size distribution is uniform, and the dispersibility is low, which is 0.191. The tensile strength of the film formed is preferably 10.2 MPa, and the water absorption rate is as low as 9.4%.
Key words: Acrylate; Core-shell structure; Emulsion; Properties
目录
摘 要 I
Abstract II
第1章 绪论 1
1.1引言 1
1.2聚丙烯酸酯乳液聚合概述 1
1.3核壳型聚丙烯酸酯乳液聚合概述 3
1.4 研究目的与意义 5
第2章 实验部分 6
2.1实验原料 6
2.2仪器设备 6
2.3 实验装置与过程图 7
2.3.1 实验装置 7
2.3.2 实验过程图 8
2.4 实验步骤 9
2.4.1 实验前处理 9
2.4.2 核壳型丙烯酸酯(PA)的制备 9
2.4.3 核壳型聚丙烯酸酯乳胶膜的制备 10
2.5测试与表征 10
2.5.1 乳液性能表征测试 10
2.5.2 乳胶膜性能表征测试 11
第3章 结果与讨论 12
3.1 核壳型丙烯酸酯乳液透反射分析 12
3.2核壳型聚丙烯酸酯乳胶膜FTIR分析 12
3.3 核壳型聚丙烯酸酯的DSC分析 14
3.4核壳的软硬单体比例对乳液理化性质及其涂膜性能的影响 15
3.4.1核壳的软硬单体比例对乳液外观与储存性的影响 15
3.4.2核壳的软硬单体比例对乳液平均粒径与粒径分布的影响 16
3.4.3核壳的软硬单体比例对乳液分子量的影响 18
3.4.4核壳的软硬单体比例对乳液成膜性能的影响 21
3.4.5 核壳的软硬单体比例对乳胶膜力学性能的影响 21
3.4.6 核壳的软硬单体比例对乳胶膜吸水率的影响 22
第4章 结论 24
致 谢 25
参考文献 26
第1章 绪论
1.1引言
丙烯酸酯乳液是指丙烯酸酯和其他乙烯基单体的乳液聚合。它具有优异的抗老化,耐油,耐酸碱,易成膜等优点,价格低廉,合成工艺条件简单。符合绿色化学概念[1]。然而,丙烯酸酯乳液本身也存在一些缺陷,如低温,脆性,耐水性差,耐高温,易粘稠等。因此,聚丙烯酸酯乳液的改性已成为研究者的研究热点[2]。国内外大量文献表明丙烯酸酯乳液的改性主要从以下两个方面进行:一是利用硅、有机氟、聚氨酯、环氧树脂等功能性官能团的引入,使丙烯酸酯乳液具有一定的功能。其次是通过乳液颗粒设计和新型乳液聚合工艺,如核壳乳液聚合,互穿网络技术,无皂乳液聚合,微乳液聚合和反相乳液聚合,以此来提高丙烯酸酯乳液的性能[3]。
本文研究以苯乙烯(ST)为硬单体、丙烯酸丁酯(BA)为软单体,通过固定核壳单体质量比为1:1,采用不同比例的软硬单体制备丙烯酸酯乳液,研究了不同软硬单体比例对丙烯酸酯乳液的微观形貌、化学结构、粒径大小及分布及涂膜力学性能的影响。
1.2聚丙烯酸酯乳液聚合概述
聚丙烯酸酯指的是以甲基丙烯酸酯、丙烯酸及苯乙烯等各种不同乙烯基类单体为主要原料,通过自由基聚合的方式合成的共聚物。丙烯酸酯在光、热及引发剂的反应条件下极其容易发生聚合。丙烯酸酯的乳液聚合是指将油相的丙烯酸酯类单体先通过乳化剂分散在水中形成乳液,然后在一定温度下由水性引发剂引发自由基聚合。依照R基的差异,形成一系列不同功能的聚丙烯酸酯[4]。

图1.1 聚丙烯酸酯结构式
聚丙烯酸酯可形成有光泽、防水的乳胶膜,具有很强的附着力,在室温下不易被剥离,柔韧性和弹性良好,耐候性好,但拉伸强度低。 可用作高档装饰涂料。聚丙烯酸酯是粘合剂,可用作压敏粘合剂和热敏粘合剂。由于其良好的耐老化性,粘接污染小,使用方便,产量迅速增加。 在纺织工业中,聚丙烯酸酯可用于上浆、印花和整理,这可以增加纺织品的美感和感觉; 它还可以用作无纺布、植绒及其产品的粘合剂[5]。
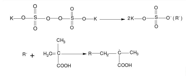
下面以过硫酸钾作为引发剂,将丙烯酸类单体进行自由基聚合为例,其引发机理,如下列三步基元反应所示。聚丙烯酸酯乳液合成机理如下:
链的引发:

图1.2 链引发机理
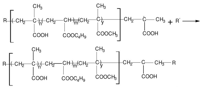
链的增长:

图1.3 链增长机理
链的终止:

图1.4 链终止机理
1.3核壳型聚丙烯酸酯乳液聚合概述
核壳结构是指内部的核结构与外层的壳结构分别具有不同性能的一种特殊构造。核壳型聚丙烯酸酯乳液聚合是将两种不同组成的丙烯酸酯类单体逐步加入自由基聚合中,使最后得到的高分子聚合物乳胶粒具有特殊的核壳结构,即内层的高分子聚合物与外层的高分子聚合物性质不同。
制备核壳型丙烯酸酯乳液技术是建立在常规乳液聚合理论的深入发展的基础上诞生的。普通聚丙烯酸酯乳液缺点较为明显,当温度升高乳胶膜变粘而低温时乳胶膜变脆,且常规聚丙烯酸酯乳液最低成膜温度较高、耐水性差,从而影响其进一步应用于涂料中。因而,开发性能高、用途多样化的丙烯酸酯乳液已成为涂料研究方向的热点[6]。在解决常规丙烯酸乳液存在问题的常用方法中,粒子的结构设计及改性发展较为成熟。
核壳型聚丙烯酸酯乳液聚合并不改变原有聚合方法中各丙烯酸酯类单体的质量配比,只是将整个单体组成按照核层与壳层进行了重新分配,从而使最后得到乳胶粒的核层、壳层具有不同的性能,通过这种核壳软硬单体的不同质量配比,来达到改变聚丙烯酸酯乳液整体性能的目的[7]。与常规的聚丙烯酸酯乳液聚合相比,核壳型聚丙烯酸酯乳液聚合通过粒子设计,得到性能更加优异的乳胶膜,比如更好的耐水、耐磨以及力学性能。
AK.Khan等人于2007年研究了一系列核壳胶乳膜,包括聚(丙烯酸正丁酯-共-甲基丙烯酸甲酯-共-甲基丙烯酸)(PBA / MMA / MAA)核和聚(苯乙烯-共-丙烯腈)(PS / AN), 以不同的壳组成比制备聚(丙烯酸丁酯-共-甲基丙烯酸甲酯)(PBA / MMA)壳。这些核壳粘合剂用于制备装饰涂层。通过半连续顺序乳液聚合合成胶乳,并使用透射电子显微镜(TEM),粒度分析仪,粘度测定法和漆膜的不透明度进行表征。以苯乙烯/丙烯腈比为60/40作为壳组合物的核壳乳液显示出最佳的光学性质[8]。该作者还通过逐步半间歇乳液聚合制备核壳胶乳。用不同的核壳组合物制备组分散体。核相由苯乙烯-BA-丙烯酸(AA)的共聚物组成,壳相由MMA-AA的共聚物组成。胶乳的性质由固体含量、粘度、pH和粒度决定。随后,使用核壳胶乳制备乳胶漆(PVC-37%和NVM-53%)。通过抗粘连性,光泽度,断裂伸长率等确定涂料性质。用透射电子显微镜(TEM)表征颗粒形态发现核壳乳胶的性能已经过优化,核壳乳胶中25-40%的硬单体具有最佳组合[9]。Lakhya J. Borthakur等人进行了一系列核壳型聚合物颗粒的与聚(丁基丙烯酸酯-共-甲基酸-共-亚乙基二甲基丙烯酸乙二醇)为核,聚(苯乙烯-共-甲基丙烯酸甲酯)作为壳,通过种子乳液聚合制备。乙二醇二甲基丙烯酸酯(EGDMA)的作用是使核心交联以避免任何凝胶形成的可能性并将核心和壳相结合在一起。核壳结构的球形形态在核与壳比为60:40时实现。通过SEM和TEM分析证实核壳形态。颗粒的GPC分析表明聚合物显示出双峰模式。第一个峰的Mw = 382700和Mn = 245200,多分散系数为1.6,第二峰的Mw = 21200,Mn = 14800,多分散系数为1.4。将这些核壳乳胶用作乳液涂料中的颜料粘合剂,并将涂料性能如光泽度,岩石硬度,可洗性,不透明性等与标准进行比较。结果表明,这些核壳胶乳可以提供相似的遮盖力,在涂料配方中TiO 2减少17%[10]。
目前国内外对于核壳型乳液聚合过程的反应机理并没有明确的理论,主要的聚合机理有以下几种:种子表面聚合机理、接枝机理、聚合物沉积机理和互传网络机理[11,12,13],一般认为通过核壳乳液聚合得到的乳胶粒为非均相乳胶粒,最开始加入丙烯酸酯类单体参加聚合反应组成了核层,相当于种子乳液,而后面加入的丙烯酸酯类单体在原有的乳胶粒上继续进行自由基聚合,生成壳层,形成核壳结构[14]。
种子乳液聚合法是一种常用的乳液聚合工艺,核壳型聚丙烯酸酯乳液聚合和普通聚丙烯酸酯乳液聚合均可以使用该方法进行。具体操作方法如下:首先,取少量的核预乳液进行反应,等到种子乳液生成后(具体表现为出现蓝光)再按照核预乳液、壳预乳液的顺序进行乳液聚合反应。该方法的优势之处在于,能使反应液处于半饥饿状态,即反应液中自由基的量大于反应单体的量,从而使反应可以按照先生成核结构再生成壳结构的顺序进行,且不受核壳单体的竞聚率的影响[15]。
1.4 研究目的与意义
随着我国国策对环境的逐步重视,环境友好型涂料成为涂料行业前进的必然趋势,水性涂料因其独特的性质成为涂料发展的一个大环保方向,因此研究的重点则落在对高性能乳液的开发。水性聚丙稀酸酯乳液是水性涂料中常用的品种,但其耐水性、耐酸碱性较差,限制了其应用领域。
目前,国内外相关研究中只有少数报道对核壳结构中软硬单体的质量比进行研究。核壳型丙烯酸酯乳液常用丙烯酸丁酯(BA)与甲基丙烯酸甲酯(MMA)分别作为核壳结构的软硬单体来进行粒子结构设计。本论文研究选丙烯酸正丁酯(BA)、苯乙烯(ST)为主要共聚单体,过硫酸铵(APS)为引发剂,进行核壳乳液聚合,研究核壳中软硬单体比从7:0至0:7共8组配方设计,利用FTIR、DSC、综合力学性能测试仪等表征仪器,考察了软硬单体配比对乳液的微观形貌、化学结构、粒径大小及分布进行了表征分析,对成膜进行了表面形貌观察和力学性能测试分析并探讨了乳液的成膜机理,来获得性能最佳的聚丙烯酸酯乳液及乳胶膜。
第2章 实验部分
2.1实验原料
实验所用化学试剂与主要仪器如表2.1所示。
表2.1 实验化学试剂
试剂名称  | 规格  | 生产厂家  | 
丙烯酸正丁酯(BA)  | 分析纯  | 国药集团化学试剂有限公司  | 
苯乙烯(ST)  | 分析纯  | 国药集团化学试剂有限公司  | 
聚氧乙烯辛基苯酚醚-10(OP-10)  | 化学纯  | 天津市光复精细化工研究所  | 
过硫酸铵(APS)  | 分析纯  | 国药集团化学试剂有限公司  | 
氢氧化钠(NaOH)  | 分析纯  | 国药集团化学试剂有限公司  | 
氯化钠(NaCl)  | 分析纯  | 国药集团化学试剂有限公司  | 
碳酸氢钠(NaHCO3)  | 分析纯  | 国药集团化学试剂有限公司  | 
四氢呋喃(THF)  | 分析纯  | 国药集团化学试剂有限公司  | 
二氯甲烷(DCM)  | 分析纯  | 国药集团化学试剂有限公司  | 
氨水(NH3·H2O) 十二烷基硫酸钠(SDS)  | 分析纯 分析纯  | 国药集团化学试剂有限公司 国药集团化学试剂有限公司  | 
2.2仪器设备
实验主要使用的仪器如表2.2所示。
表2.2 实验仪器设备
仪器设备名称  | 设备型号  | 生产厂家  | 
纳米粒度表面分析仪 透射电子显微镜 傅立叶红外光谱分析仪 电子天平 集热式恒温加热磁力搅拌器 微机控制电子万能材料试验机 远红外鼓风干燥箱 高效液相色谱分析仪 数显恒速分散均质机  | Malvern ZEN3690 H-600 Nexus ME204E DF-101S HY0580 DHG-9140A Water 1525 FJ200-SH  | 英国Malvern仪器有限公司 日本日立公司 美国Thermo Nicolet公司 上海精密科学仪器有限公司 郑州科丰仪器设备公司 上海衡翼仪器有限公司 上海精宏实验设备有限公司 天津华鑫仪器厂 上海标本模型厂  | 
2.3 实验装置与过程图
2.3.1 实验装置
实验装置图如图2.1所示:四口烧瓶从左至右依次是温度计、恒压滴液漏斗、冷凝管,玻璃塞。温度计实时反映反应温度,用恒压滴液漏斗滴加核壳预乳液,由于反应最高温度达90℃,且反应体系存在大量蒸馏水所以需要冷凝管其安全、冷凝回流的作用,使用玻璃塞方便引发剂的滴加。

图2.1 实验装置图
2.3.2 实验过程图
实验过程图如图2.2所示:

图2.2 实验过程图
2.4 实验步骤
2.4.1 实验前处理
将苯乙烯(ST)与丙烯酸甲酯(BA)进行碱洗法预处理以除去阻聚剂。
以上是毕业论文大纲或资料介绍,该课题完整毕业论文、开题报告、任务书、程序设计、图纸设计等资料请添加微信获取,微信号:bysjorg。
相关图片展示:







您可能感兴趣的文章
- 用于甲醇制烯烃反应的SAPO-34/ZSM-5复合催化剂的原位水热结晶合成外文翻译资料
 - 硫化氢在活体的化学发光探针成像外文翻译资料
 - 全色发射型ESIPT荧光团对某些酸及其共轭碱负离子识别的颜色变化外文翻译资料
 - 一种用于成像神经元细胞和海马组织中NMDA受体附近内源性ONOO-的双光子荧光探针外文翻译资料
 - 表面功能化的Ui0-66/pebax基超薄复合中控纤维气体分离膜外文翻译资料
 - 金属有机框架中的可逆调节对本二酚/醌反应:固态固定化分子开关外文翻译资料
 - 二维MXene薄片的尺寸相关物理和电化学性质外文翻译资料
 - 将制甲烷的Co催化剂转化为产甲醇的In@Co催化剂外文翻译资料
 - MXene分子筛膜用于高效气体分离外文翻译资料
 - 模板导向合成具有排列通道和增强药物有效荷载的立方环糊精聚合物外文翻译资料
 

        
            
