茜素红流体电化学试验毕业论文
2020-04-19 21:22:17
摘 要
茜素红(ARS)在纺织工业和生物医药等领域应用广泛,但是在具体的应用过程中会产生污染环境等问题,因此研究ARS在纯电化学控制下的氧化还原机理对解决这些问题尤为重要。本文通过循环伏安法以及流体电化学实验探究了ARS的氧化还原过程,整个实验采用三电极系统,并利用普林斯顿电化学工作站和旋转圆盘电极(Rotating Disk Electrode)系统地研究了溶液的浓度以及其他外在因素对氧化还原反应机理的影响。实验结果显示:随着ARS浓度、扫描速度以及RDE转速的增加,峰电流的绝对值增大。通过计算所得:电子转移数为1,扩散系数Da=9.445-8 cm2/s ;Dc=3.0610-10cm2/s,反应速率常数Kfa=4.97610-3cm2/s;Kfc=5.07610-4 cm2/s。
关键词:茜素红(ARS) 旋转圆盘电极(RDE) 扩散系数 反应速率常数 转移电子数
Study of Fluid Electrochemical of Alizarin Red
Abstract
Although alizarin red (ARS) is widely used in the textile industry, biomedicine, and so on, it will cause certain problems, such as polluting our environment, in the specific application process. Therefore, it is important to study the redox mechanism of ARS under pure electrochemical control to solve these problems. In this paper, the redox process of ARS was explored by cyclic voltammetry and fluid electrochemical experiments. The whole experiment used a three-electrode system and systematically studied the influence of other external factors on the mechanism of redox reaction, concentrating on the solution by using the Princeton electrochemical workstation and Rotating Disk Electrode. The experimental results show that as the ARS concentration, scanning speed and Rotating speed increase, the absolute value of the peak current increases. By calculation, the electron transfer number is 1, the diffusion coefficientDa=9.445-8 cm2/s; Dc=3.0610-10cm2/s, the reaction rate constant Kfa=4.97610-3cm2/s;Kfc=5.07610-4 cm2/s.
Key Words: alizarin red; rotating disk electrode; diffusion coefficient; transfer electron number; reaction constant rate
目 录
摘要 I
Abstract II
第一章 引言 1
1.1 研究背景和意义 1
1.2 国内外研究进展 2
1.2.1 ARS在废水中的降解 2
1.2.2 茜素红作为指示剂的研究 2
1.2.3 ARS的电化学行为研究 3
1.3 流体电化学的相关研究与进展 4
1.4研究目的与工作进程 5
1.4.1 研究目的 5
1.4.2 实验的具体工作内容 5
第二章 实验部分 6
2.1 实验原材料 6
2.2 实验仪器及设备 6
2.3 实验方法 6
2.3.1 溶液的制备及电极的处理 6
2.3.2 ARS的电化学及流体电化学试验 7
第三章 结果与讨论 9
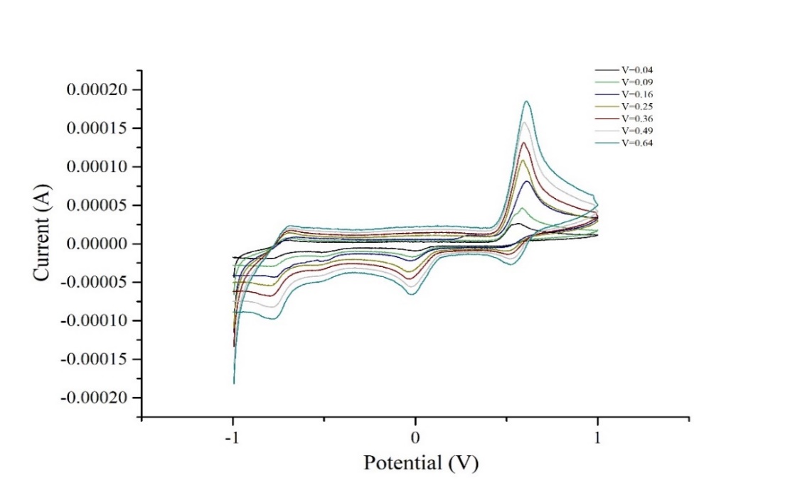
3.1 ARS的循环伏安试验 9
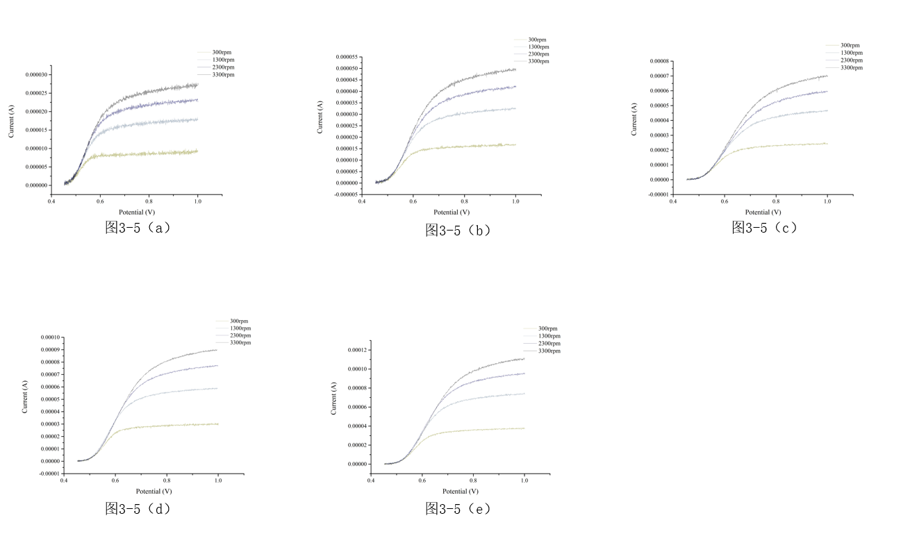
3.2 ARS的流体电化学试验 12
3.3 ARS的动力学参数结果 16
3.3.1 ARS在溶液中的扩散系数 16
3.3.2 ARS氧化还原反应的速率常数 18
第四章 结论与展望 19
参考文献 20
致谢 22
第一章 引言
1.1 研究背景和意义
茜素红(分子式:C14H7NaO7S·H2O)属于蒽醌类化合物,茜素红是一种阴离子染料分子,其本身具有平面杂环结构,见下结构图示:

茜素红特殊的结构及性质使得茜素红在分析化学领域、电化学领域,光学领域及纺织印染工艺业等方面具有巨大的潜在应用价值[1]。试以纺织工业为例,在布料染色环节,工厂会使用茜素红来对布料进行染色。因为茜素红在不同的pH下可以显示出不同的颜色。通常来说1%的茜素红溶液在pH=2.25时显示为橙色,pH过大会显示出紫色[2]。因其染色牢固且成本较低,茜素红受到了纺织工业的青睐。同时茜素红也可与被测药品发生荷移反应,从而建立一种新的检测药品成分的方法[3,4]。虽然茜素红已经在工业和分析领域被广泛应用,但是在实际应用中,茜素红会产生许多令人困扰的问题。例如,过量使用茜素红会导致极其严重的污染问题,其中染色产生的工业废水尤为突出:茜素红染色产生的物质,不仅对人体有危害,对于生态系统也有不利影响[5]。茜素红及其产物进入河流后,其色素会干扰河内微生物的光合作用,并且茜素红的产物具有毒性,会使得河内生物和人体受到其伤害。同时,因为茜素红与被测物质发生氧化还原反应时会有多个产物,其中某些产物会对荷移反应进行干扰,所以利用茜素红与被测药品发生荷移反应从而测得药品成分的准确性也有待提高。因此研究茜素红的氧化还原机理具有重要的现实意义,它可以为茜素红在河流中的降解以及荷移反应效率的提高提供一定的理论基础。
1.2 国内外研究进展
1.2.1 ARS在废水中的降解
随着染料工业的发展,生产染色的废水已经成为水体的主要污染源。ARS排到废水中后,颜色较深且组份复杂。由于废水分布较广,且ARS对水中的微生物具有毒性。所以为了保护环境,现在已经研究出化学沉淀法、微生物处理法以及碳纳米管(CNT)吸附法来降解水中的ARS [6]。除上述降解方法之外,同济大学带头研发用SnO2/Sb2O3活性层的钛作阳极,纯钛片作阴极对ARS的水溶液进行电降解[7]。此方法降解ARS非常环保,因为此方测除了可以降解水中的ARS,也能电解水产生一定量的氧气。虽然上述方法降解水中的ARS非常环保,但是降解成本较高且电极容易脱落。之后,复旦大学的学者在电降解方法的基础上,采用β-PbO2作为反应的电极[8]。此方法不仅解决了电解过程中电催化效率不高的问题,同时也解决了在反应过程中电极脱落的问题。此外,清华大学王慧等也研究了ARS在TiO2水溶液中的光催化降解机理,发现了自由基OH跟ARS的降解机理有着密切的联系[9]。虽然上述方法用于降解河流中的ARS都有其独特的优势,但是这些方法都需要一定的限制条件才能实现。因为这些限制条件,所以电降解或者吸附降解ARS不能被大面积推广。例如降解河流中的ARS时,因为其面积巨大且范围较广,电降解或吸附降解并不是理想的降解方法,因此研究一种没有任何限制条件并且不会产生其他污染的降解方法非常关键。所有的化学降解方法都是建立在物质发生氧化还原的基础上,所以研究ARS的氧化还原机理尤为重要。
1.2.2 茜素红作为指示剂的研究
在酸碱中和反应中,ARS和甲基红混合可作为指示剂来反应溶液的酸碱性,当溶液完全中和时,ARS溶液从紫色变为橙红色[10]。同时ARS也能用作吸附指示剂,例如Na2SO4和BaCl2反应生成BaSO4颗粒,细小的硫酸钡颗粒表面吸附上ARS薄膜分子而显红棕色 [11]。在生物医学方面,ARS可作指示剂与药物发生荷移反应,从而建立一种对某种药物含量检测的分光光度法。根据已知文献,ARS可与抗生素头孢拉定或富马酸比索洛尔(Bisoprofol fumarate)发生荷移反应,此方法可用于实际药品头孢拉定的含量检测[3,4]。同时,国内学者迟燕华等人也已经发现了ARS与人体血清白蛋白(HSA)相结合能生成红色的复合物,用蛋白质分光光度法测得HAS与分光光度法呈良好得线性关系,该法可用于测得人体血清内白蛋白的浓度[12]。在分光光度法的基础之上,南京大学丁一磊等人利用荧光光度法对壳聚糖的含量进行研究,发现壳聚糖在一定的缓冲溶液下,对ARS的荧光强度有明显的猝灭作用 [13]。所以ARS在一定条件下,可用作指示剂来检测壳聚糖的浓度。同时,国外学者发现在pH=7.4的环境下,ARS与苯基硼酸(PBA)结合并与果糖的竞争。通过扫描其循环伏安曲线可以探究果糖浓度的变化[14]。
虽然ARS作指示剂来检测物质的浓度方便且快捷,但是因为ARS自身特殊的结构特殊且易发生氧化还原反应,在有光的环境下ARS自身也会发生氧化还原反应生成有机大分子物质。并且ARS也属于阴离子染料,当被测物质的无机盐含量较高时,ARS与被测物质发生反应时会产生很多副反应,这些反应会对检测结果造成极大的影响。因此,研究ARS的氧化还原机理能够有效的提高ARS作为指示剂的效率及正确率。
1.2.3 ARS的电化学行为研究
随着电化学研究的进展,使其成为一种高效、快捷且易操作的研究方法。作者朱永春和董绍俊利用电化学工作站探究了ARS在玻碳电极上的电化学行为 [15],结合循环伏安特性曲线和氧化还原光谱推导出了从氧化到还原过程中的产物、中间态反应以及电子转移数。此报道为研究ARS在不同电极上的电化学行为奠定了基础。此外,ARS也可以用于修饰其他电极以提高氧化还原反应中的速率。曾有学者利用聚ARS薄膜镶嵌在碳糊电极上来提高氧化还原反应的速率,研究结果表明在一定的pH区间内,修饰后的电极对反应物质具有良好的电催化作用[16]。由于ARS自身能够发生氧化还原反应,所以ARS可作为电活性探针与没有电活性物质进行反应,利用电化学的方法对非活性物质进行定量探测[17]。国外学者Zittel等人探究了在酸性条件下ARS可以热解石墨从而发生一系列电化学反应,在1.0v/min的扫速下作循环伏安图,发现电势(0,0.4)V内出现了两个电子的转移波,在电势(0.6,1)V的范围内仅有一处氧化波,Zittel认为此过程为不可逆过程[18]。
1.3 流体电化学的相关研究与进展
电化学方法测量的参数只有在纯电化学控制下才具有参考意义,如果一个反应是混合控制,那么采用电化学方法测量出来的参数就会与实际反应有较大的偏差。上述提到的降解ARS的方法只是基于用电化学的方法来研究如何降解水中的ARS,但是ARS是否由完全由电化学控制还未可知。因此我们可以利用旋转圆盘电极法来探究ARS的氧化还原机理,旋转圆盘电极因其在溶液中高速的旋转,使得ARS在电极表面呈纯电化学控制。因此我们可以通过ARS的流体电化学试验来探究ARS氧化还原的机理并推断ARS电化学反应的大致过程,通过转速及极性电流的关系可计算出一系列ARS的动力学参数。目前也已经有许多学者利用旋转圆盘电极来探究物质的具体反应过程。例如清华大学薛方勤等人曾用旋转圆盘电极来证实Mn2 、Mn3 在炭毡电极上的歧化反应,他们通过计算Mn2 在电化学反应中的扩散系数从而证实了歧化反应发生的效率[19]。同时,旋转圆盘电极不仅可用于电化学的分析,也可以帮助人们建立动力学模型从而使人们对某些化学反应的原理有更加深刻的理解。学者武爱莲等人利用旋转圆盘电极探究了Br-的氧化过程,并建立其氧化反应的稳态动力学模型[20]。国外学者Hilman等人通过研究二茂化铁在旋转圆盘电极上的氧化还原反应来评价修饰电极的介导性能[21]。此研究通过Albery模型来分析溶液浓度、扫速等因素对极限电流的影响,从而再评价修饰电极的介导性能。
以上是毕业论文大纲或资料介绍,该课题完整毕业论文、开题报告、任务书、程序设计、图纸设计等资料请添加微信获取,微信号:bysjorg。
相关图片展示:







您可能感兴趣的文章
- 用于污染沉积物原位修复的新型活性炭基材料外文翻译资料
 - 碳氢化合物储存活动对土壤污染的初步评估:主要场地调查选择外文翻译资料
 - 以玉米秸秆为基础的生物质材料为修复石油碳氢化 合物污染土壤的洗涤废水的再生外文翻译资料
 - 生物测定知道的长三角工业废水处理厂污泥和相关再利用材料中读毒物的鉴定外文翻译资料
 - 循环经济中低排放生态工业园区概念设计的模型框架:以藻类为中心商业联盟为例外文翻译资料
 - VOCs废气治理工艺评价指标体系及应用研究外文翻译资料
 - 生态工业碳代谢的生态网络分析外文翻译资料
 - 基于生态适宜性分析的武汉市土地利用规划环境影响评价外文翻译资料
 - 企业环境评价的组合方法与多准则分析综述外文翻译资料
 - 生物质炭对森林土壤微生物生长代谢的影响任务书
 

        
            
